Key Points
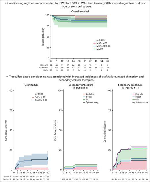
- Conditioning regimens recommended by IEWP for HSCT in WAS lead to nearly 90% survival regardless of donor type or stem cell source. 
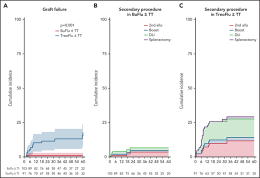
- Treosulfan-based conditioning was associated with an increased incidence of graft failure, mixed chimerism, and secondary cellular therapies. 
Abstract
Allogeneic hematopoietic stem cell transplantation (HSCT) is a potentially curative treatment for patients affected by Wiskott-Aldrich syndrome (WAS). Reported HSCT outcomes have improved over time with respect to overall survival, but some studies have identified older age and HSCT from alternative donors as risk factors predicting poorer outcome. We analyzed 197 patients undergoing transplant at European Society for Blood and Marrow Transplantation centers between 2006 and 2017 who received conditioning as recommended by the Inborn Errors Working Party (IEWP): either busulfan (n = 103) or treosulfan (n = 94) combined with fludarabine ± thiotepa. After a median follow-up post-HSCT of 44.9 months, 176 patients were alive, resulting in a 3-year overall survival of 88.7% and chronic graft-versus-host disease (GVHD)-free survival (events include death, graft failure, and severe chronic GVHD) of 81.7%. Overall survival and chronic GVHD-free survival were not significantly affected by conditioning regimen (busulfan- vs treosulfan-based), donor type (matched sibling donor/matched family donor vs matched unrelated donor/mismatched unrelated donor vs mismatched family donor), or period of HSCT (2006-2013 vs 2014-2017). Patients aged <5 years at HSCT had a significantly better overall survival. The overall cumulative incidences of grade III to IV acute GVHD and extensive/moderate/severe chronic GVHD were 6.6% and 2.1%, respectively. Patients receiving treosulfan-based conditioning had a higher incidence of graft failure and mixed donor chimerism and more frequently underwent secondary procedures (second HSCT, unconditioned stem cell boost, donor lymphocyte infusion, or splenectomy). In summary, HSCT for WAS with conditioning regimens currently recommended by IEWP results in excellent survival and low rates of GVHD, regardless of donor or stem cell source, but age ≥5 years remains a risk factor for overall survival.
Introduction
Wiskott-Aldrich syndrome (WAS), an X-linked inborn error of immunity (IEI), is characterized by combined immunodeficiency, microthrombocytopenia, eczema, and a strong predisposition to autoimmunity, and (mostly lymphoid) malignancy.1-3 The severity of the disease, which can be graded by using the WAS score,1 is highly variable with some degree of genotype–phenotype correlation, and some patients can reach adulthood with supportive treatment alone.4-6 Allogeneic hematopoietic stem cell transplantation (HSCT) has been known for >50 years to have curative potential for patients affected by WAS.7 Because all patients with WAS are at high risk of developing severe life-threatening complications at any time,4 a curative treatment with HSCT is indicated in all patients with a classic phenotype and should be considered for those with a milder phenotype.8 Autologous stem cell gene therapy with lentiviral vectors has been performed in clinical trials with encouraging results, and its long-term efficacy and safety are under investigation.9
Many single-center and multicenter retrospective reports of HSCT in WAS have been published over the years.8,10-16 In general, they have shown increasingly good outcomes concerning overall survival (OS),12,15 especially when transplantation is performed in highly specialized centers.17,18 Several studies have identified older age and HSCT from less well-matched donors as significant risk factors.11,14,15 Mixed donor chimerism, especially in the myeloid lineage, is not uncommon after HSCT for WAS, and the degree of autologous chimerism was found to be associated with lower platelet counts and higher frequency of autoimmunity after HSCT.12,13,18 It is currently unclear which conditioning regimen is best suited for patients with WAS, but most of the published cohorts received combinations of busulfan and cyclophosphamide.10,12-16,19 Some reports suggested that the combination of fully myeloablative busulfan and cyclophosphamide is advantageous to achieve good survival and full donor chimerism.16,19
The combination of busulfan and cyclophosphamide was historically associated with high levels of regimen-related acute toxicity.20 The introduction of pharmacokinetic-guided dosing of busulfan has contributed to a reduction in the incidence and severity of toxic complications, especially in the context of busulfan combined with fludarabine.21 It has been shown for a number of diseases, including IEI, that busulfan can safely be replaced by treosulfan.22 Both treosulfan and pharmacokinetic-guided busulfan have a favorable acute toxicity profile,22-25 even though head-to-head comparisons are not available. To reduce the short- and long-term toxicity associated with the use of 2 alkylating agents (busulfan and cyclophosphamide), the Inborn Errors Working Party (IEWP) of the European Society for Blood and Marrow Transplantation (EBMT) and the European Society for Immunodeficiencies recommended conditioning with busulfan or treosulfan combined with fludarabine for HSCT in patients with IEI in 2005. The current version of these guidelines still incorporates these regimens.26
The current study reports the HSCT outcomes achieved in patients with WAS with these regimens in centers reporting to the EBMT registry between 2006 and 2017.
Methods
Data acquisition
This retrospective study was approved by the scientific review board of the IEWP of EBMT (study no. 7427002). Data were retrieved from the EBMT registry and supplemented by the EBMT data office with additional data provided by the participating centers and the Stem CEll Transplant for primary Immune Deficiencies in Europe (SCETIDE) registry. All patients and/or their caregivers gave informed consent for data entry into the EBMT registry and for use in its analyses in accordance with the Declaration of Helsinki.
Patients and transplant procedures
All patients with WAS who received their first allogeneic HSCT between January 1, 2006, and December 31, 2017, and had received a conditioning regimen with busulfan/fludarabine ± thiotepa (BuFlu±TT) or treosulfan/fludarabine ± thiotepa (TreoFlu±TT) according to the IEWP HSCT guidelines were eligible. There were a total of 347 patients with WAS in the EBMT database for this period, 150 of whom were excluded from the study because of incomplete essential HSCT data or missing follow-up, or because of differing conditioning regimen, which in 81 consisted of busulfan and cyclophosphamide. These excluded patients were of similar age at HSCT (median age, 1.5 years; range, 0.24-19.83 years) as the study cohort.
High-resolution typing in HLA-A, -B, -C, -DRB1, and -DQB1 loci assessed HLA-compatibility for donors other than HLA-identical siblings. Engraftment and graft failure (GF) were defined according to the standard criteria defined in the EBMT handbook: engraftment was defined as the first of 3 consecutive days to reach an absolute neutrophil count >500/µL or platelets >20 000/µL without transfusion support. Primary GF was defined as not having achieved neutrophil engraftment until day 28. Secondary GF was defined as loss of donor engraftment (donor chimerism <5%) after day 28, with or without an associated absolute neutrophil count <500/µL.27 Grading of acute and chronic graft-versus-host disease (GVHD) was performed according to modified Seattle criteria and National Institutes of Health consensus standards where available.28-30
Statistical analysis
Patient and transplant characteristics are expressed as number and percentage of the group for categorical variables and median with ranges for continuous variables. The time origin for time-to-event analysis was the first allogeneic HSCT, and patients alive without an event after transplant were censored at the last follow-up or the time of data extraction. The primary end points were OS, in which an event was defined as death of any cause, and chronic GVHD-free survival (CRFS), in which an event was defined as GF, death or extensive, moderate/severe chronic GVDH, whichever occurred first. For the purpose of this study, we defined a modified GVHD-free, relapse-free survival (GRFS), in which an event was defined as GF, death, acute GVHD grade III to IV, extensive, moderate/severe chronic GVHD, or any secondary procedure (conditioned second HSCT, unconditioned stem cell boost, donor lymphocyte infusion [DLI], or splenectomy), whichever occurred first.
GF and non-GF mortality were analyzed as competing risks. Univariate analyses were performed with the Kaplan-Meier method, and survival curves were compared by using the log-rank test for OS and event-free survival, whereas for competing risks, cumulative incidence curves were compared by using Gray’s test. Two-tailed Fisher’s exact test was used to compare categorical frequencies. All statistical analyses were performed with R version 3.5.2 (packages prodlim, survival, and maxstat; R Foundation for Statistical Computing) and RStudio version 1.1.463 (RStudio, PBC). A value of P <.05 indicated statistically significant results.
Results
Patient and HSCT characteristics
This analysis comprises data for 197 patients collected from 55 EBMT centers. Of these, 103 had received a BuFlu±TT regimen and 94 a TreoFlu±TT regimen. The median follow-up after HSCT was 44.9 months (interquartile range, 25.5-70.4 months). Of note, the 2 conditioning regimen groups differed significantly in some parameters. In the TreoFlu±TT group, there were more patients with a mild WAS score of 1 to 2, more recipients of serotherapy, a higher proportion of peripheral blood stem cells as stem cell source, and fewer transplants performed after 2013. Busulfan pharmacokinetic results were reported for 34 of 103 patients, with a median total area under the curve of 78.0 mg·h/mL (range, 58.6-102.9 mg·h/mL). Detailed patient and HSCT characteristics are presented in Table 1.
Overall survival
At last follow-up, 176 patients were alive, resulting in a 3-year Kaplan-Meier estimate of OS of 88.7% (95% confidence interval, 84.2-93.4) for the entire cohort (Figure 1A). Reported causes of death were infections (n = 8 [38.1%]), GVHD (n = 8 [38.1%]), toxicity/organ damage (n = 1 [4.8%]), and other (n = 4 [19.0%]) (Table 2).
OS. OS of the entire cohort (A), depending on the regimen used (B), donor type (C), period of HSCT (D), and age at HSCT (E). (F) Continuous hazard ratio depending on age at HSCT. Shaded areas represent the 95% confidence interval. MMFD, mismatched family donor; MMUD, mismatched unrelated donor; MFD, matched family donor; MSD, matched sibling donor; MUD, matched unrelated donor; TT, thiotepa; Tx, transplant.
OS. OS of the entire cohort (A), depending on the regimen used (B), donor type (C), period of HSCT (D), and age at HSCT (E). (F) Continuous hazard ratio depending on age at HSCT. Shaded areas represent the 95% confidence interval. MMFD, mismatched family donor; MMUD, mismatched unrelated donor; MFD, matched family donor; MSD, matched sibling donor; MUD, matched unrelated donor; TT, thiotepa; Tx, transplant.
OS was not significantly affected by conditioning regimen, donor type, or period of HSCT (Figure 1B-D). Patients aged <5 years at HSCT had a significantly higher probability of survival, and the hazard ratio increased continuously with age (Figure 1E-F), but the majority of HSCT in this cohort (73.6%) were performed in children ≤3 years of age. In univariate analysis, no potential risk factor other than age influenced OS (Figure 4A).
This study included 28 (14.2%) patients who had received a (HLA haploidentical) mismatched family donor (MMFD) HSCT. Of these 28 patients, 22 had received an ex vivo T cell–depleted graft, and 6 had posttransplantation cyclophosphamide as GVHD prophylaxis (supplemental Table 1, available on the Blood Web site). The estimated 3-year OS of this subgroup was 85.3% (73.0%-99.7%), which did not significantly differ from any other donor type (Figure 1C). A more detailed summary of outcomes in the MMFD subgroup is provided in supplemental Table 1.
Event-free survival (CRFS/GRFS)
When death from any cause, GF, and development of extensive, moderate/severe chronic GVHD were defined as events (CRFS), this resulted in a 3-year CRFS of the entire cohort of 81.7% (76.2%-87.5%) (Figure 2A). Again, neither conditioning regimen, nor donor type or period of HSCT, significantly influenced CRFS, but there was a higher rate of GF in the TreoFlu±TT cohort (see the Engraftment, GF, and chimerism section). Age ≥5 years was also not a factor (Figure 2B-F). In addition, the application of serotherapy had a borderline significantly negative effect (P = .04) on CRFS in univariate analysis (Figure 4B).
Event-free survival (CRFS). Events include death from any cause, GF, and extensive, moderate/severe chronic GVHD. CRFS of the entire cohort (A), depending on the regimen used (B), donor type (C), period of HSCT (D), and age at HSCT (E). (F) Continuous hazard ratio depending on age at HSCT. Shaded areas represent the 95% confidence interval. MMFD, mismatched family donor; MMUD, mismatched unrelated donor; MFD, matched family donor; MSD, matched sibling donor; MUD, matched unrelated donor; TT, thiotepa; Tx, transplant.
Event-free survival (CRFS). Events include death from any cause, GF, and extensive, moderate/severe chronic GVHD. CRFS of the entire cohort (A), depending on the regimen used (B), donor type (C), period of HSCT (D), and age at HSCT (E). (F) Continuous hazard ratio depending on age at HSCT. Shaded areas represent the 95% confidence interval. MMFD, mismatched family donor; MMUD, mismatched unrelated donor; MFD, matched family donor; MSD, matched sibling donor; MUD, matched unrelated donor; TT, thiotepa; Tx, transplant.
In contrast, modified GRFS with death from any cause, GF, acute GVHD grade III to IV, extensive, moderate/severe chronic GVHD, and any secondary procedure as events was 69.4% (62.4%-76.4%) at 3 years (Figure 3A). TreoFlu±TT conditioning had a lower 3-year GRFS at 59.4% (48.5%-70.3%) compared with BuFlu±TT at 78.7% (70.1%-87.2%; P = .007), whereas donor type, period of HSCT, and age did not significantly influence GRFS (Figure 3B-F). Serotherapy had a significantly negative effect on GRFS (P = .01) (Figure 4C) in univariate analysis, which was confirmed in a Cox model accounting for donor type and regimen (data not shown).
Event-free survival (modified GRFS). Events include death from any cause, GF, acute GVHD grade III to IV, extensive, moderate/severe chronic GVHD, and secondary procedure (DLI, boost, second HSCT, and splenectomy). Modified GRFS of the entire cohort (A), depending on the regimen used (B), donor type (C), period of HSCT (D), and age at HSCT (E). (F) Continuous hazard ratio depending on age at HSCT. Shaded areas represent the 95% confidence interval. MMFD, mismatched family donor; MMUD, mismatched unrelated donor; MFD, matched family donor; MSD, matched sibling donor; MUD, matched unrelated donor; TT, thiotepa; Tx, transplant.
Event-free survival (modified GRFS). Events include death from any cause, GF, acute GVHD grade III to IV, extensive, moderate/severe chronic GVHD, and secondary procedure (DLI, boost, second HSCT, and splenectomy). Modified GRFS of the entire cohort (A), depending on the regimen used (B), donor type (C), period of HSCT (D), and age at HSCT (E). (F) Continuous hazard ratio depending on age at HSCT. Shaded areas represent the 95% confidence interval. MMFD, mismatched family donor; MMUD, mismatched unrelated donor; MFD, matched family donor; MSD, matched sibling donor; MUD, matched unrelated donor; TT, thiotepa; Tx, transplant.
Univariate analysis of risk factors. Univariate analysis of risk factors for OS (A), CRFS (events include death, GF, and extensive or severe chronic GVHD) (B), modified GRFS (events include death from any cause, GF, acute GVHD grade III to IV, extensive, moderate/severe chronic GVHD, and secondary procedure) (C), acute GVHD grade III to IV (D), and extensive or moderate/severe chronic GVHD (E). The hazard ratio for donor type and serotherapy could not be assessed in this model for acute GVHD and chronic GVHD (panels D and E) because of too few events in at least one of the tested groups. BM, bone marrow; CB, cord blood; MMFD, mismatched family donor; MMUD, mismatched unrelated donor; MFD, matched family donor; MSD, matched sibling donor; MUD, matched unrelated donor; PB, peripheral blood; TT, thiotepa.
Univariate analysis of risk factors. Univariate analysis of risk factors for OS (A), CRFS (events include death, GF, and extensive or severe chronic GVHD) (B), modified GRFS (events include death from any cause, GF, acute GVHD grade III to IV, extensive, moderate/severe chronic GVHD, and secondary procedure) (C), acute GVHD grade III to IV (D), and extensive or moderate/severe chronic GVHD (E). The hazard ratio for donor type and serotherapy could not be assessed in this model for acute GVHD and chronic GVHD (panels D and E) because of too few events in at least one of the tested groups. BM, bone marrow; CB, cord blood; MMFD, mismatched family donor; MMUD, mismatched unrelated donor; MFD, matched family donor; MSD, matched sibling donor; MUD, matched unrelated donor; PB, peripheral blood; TT, thiotepa.
The addition of thiotepa to either regimen had no discernible positive impact on OS, CRFS, or GRFS (supplemental Figure 1). GRFS was lower in the TreoFluTT group due to a significant number of patients with DLI in that small group (supplemental Figure 1C), but acute GVHD, chronic GVHD, and incidence of GF did not differ significantly (not shown).
Graft-versus-host disease
The overall cumulative incidence of grades II to IV and III to IV acute GVHD were 30.5% (18.0%-29.9%) and 6.6% (3.1%-10.1%) at 12 months, respectively (Figure 5A), whereas the cumulative incidence of any chronic GVHD and extensive/moderate/severe chronic GVHD were 9.4% (5.3%-13.6%), and 2.1% (0.1%-4.1%) at 3 years (Figure 5B). In univariate analysis, the type of conditioning regimen, age, prior autoimmunity, and period of HSCT had no significant influence on the incidence of grade III to IV acute GVHD or extensive/moderate/severe chronic GVHD (Figure 4D-E). There was no apparent impact of donor type and serotherapy on the incidence of GVHD (not shown), but this could not be formally tested in this model for acute GVHD and chronic GVHD because of too few events in at least one of the tested groups.
GVHD. Cumulative incidence of acute GVHD grades II to IV and III to IV (A) and all chronic GVHD and extensive/moderate/severe chronic GVHD (cGVHD) (B), respectively. Shaded areas represent the 95% confidence interval.
GVHD. Cumulative incidence of acute GVHD grades II to IV and III to IV (A) and all chronic GVHD and extensive/moderate/severe chronic GVHD (cGVHD) (B), respectively. Shaded areas represent the 95% confidence interval.
Engraftment, chimerism and GF
Engraftment of neutrophils and platelets was documented after a median of 17 days (16-19 days) and 16 days (14-17 days), respectively (supplemental Figure 2). Figure 6 depicts the degree of donor chimerism at last assessment in whole blood, T cells, and myeloid cells depending on the regimen used. It shows a higher proportion of patients with complete or >50% donor chimerism in whole blood (P = .001) or myeloid compartment (P < .001) but not in the T-cell compartment (P = .095) in patients transplanted with BuFlu±TT compared with those with TreoFlu±TT regimens. The addition of thiotepa had no discernible impact on chimerism in either group (data not shown). The overall cumulative incidence of primary and secondary GF was 8.3% (4.2%-12.4%) at 3 years. It was higher in the TreoFlu±TT group, in which it reached 14.3% (6.7%-21.8%) vs 2.9% (0.0%-6.2%) for BuFlu±TT at 3 years (P = .001) (Figure 7A).
Chimerism. Degree of donor chimerism at last assessment in whole blood, T cells, and myeloid cells depending on the regimen used.
Chimerism. Degree of donor chimerism at last assessment in whole blood, T cells, and myeloid cells depending on the regimen used.
The mean platelet count at last assessment was 283 × 109/L (interquartile range, 155-299; range, 6-609) in n = 109 patients with available data, excluding splenectomized patients. Patients with a myeloid donor chimerism <50% had a nonsignificant trend toward lower platelet counts at last assessment (supplemental Figure 3).
Secondary procedures
The cumulative incidence of a secondary procedure (conditioned second HSCT, unconditioned stem cell boost, DLI, or splenectomy) was significantly higher in the TreoFlu±TT group, in which it reached 26.6% (17.1%-36.1%) at 3 years compared with 6.2% (1.4%-11.1%) in the BuFlu±TT group (P < .001) (Figure 7B-C). This finding was mainly due to an increased number of DLIs in the TreoFlu±TT group in 11 (14.1%) of 83 patients compared with 2 (1.2%; P = .006) of 101 in the BuFlu±TT group. A conditioned second HSCT was performed in 13 (13.8%) of 94 TreoFlu±TT recipients vs 3 (2.9%) of 103 BuFlu±TT recipients (P = .051.). Three of these patients did not have GF before second HSCT (2 of these patients had mixed chimerism, and 1 had hemophagocytic lymphohistiocytosis before second HSCT). Two patients in the TreoFlu±TT cohort received splenectomy post-HSCT, both cases for persistent thrombocytopenia in the face of mixed myeloid chimerism.
GF and secondary procedures. (A) Cumulative incidence of GF depending on regimen used. Stacked cumulative incidence of secondary procedures depending on the regimen used: BuFlu±TT (B) and TreoFlu±TT (C). Red indicates second conditioned HSCT; blue, unconditioned stem cell boost; green, DLI; and purple, splenectomy.
GF and secondary procedures. (A) Cumulative incidence of GF depending on regimen used. Stacked cumulative incidence of secondary procedures depending on the regimen used: BuFlu±TT (B) and TreoFlu±TT (C). Red indicates second conditioned HSCT; blue, unconditioned stem cell boost; green, DLI; and purple, splenectomy.
Autoimmunity
A significant proportion (38.9%) of patients had autoimmunity before HSCT (Table 1; supplemental Table 2a). It resolved in 56 (91.8%) of 61 patients after HSCT. De novo autoimmunity after HSCT was observed in 25 (15.1%) of 166 patients with available information (supplemental Table 2b) and predominantly presented as autoimmune cytopenia. This is in line with the expected rate of post-HSCT autoimmunity in patients with IEI.31 There was no increased incidence of de novo post-HSCT autoimmunity in patients who had had autoimmunity pre-HSCT (P = .216), nor in those with donors other than matched sibling donor (MSD)/matched family donor (MFD) (P = .423; data not shown).
Discussion
This is the largest retrospective study of HSCT outcomes for patients with WAS and the first to report the results of 2 conditioning regimens increasingly used in Europe. It shows excellent OS, regardless of conditioning regimen, donor type, or stem cell source. The use of TreoFlu±TT was associated with a higher incidence of GF and mixed chimerism and more often triggered secondary procedures such as DLI, resulting in a lower modified GRFS for TreoFlu±TT-conditioned patients.
Older age at HSCT remains a significant risk factor for decreased OS, as found in previous studies.10,11,15 However, 5 years of age was an arbitrary cutoff, mainly chosen for the purpose of comparison with historical data. The hazard ratio more likely increases gradually with age as shown in Figures 1F, 2F, and 3F. It must be noted that most patients in our cohort underwent transplant at ≤3 years of age. This is likely a reflection of the early diagnosis of patients with WAS (median, 1.5 years; personal information by M.H.A., unpublished data) and data showing that HSCT outcomes are generally better in younger patients. Increasing numbers of reports of successful HLA-haploidentical HSCT in WAS may also have contributed to the earlier use of alternative donors in our cohort.17,32,33
This cohort included patients undergoing transplant from 2006 onward, implying that they received state-of-the-art supportive care, HLA typing, and donor selection. It is therefore unsurprising that no significant impact of donor type on OS and CRFS/GRFS could be detected, in contrast to earlier studies.11,14 Nevertheless, this study is one of the first to show outcome equivalence using MMFD donors in IEI. Similar to a recently published study by the US Primary Immunodeficiency Treatment consortium (PIDTC) reporting on 129 patients with WAS who had received HSCT between 2005 and 2015,10 there was a trend toward better OS and GRFS but not CRFS with MSD/MFD compared with alternative donors in our study. Although it is very encouraging that the same excellent outcomes can be achieved with alternative donors, HSCT from MSD/MFD should remain the gold standard, in addition to the fact that the number of post-HSCT complications is lower with these donors.12 Currently, there are no data to discourage the use of carriers as donors, but this issue was not addressed in this study. Because WAS carriers can be symptomatic,34 noncarrier donors are usually preferred. In contrast to the PIDTC report, our study included a relevant number of MMFD transplants with both ex vivo as well as in vivo T-cell depletion with remarkably good outcomes, in line with those reported for other IEI.32,33,35,36
Because we are aware of the general difficulties in analyzing conditioning regimens in retrospective registry-based cohorts (in which there is always a range of regimen intensity used), we attempted to compare in this study the 2 recommended and most frequently used regimens in Europe. Some centers opted to add thiotepa to the 2 regimens, but we could not detect any influence on outcome in any of the performed analyses. However, the total number of patients given thiotepa in this cohort was small, and the motivation to include it was not assessed, making it impossible to exclude assignment bias. In contrast to other IEI, in which selective engraftment of one cell lineage (ie, T cells) is sufficient to cure the patient,37 WAS affects all hematopoietic lineages. It has been shown that complete donor chimerism, including the myeloid lineage, increases the chances for cure of WAS along with normalization of platelet counts and minimizing the risk for post-HSCT autoimmunity.10,12,13,17
We observed an increased rate of mixed chimerism and GF in patients conditioned with TreoFlu±TT compared with BuFlu±TT, determining the need for more secondary procedures in TreoFlu-conditioned patients. These findings must be interpreted carefully, because we cannot exclude an assignment bias for the conditioning and serotherapy used in this retrospective analysis, and accordingly there were differences between the 2 groups, as described earlier. We are also aware that administration, dose, timing, and type of serotherapy, as well as stem cell source, can influence the degree of engraftment; it is not possible, however, to control for these factors in a retrospective registry-based study. There was an increased use of serotherapy in general and alemtuzumab in particular, as well as a trend to more MMFD in the TreoFlu±TT cohort, all of which may have in part contributed to the decreased GRFS in this group. The use of serotherapy was associated with a lower CRFS and GRFS, possibly due to the suppression of graft vs hematopoiesis by serotherapy leading to an increased incidence of GF or incomplete chimerism, especially when using a less myeloablative conditioning.
Nevertheless, our findings could support the concept that TreoFlu±TT at currently used doses may not be as myeloablative as myeloablative-dosed BuFlu±TT, and that full myeloablation may be advantageous in WAS, especially in young patients without additional risk factors such as preexisting end-organ damage. Similar observations were also made by the PIDTC and a recent study from Japan in which patients administered busulfan-based regimens (mostly combined with cyclophosphamide) had higher myeloid donor chimerism than those with other reduced-intensity regimens.10,16 Interestingly, some recent studies have not found these differences in other IEI, such as chronic granulomatous disease or leukocyte adhesion deficiency.38,39 Furthermore, it remains unclear whether pharmacokinetic monitoring of treosulfan may play a role in optimizing its myeloablative potential.24,40 Unfortunately, data on pharmacokinetics of busulfan, if measured, were incomplete and inconclusive in our analysis, and thus we were unable to draw a meaningful conclusion on what intensity of busulfan-based conditioning21 and type, dose, and timing of serotherapy are optimal.41,42 We believe these factors would need to be studied in a prospective manner.
Although the current study adds to the solid body of evidence for the use of HSCT in WAS with different conditioning regimens and donor types, several important unsolved questions remain. These include the role of HSCT and the best approach in adolescents or adults with WAS, as well as whether there is a preferred platform for HLA-haploidentical HSCT (ex vivo or in vivo T-cell depletion). Both issues are the subject of ongoing IEWP studies. Experimental gene therapy with lentiviral vectors has shown excellent survival rates, even using reduced-intensity conditioning, and in the absence of GVHD.43 Interestingly, in line with allogeneic transplantation, the level of “mixed chimerism” of gene-corrected progenitor cells correlates with platelet counts.43,44 The role of this experimental treatment in the therapeutic armamentarium needs to be further established based on long-term safety and efficacy data; however, in the absence of a prospective comparative trial between gene therapy and HSCT, it will be difficult to define a fixed hierarchy of treatment options.
With the vast majority of transplanted patients with WAS currently surviving, late toxicity and quality of life are increasingly important issues, and need to be addressed. In one recent study with a limited number of patients with WAS who had undergone HSCT, Shah et al45 found an increased parent-reported quality of life in HSCT recipients.
In conclusion, treosulfan-based reduced toxicity conditioning resulted in equivalent OS compared with busulfan but was associated with increased incidence of GF, lower myeloid donor chimerism, and higher rates of secondary cellular therapies in our study. Furthermore, we show that the conditioning regimens currently recommended by IEWP for HSCT in WAS lead to nearly 90% survival regardless of donor type used or stem cell source, and that older age at HSCT remains a risk factor for adverse outcome.
Acknowledgments
F.H. was funded by the Else Kröner-Fresenius Stiftung (EKFS, 2017_A110) and the German Federal Ministry of Education and Research (BMBF, 01GM1910C). J.H.W. was funded by Barncancerfonden.
Authorship
Contribution: M.H.A., M.A.S., A.R.G., T.G., B.N., P.V., and A.C.L. designed the research, analyzed the data, and wrote the manuscript; and K.B., B.M., T.S., and S.H. managed the data and performed statistical analysis. All authors except K.B., B.M., T.S., and S.H. contributed data. All authors edited and approved the final manuscript.
Conflict-of-interest disclosure: M.H.A. reports research support and advisory honoraria by Orchard Therapeutics; advisory honoraria by CSL; travel support by Medac and Octapharma; and speaker honoraria by Grifols and Octapharma. F.P. reports funding by Jazz, Tillomed, and Amgen. K.K. reports honoraria by Medac, Novartis, and Jazz. A.A. is the principal investigator of a WAS gene therapy clinical trial sponsored by Orchard Therapeutics. A.C.L. reports research support and speaker honoraria by Neovii. The remaining authors declare no competing financial interests.
Correspondence: Michael H. Albert, Dr. von Hauner Children’s Hospital, Lindwurmstr. 4, 80337 Munich, Germany; e-mail: malbert@med.lmu.de.
The online version of this article contains a data supplement.
There is a Blood Commentary on this article in this issue.
The publication costs of this article were defrayed in part by page charge payment. Therefore, and solely to indicate this fact, this article is hereby marked “advertisement” in accordance with 18 USC section 1734.
REFERENCES
Author notes
B.N., P.V., and A.C.L. contributed equally to this study.
 https://orcid.org/0000-0001-9143-3263
  https://orcid.org/0000-0001-9143-3263
        







