Background: High-grade B-cell lymphoma with MYC and BCL2 and/or BCL6 rearrangements (HGBL-DH/TH) occurs in approximately 8% of de novo diffuse large B-cell lymphoma (DLBCL) cases, with BCL2 translocations (HGBL-DH/TH-BCL2) being a germinal center B-cell like (GCB) phenomenon (Scott et al. Blood 2018). HGBL-DH/TH is associated with poor outcome when treated with standard R-CHOP-therapy, but retrospective studies suggest that more aggressive treatment may improve outcome (Petrich et al. Blood 2014; Oki et al. BJH 2014). To overcome limitations with identification of HGBL-DH/TH by fluorescence in situ hybridization (FISH), Ennishi et al. developed a gene expression signature (DHITsig) that identified tumors with a HGBL-DH/TH-BCL2 gene expression phenotype. This DHITsig was translated into a new assay (DLBCL90) for application on formalin-fixed paraffin-embedded (FFPE) biopsies (Ennishi et al. J Clin Oncol 2019), and included identification of cell-of-origin (COO) and primary mediastinal B-cell lymphoma (Scott et al. Blood 2014; Mottok et al. Blood 2018). The DHITsig roughly doubled the number of cases in the HGBL-DH/TH-group compared with FISH, and was associated with a poor prognosis in patients treated with R-CHOP. In our study we aimed to validate the DLBCL90 assay in an independent cohort of young high-risk patients treated with dose-intensive immunochemotherapy within two Nordic trials.
Patients and methods: RNA was extracted from pretreatment FFPE biopsies from 88 high-risk de novo DLBCL patients treated with dose-dense immunochemotherapy with systemic CNS prophylaxis in two Nordic trials (Holte et al. Ann. Oncol. 2013; Leppä et al. 15-ICML 2019). In the first trial patients received 6 courses of R-CHOEP-14 followed by 1 course of HD-Mtx and HD-Ara-C. In the second trial 2 courses of HD-Mtx were given in combination with R-CHOP-14 at the start of treatment, followed by 4 courses of R-CHOEP-14 and 1 course of R-HD-Ara-C at the end. Liposomal Ara-C was also administered intrathecally at courses 1, 3 and 5. Digital gene expression was performed, applying the DLBCL90 assay on the NanoString platform (NanoString Technologies, Seattle, WA) and FISH break-apart probes for MYC, BCL2 and BCL6 were used for identification of HGBL-DH/TH.
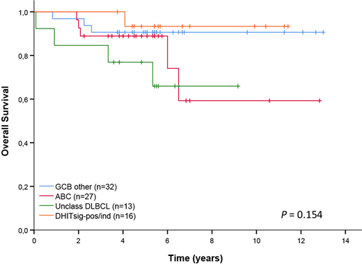
Results: The COO assay assigned 54%, 31% and 15% of the tumors to the GCB, activated B-cell like (ABC) and unclassified group, respectively. The ABC- and unclassified DLBCLs showed a trend towards inferior outcome when compared to the GCB-group (OS: 59%, 66%, 91%, p=0.076, PFS: 74%, 59%, 85%, p=0.122, FFS: 63%, 51%, 83%, p=0.052, respectively). The DHITsig was only seen in the GCB subtype. Of the patients with the GCB subtype, 5 (10%) and 11 patients (23%) were assigned to the DHITsig-positive and DHITsig-indeterminate group, respectively. FISH results were available for 71 samples, and 6 were identified as HGBL-DH/TH-BCL2. Four of them were assigned to the DHITsig-positive group, while 1 case was assigned to the DHITsig-indeterminate group with a 79% probability of belonging to the DHITsig-positive group (cut-off 80%). The last case was a triple-hit tumor that was assigned to the DHITsig-negative group. This patient had a favorable outcome with a complete remission after first line therapy, and was still in remission at the last follow-up 45 months after diagnosis. Overall, after a median follow-up of 64 months, 17 patients (19%) experienced relapse and 13 patients (15%) had died. Within the GCB subgroup, there were no significant differences in clinical outcome (OS, PFS, FFS) between the DHITsig positive, negative and indeterminate groups when analyzed as separate groups, or when the positive/indeterminate groups were merged (figure).
Conclusion: We confirm that the DLBCL90 gene expression assay identifies HGBL-DH/TH-BCL2 in FFPE biopsies. This, together with a rapid turnaround time, makes it an attractive alternative to FISH for double-hit assignment in the clinical setting. In our cohort of young-high risk patients treated with dose-dense immunochemotherapy, the DHITsig was not associated with inferior survival. Of note, neither was the HGBL-DH/TH defined by FISH. This may be due to the intensified treatment, overcoming the poor prognostic impact of the double-hit biology.
Jørgensen:Gilead: Membership on an entity's Board of Directors or advisory committees; Roche: Membership on an entity's Board of Directors or advisory committees. Jerkeman:Roche: Honoraria, Research Funding; Janssen: Honoraria, Research Funding; Gilead: Honoraria, Research Funding; Acerta: Honoraria, Research Funding; Celgene: Honoraria, Research Funding. Scott:Roche/Genentech: Research Funding; Celgene: Consultancy; Janssen: Consultancy, Research Funding; NanoString: Patents & Royalties: Named inventor on a patent licensed to NanoSting [Institution], Research Funding. Holte:Novartis: Honoraria, Other: Advisory board.
Author notes
Asterisk with author names denotes non-ASH members.
