Key Points
One allele mismatch did not influence UD transplant outcomes using PTCy.
Donor age <30 vs ≥30 years should supersede 10/10 vs 9/10 HLA-matching in the selection of unrelated donor for HSCT with PTCy for AML.
Visual Abstract
There is a paucity of information on how to select the most appropriate unrelated donor (UD) in hematopoietic stem cell transplantation (HSCT) using posttransplant cyclophosphamide (PTCy). We retrospectively analyzed the characteristics of 10/10 matched UDs (MUDs) and 9/10 mismatched UDs (MMUDs) that may affect transplant outcomes in patients with acute myeloid leukemia (AML) in first or second complete remission (CR1 or CR2). The primary end point was leukemia-free survival (LFS). Overall, 1011 patients were included with a median age of 54 years (range, 18-77). Donors had a median age of 29 years (range, 18-64); 304 (30%) were females, of which 150 (15% of the whole group) were donors to male recipients, and 621 (61%) were MUDs; 522 (52%) had negative cytomegalovirus (CMV-neg) serostatus, of which 189 (19%) were used for CMV-neg recipients. Donor age older than 30 years had a negative impact on relapse (hazard ratio [HR], 1.38; 95% confidence interval [CI], 1.06-1.8), LFS (HR, 1.4; 95% CI, 1.12-1.74), overall survival (HR 1.45; 95% CI, 1.14-1.85) and graft-versus-host disease (GVHD) free, relapse-free survival (HR, 1.29; 95% CI, 1.07-1.56). In addition, CMV-neg donors for CMV-neg recipients were associated with improved LFS (HR, 0.74; 95% CI, 0.55-0.99). The use of MMUD and female donors for male recipients did not significantly impact any transplant outcomes. For patients undergoing HSCT from a UD with PTCy for AML, donor age <30 years significantly improves survival. In this context, donor age might be prioritized over HLA match considerations. In addition, CMV-neg donors are preferable for CMV-neg recipients. However, further research is needed to validate and refine these recommendations.
Introduction
Posttransplant cyclophosphamide (PTCy) has emerged as a key strategy for graft-versus-host disease (GVHD) prevention, challenging established principles in hematopoietic stem cell transplantation (HSCT). This includes redefining the importance of human leukocyte antigen (HLA) matching between donors and recipients.1-3 Its efficacy has not only allowed the increased use of haploidentical and mismatched unrelated donors (MMUDs),4 but has also showed benefits in matched sibling and matched UD (MUD) HSCT.5 In this scenario, when multiple donors are available for a patient, selecting the most suitable donor, particularly from UDs lacks comprehensive guidance.
Current recommendations for UD selection prioritize donor/recipient HLA compatibility at the allele level as the primary consideration. Subsequently, other non-HLA donor characteristic, mainly age but also cytomegalovirus (CMV), sex, and ABO matching, are considered in a hierarchical manner.6-8 However, this international consensus is based on studies involving a large number of patients primarily receiving calcineurin inhibitor–based GVHD prophylaxis. The question remains on whether the existing donor selection algorithm is still valid in the PTCy era, which appears to have partially overcome the HLA barrier.9
Our study aims to investigate the key characteristics of UDs that could impact on transplant outcomes in patients with acute myeloid leukemia (AML) receiving GVHD prophylaxis with PTCy. We analyzed data from the European Society for Blood and Marrow Transplantation (EBMT) database with the objective of refining criteria for guiding donor selection within this specific context.
Patients and Methods
Study design and data source
This is a retrospective registry-based analysis on behalf of the Acute Leukemia Working Party (ALWP) of the EBMT. The EBMT is a voluntary working group of >650 transplantation centers that are required to report all consecutive stem cell transplantations and follow-ups once a year. In the EBMT registry, there is an internal quality control program regarding accuracy and consistency of entered data and, audits are regularly performed using queries on missing or incorrect data and follow-up requests. All transplantation centers are required to obtain written informed consent before data registration with the EBMT in accordance with the 1975 Declaration of Helsinki. The ALWP of the EBMT group approved this study.
Patient eligibility
All adults (age ≥18 years) with AML in first or second complete remission (CR1 or CR2) reported via the ProMIse data entry system to the EBMT database, who underwent a first allogeneic HSCT from a 10/10 MUD or a 9/10 MMUD between January 2010 and December 2021 were included. The transplants used an unmanipulated peripheral blood graft and PTCy as GVHD prophylaxis.
End points and definitions
The primary end point was leukemia-free survival (LFS). Secondary end points included acute and chronic GVHD, disease relapse, nonrelapse mortality (NRM), GVHD-free and relapse-free survival (GRFS) and overall survival (OS). GRFS was defined as survival without disease relapse and severe acute or chronic extensive GVHD. OS was defined as the time between the date of transplant and death. LFS was defined as survival without relapse or progression, and was calculated until the date of first relapse, death from any cause, or the last follow-up. Relapse was defined as morphological leukemia recurrence at any site. NRM was defined as death from any cause without prior relapse.
Statistical analysis
GRFS, LFS, and OS were estimated using the Kaplan-Meier method.10 Survival probabilities are given at 2 years as percentages and 95% confidence intervals (CIs). Cumulative incidence functions were used to estimate acute GVHD, chronic GVHD, relapse incidence, and NRM.11,12 Competing risks were death for relapse incidence and relapse for NRM, as well as relapse or death for acute GVHD and chronic GVHD. Univariate analyses were done using the log-rank test for LFS, GRFS, and OS and Gray test for cumulative incidence estimates. Multivariate analyses were performed using the Cox proportional hazard model.13 The following patient, disease and transplant characteristics were included in the final model: patient´s age at transplantation, cytogenetic risk group according to the 2017 European LeukemiaNet classification,14 CR1 or CR2, transplantation year, conditioning regimen,15 performance status. In addition, the following donor and graft characteristics were included in the final model: donor age <30 or <30 years, MUD or MMUD, donor-recipient CMV serostatus and donor-recipient sex mismatch. Regarding donor age, we evaluated the linear relationship of age as a continuous with the outcome using visually plotting martingale residuals vs donor age (supplemental Figure 1, available on the Blood website). Because the linearity assumption was not met, we used asymptotic generalized maximally selected statistics to find the cutoff point of donor age that best discriminates for the primary end point (LFS). Donor age of 30 years was found as best cutoff and was used for subsequent analysis. HLA-class I mismatches were classed into peptide-binding motifs (PBM) matched or mismatched as previously described,16 using the webtool for PBM-matching (https://pbm-matching-tool.b12x.org). To account for heterogeneity in the effect of a characteristic or a treatment across centers, we introduced a random effect in Cox multivariate models.17 The significance level was fixed at .05, and P values were 2-sided. P values for secondary end points should be cautiously interpreted due to multiple comparisons. Statistical analyses and adjusted survival curves18 were performed using the R statistical software version 4.2.3 (R Foundation for Statistical Computing, Austria, Vienna; available online at http://www.R-project.org).
The scientific board of the ALWP of EBMT approved this study. All patients gave written informed consent for the use of their data.
Results
Patient and transplantation characteristics
Patient and transplant characteristics are summarized in Table 1. Overall, a total of 1011 patients were included, with a median age of 54 years (range, 18-77). Among them, 83 (9%), 612 (67%), and 213 (24%) patients had standard, intermediate, and adverse-risk cytogenetics, respectively. Transplantation was performed in CR1 for 837 (83%) patients. Regarding conditioning regimen, 548 (54%) patients received a myeloablative regimen. In vivo T-cell depletion was used for 174 (17%) of patients, of whom 159 (15.7%) received antithymocyte globulin and 15 (1.5%) received alemtuzumab (Campath). The use of T-cell depletion was equally distributed in MUD (n = 108, 17%) and MMUD (n = 66, 17%) (P = .9). For GVHD prophylaxis, PTCy was combined with calcineurin inhibitors alone in 258 (25%) patients, whereas most received triple drug combination of PTCy with mycophenolate mofetil and calcineurin inhibitors or sirolimus in 654 (65%). Median follow-up of surviving patients was 24 months (range, 1-122; interquartile range, 12-41).
Donor characteristics
Donor characteristics are summarized in Table 2. The median age was 29 years (range, 18-64). Among the 304 (30%) female donors, 150 (15%) were used for male recipients. CMV serostatus was negative in 522 (52%) donors, of which 189 (19%) were used for CMV-negative (CMV-neg) recipients.
Regarding donor/recipient HLA match, 621 (61%) were 10/10 allele MUD, and the remaining 390 (39%) were 9/10 allele MMUD. For 10/10 MUD, of the 395 with available information, 351 (88.9%) had HLA-DPB1-mismatches, whereas for 9/10 allele MMUD, information was reported for 248 patients and 233 (93.9%) had HLA-DPB1 mismatches. Considering HLA-A, -B, -C, and DRB1, 670 (66%) were 8/8 MUD and 341 (34%) were 7/8 MMUD. In addition, 302 HLA-class I mismatches were classed into PBM clustering, of which 80 (26%) could not be assigned. Of the remaining 222, 79 (36%) were matched in the graft-versus host direction and 143 (64%) were mismatched.
Transplant outcomes
Patient outcomes after HSCT are shown in Table 3. For the overall cohort, the 180-day cumulative incidence of acute grade 2-4 and 3-4 GVHD was 24% (95% CI, 22-27) and 7% (95% CI, 6-9), respectively. The 2-year cumulative incidence of chronic and chronic extensive GVHD was 31% (95% CI, 28-35) and 12% (95% CI, 10-15), respectively. The 2-year cumulative incidence of relapse and NRM was 25% (95% CI, 22-27) and 12% (95% CI, 10-14), respectively. The LFS, OS, and GRFS at 2 years was 64% (95% CI, 60-67), 70% (95% CI, 67-73), and 52% (95% CI, 49-56), respectively.
Analysis of risk factors
Donor-related factors
Unadjusted univariate analyses of transplant outcomes according to donor-related characteristics is shown in supplemental Table 1, and multivariate analyses is shown in Table 4. No specific variable was significantly associated with the risk of severe acute or chronic extensive GVHD.
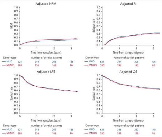
When comparing patients receiving 10/10 MUD or 9/10 MMUD, we observed no significant difference in the risk of NRM (hazard ratio [HR], 1.39; 95% CI, 0.93-2.08), or relapse (HR, 0.91; 95% CI, 0.69-1.2), neither in the probability of LFS (HR, 1.04; 95% CI, 0.83-1.31), OS (HR, 1.09; 95% CI, 0.85-1.41), GRFS (HR, 1.14; 95% CI, 0.94-1.37; Figure 1). Similar results were observed with the comparison of 8/8 MUD or 7/8 MMUD in NRM (HR, 1.39; 95% CI, 0.92-2.09), relapse (HR, 1; 95% CI, 0.76-1.33), LFS (HR, 1.12; 95% CI, 0.89-1.41), OS (HR, 1.17; 95% CI, 0.9-1.52), and GRFS (HR, 1.19; 95% CI, 0.98-1.45). LFS was not influenced by the use of HLA-DPB1 mismatched donors (HR, 0.72; 95% CI, 0.47-1.13), or bidirectional or unidirectional PBM mismatches in graft-versus-host direction (HR, 1.04; 95% CI, 0.75-1.44) compared with full HLA matches.
Adjusted cumulative incidence of NRM and relapse, and probability of LFS and OS for MUDs or MMUDs. RI, relapse.
Adjusted cumulative incidence of NRM and relapse, and probability of LFS and OS for MUDs or MMUDs. RI, relapse.
Donor age significantly influenced outcomes (Figure 2). Donor age of 30 years was found to be the most discriminative cutoff for LFS. When stratifying donor age per quartiles, patients who underwent transplantation with donors aged 25 to 30 years had similar LFS compared with those with donors aged 18 to 24 years (HR, 1.18; 95% CI, 0.84-1.64). However, compared with donors 18 to 24 years, LFS was decreased for patients with donors aged 31 to 36 years (HR, 1.45; 95% CI, 1.05-1.99), and ≥37 years (HR, 1.52; 95% CI, 1.11-2.09). The probability of LFS was lower for patients who underwent transplantation using donors with ≥30 years (HR, 1.4; 95% CI, 1.12-1.74), with a similar impact within different subgroups according to patient, disease or transplant characteristics (Figure 3). The adjusted probability of LFS at 2 years was 68% for patients with younger donors and 59% for those with older donors. In addition, older donor age had a negative impact on relapse (HR, 1.38; 95% CI, 1.06-1.8), OS (HR, 1.45; 95% CI, 1.14-1.85), and GRFS (HR, 1.29; 95% CI, 1.07-1.56).
Adjusted cumulative incidence of NRM and relapse, and probability of LFS and OS according to donor age. RI, relapse.
Adjusted cumulative incidence of NRM and relapse, and probability of LFS and OS according to donor age. RI, relapse.
Forest plot of LFS according to donor age within subgroups of patient, disease, or transplant characteristics.
Forest plot of LFS according to donor age within subgroups of patient, disease, or transplant characteristics.
Finally, having a CMV-neg donor for CMV-neg recipient was associated with improved LFS (HR, 0.74; 95% CI, 0.55-0.99), whereas donor/recipient sex did not significantly impact any transplant outcomes.
Patient, disease, and transplant factors
Multivariate analyses of transplant outcomes according to patient, disease, and transplant characteristics is shown in Table 4. Similar to donor-related factors, we found that no specific variable was significantly associated with the risk of severe acute or chronic extensive GVHD. However, older patients had an increased risk of NRM, alongside worse LFS and OS. In addition, patients with adverse-risk cytogenetics exhibited an increased risk of relapse, coupled with decreased LFS, OS, and GRFS. Moreover, poorer Karnofsky performance status was associated with higher NRM.
Discussion
This study shows that AML patients undergoing HSCT from an UD with a PTCy–based GVHD prophylaxis regimen, younger donor age significantly improves survival. In addition, CMV-neg donors are preferable for CMV-neg recipients. Conversely, characteristics such as HLA mismatch and donor/recipient sex showed no effect on transplant outcomes. These findings could significantly influence donor selection in this setting.
Our study included a large cohort of patients from the EBMT registry who underwent UD-HSCT in the past decade with PTCy as GVHD prophylaxis. The study’s limitations are inherent to its retrospective and registry-based nature. To minimize heterogeneity, the analysis was restricted to patients with AML in CR1 or CR2 and bone marrow grafts were excluded as most patients received peripheral blood as the stem cell source. Moreover, relevant information concerning disease, graft and donor characteristics, such as molecular information for European Leukemia Net risk assignment, cell dose, and ABO mismatch, remained incomplete or unavailable for our analysis. In addition, the study was not powered analyze the impact of specific HLA mismatches.
Regarding transplant outcomes, our study confirms the safety and efficacy of UD-HSCT, showcasing low rates of acute and chronic GVHD, consistent with previous studies.4,5 PTCy was able to overcome classical adverse risks for development of acute and chronic GVHD, such as HLA disparity, patient and donor age, and sex mismatch.19-23 Not surprisingly, patient-related features like older age and poorer performance status were associated with increased NRM, whereas disease-related variables, such as adverse-risk cytogenetics, increased the risk of relapse. It is interesting to highlight that patients in CR2 had outcomes similar to those in CR1.
The pivotal finding of our study highlighted that donor age at an optimal cut point of 30 years, and not HLA compatibility, emerged as the primary determinant of transplant outcomes. Younger donor age has long been recognized as a factor that reduces the incidence of GVHD and NRM, as well as improves survival in UD-HSCT.21,24,25 In contrast to these studies, our data seem to suggest there may not be large differences in outcomes for patients who underwent transplantation using donors within 18 to 30 years of age. In fact, in our study, donors aged >30 years was associated with decreased survival because of a combination of a borderline detrimental effect on NRM, but also to an increased risk of relapse. The protective effect of younger donors against relapse has already been described in acute lymphoblastic leukemia26 and myelodisplastic syndrome,27 although this finding has not been consistently reported.28 The mechanisms by which donor age might affect the risk of relapse without any apparent effect on the risks of grades 3-4 GVHD or extensive chronic GVHD is unknown and warrants further investigation. We could hypothesize that the presence of more potent and resilient alloreactive cytotoxic T cells and natural killer (NK) cells from younger individuals could induce stronger graft-versus-leukemia effect. Previous studies have shown that HSCT from younger donors are associated with improved immune reconstitution after hematopoietic cell transplant based on faster kinetics of CD4+ T cell and CD8+ T cell (both naïve and memory), as well as B cell, and NK cell development.29-31 Various mechanisms have been implied for aging of T cells that could affect donor-derived T cells such as cellular senescence, impaired mitochondrial adaptation, attenuation of cellular metabolism, epigenetic age, and telomere shortening.32 However, the impact of PTCy on the reconstitution and functionality of these T and NK cells is a complex factor in the overall antileukemic efficacy posttransplantation. In contrast to previous studies,22,33-36 the use of 1 allele MMUD compared with MUD had no negative effect on any of transplant outcomes, regardless of number of alleles considered (10/10 or 8/8), or the type of PBM mismatches within HLA-class I mismatches.16 This important finding, potentially relevant in clinical practice, aligns with PTCy ability to mitigate HLA-related negative impacts observed in other transplant settings.1,2,37,38
Finally, negative serostatus for both donor and recipient was associated with improved LFS, as previously described.39,40 However, it should be noted that most patients in this cohort received their transplants before the availability of letermovir, which seems to have modified the impact of CMV in HSCT.41 Whether CMV serostatus is still relevant with the use of letermovir should be addressed in future studies.
In conclusion, when selecting an optimal UD for HSCT using PTCy, donor age emerges as the pivotal factor influencing outcomes, with younger age significantly improving survival rates. Therefore, in this context, prioritizing donor age over HLA match or sex considerations might be warranted. In addition, for CMV-neg recipients, selecting CMV-neg donors are preferable for optimal outcomes. However, further research is needed to validate and refine these recommendations.
Authorship
Contribution: J.S., M.L., M.M., S.P. and F.C. designed the study; M.L., performed statistical analysis and helped with the interpretation of the results; J.S. wrote the manuscript; G.C., A.K., J.P., J. Vydra, P.R., J. Versluis, M.R., D.B., H.L.-W., J.M., S.S., E.M., M.I.-R., N.S., and C.E.B. provided cases for the study; and all authors reviewed and approved the manuscript.
Conflict-of-interest disclosure: The authors declare no competing financial interests.
Correspondence: Jaime Sanz, Hospital Universitari i Politècnic La Fe, Av. Fernando Abril Martorell, 106, 46026 Valencia, Spain; email: jaime.sanz@uv.es.
References
Author notes
The data sets supporting the conclusions of this article are available through the Acute Leukemia Working Party of the European Society for Blood and Marrow Transplantation, Saint-Antoine Hospital, Saint-Antoine, Paris, France (myriam.labopin@sorbonne-universite.fr).
The online version of this article contains a data supplement.
There is a Blood Commentary on this article in this issue.
The publication costs of this article were defrayed in part by page charge payment. Therefore, and solely to indicate this fact, this article is hereby marked “advertisement” in accordance with 18 USC section 1734.



