Abstract
Human vascular endothelial cells (EC) have been implicated in the dissemination of human immunodeficiency virus type-1 (HIV-1). HIV-1–tat, a viral gene product essential for HIV replication, has been shown to interact with different cell types, altering their growth and inducing gene expression. In the present report, we have examined the effect of HIV-tat on the expression of various adhesion molecules in human umbilical vein EC. Our results show that treatment of EC with HIV-tat induces the cell surface expression of intercellular adhesion molecule-1, vascular cell adhesion molecule-1, and endothelial leukocyte adhesion molecule-1 in a timeand dose-dependent manner. Cycloheximide abolished the HIV-tat–dependent induction of all the adhesion molecules, indicating that protein synthesis was required for induction. The effect of HIV-tat on expression of adhesion molecules was potentiated by tumor necrosis factor (TNF ), a well-known inducer of adhesion molecules. Like TNF, HIV-tat also enhanced the adhesion of human promyelomonocytic HL-60 cells to EC, and this effect was abolished by treatment with antibodies either against HIV-tat or adhesion molecules. Our results thus indicate that the HIV-tat protein can activate human vascular EC to induce the expression of various adhesion molecules that may play a role in the extravasation of HIV-infected cells.
HUMAN immunodeficiency virus-1 (HIV-1)–tat is a viral protein of 76 amino acids released by infected T cells and plays a critical role in the trans-activation of HIV-1 replication.1 Like cytokines produced by eukaryotic sources, HIV-tat exhibits a wide variety of other activities, including immune suppression, growth modulation, and gene activation. It inhibits antigen-induced T-cell proliferation in vitro,2 induces several growth regulatory cytokines, including lymphotoxin (LT), tumor necrosis factor (TNF ), interleukin-2 (IL-2), IL-6, transforming growth factor-β (TGF-β), and acidic fibroblast growth factor (FGF ), and modulates the receptors for HIV-1 (CD4), TNF, IL-2, and IL-4.3-13 HIV-tat has also been shown to alter the redox state of cells by downmodulating superoxide dismutase (SOD) expression.13 14
HIV-tat protein has also been shown to stimulate the growth of Kaposi's sarcoma (KS)-derived cells15 that are composed of endothelial cells (EC) mixed with cells of dendritic and monocytic origin.16 Normal EC acquire phenotypic and functional features of KS on exposure to HIV-tat, bFGF, and inflammatory cytokines such as TNF.17,18 In addition, HIV-tat induces growth, migration, invasion, and adhesion of EC (Vogel et al19 and Albini et al20 and references therein) and synergizes with bFGF for induction of KS in mice.21 How HIV-tat induces these diverse effects is not understood, but an Arg-Gly-Asp (RGD) sequence in HIV-tat has been shown to bind integrins on EC and KS cells, resulting in their growth.22
We recently showed that HIV-1 infection alters the interaction of monocytes with human vascular EC23 and that this effect is mediated through the interaction of HIV-tat with monocytes.24 25 In the present report, we examined the effect of HIV-tat on the induction of adhesion molecules in human vascular EC and their interaction with unstimulated monocytes. We found that the treatment of EC with HIV-tat, like that with TNF, induces the cell surface expression of intercellular adhesion molecule-1 (ICAM-1), vascular cell adhesion molecule-1 (VCAM-1), and endothelial leukocyte adhesion molecule-1 (ELAM-1) and that induction of all three molecules was dependent on protein synthesis. HIV-tat, again like TNF, also enhanced the adhesion of human promyelomonocytic HL-60 cells to EC.
MATERIALS AND METHODS
Materials.Penicillin, streptomycin, RPMI 1640 medium, and fetal calf serum were obtained from GIBCO (Grand Island, NY). Glycine, NaCl, and bovine serum albumin (BSA) were obtained from Sigma Chemical Co (St Louis, MO). Bacteria-derived recombinant human TNF, purified to homogeneity with a specific activity of 5 × 107 U/mg, was kindly provided by Genentech, Inc (South San Francisco, CA).
HIV-Tat protein and antibodies.The HIV-1-Tat protein used in these studies were obtained as a gift from Dr John Brady (National Cancer Institute, National Institutes of Health, Bethesda, MD). HIV-Tat was dissolved in 1,000× treatment buffer (0.1% BSA and 0.1 mmol/L dithiothreitol [DTT]) and frozen in aliquots at −80°C until used. Antibodies against ICAM-1, VCAM-1, and ECAM-1 were purchased from Becton Dickinson (Mountain View, CA). For some of the initial studies, HIV-tat was prepared as described26 and purified on a Sepharose Q Fast Flow (Pharmacia, Uppsala, Sweden) at pH 8 in 50 mmol/L Tris-HCl, 2 mmol/L EDTA, 1 mmol/L DTT, and 5% glycerol. The elution was performed with 0 to 1 mmol/L NaCl gradient. The fractions containing the HIV-tat protein were pooled and dialysed against phosphate saline buffer with 10% glycerol and stored at −20°C. Neutralizing polyclonal antibodies against HIV-tat were obtained from AIDS Research and Reference Reagent Program of the National Institute of Allergy and Infectious Diseases (Rockville, MD).
Culture of EC.Human umbilical vein EC were obtained from Clonetics Corp (San Diego, CA). EC were cultured in endothelial basal medium (EBM) supplemented with 10 ng/mL gentamicin, 50 μg/mL amphotericin B, and 10% fetal calf serum (FCS; Clonetics). Confluent monolayers were harvested by treatment with trypsin-EDTA and subcultured 1:3. For most studies, EC at passage 3 were used. Cells were plated onto 96-well culture plates coated with 5 μg/mL fibronectin and grown to confluent monolayers for use in cell adhesion assays. EC monolayers were incubated in EBM containing 5% FCS in the presence of treatment buffer (final concentrations of 0.001% BSA and 1 μmol/L DTT in medium) or 100 ng/mL HIV-Tat in treatment buffer for 6 hours at 37°C, unless otherwise indicated.
Indirect immunofluorescence flow cytometry of untreated and HIV-Tat–treated EC. EC were treated with HIV-Tat (100 ng/mL) or treatment buffer alone for 6 hours at 37°C. The cells were then detached by a brief exposure to trypsin/EDTA, stained using monoclonal antibody to various adhesion molecules, and examined for the expression of ICAM-1, VCAM-1, and ELAM-1 by flow cytometry. The histogram shown by a broken line in all of the panels represents fluorescence profile of EC stained with isotype-matched IgG; the histogram shown by a solid line in all of the panels represents the fluorescence profiles of EC stained for various adhesion molecules.
Indirect immunofluorescence flow cytometry of untreated and HIV-Tat–treated EC. EC were treated with HIV-Tat (100 ng/mL) or treatment buffer alone for 6 hours at 37°C. The cells were then detached by a brief exposure to trypsin/EDTA, stained using monoclonal antibody to various adhesion molecules, and examined for the expression of ICAM-1, VCAM-1, and ELAM-1 by flow cytometry. The histogram shown by a broken line in all of the panels represents fluorescence profile of EC stained with isotype-matched IgG; the histogram shown by a solid line in all of the panels represents the fluorescence profiles of EC stained for various adhesion molecules.
Detection of cell surface proteins expressed on EC by flow cytometry.Untreated or Tat-treated EC were harvested by a brief exposure to trypsin-EDTA, washed three times with PBS, and resuspended in fluorescence-activated cell sorting (FACS) binding buffer (PBS, pH 7.4, containing 2% FCS, 0.1% NaN3 , 0.1% BSA, and 1 mg/mL human IgG). Cells were incubated with the indicated antibodies at 4°C for 30 minutes and washed three times with binding buffer. The washed cells were incubated with goat antimouse F(ab)2 secondary antibodies conjugated to fluorescein isothiocyanate for 30 minutes at 4°C. EC were washed three times with PBS, pH 7.4; fixed in 2% paraformaldehyde; and analyzed for fluorescence on a FACScan fluorescence cytometer (Becton Dickinson).
Monocyte adherence to EC.Promyelomonocytic HL-60 cells were suspended at 0.75 × 106 cells/mL in Dulbecco's modified Eagle's medium containing 5% FCS and incubated with 0.2 μCi of 3H thymidine overnight at 37°C. Labeled monocytes were washed and resuspended to approximately 106 cells/mL in EBM. Endothelial monolayers were incubated with different concentrations of either TNF or HIV-tat for 6 hours at 37°C. The medium was aspirated, and 100 μL of monocyte suspension was added to each endothelial monolayer-containing well and incubated for 60 minutes at 37°C. Nonadherent cells were aspirated, and the monolayers were washed three times with Hanks' balanced salt solution (HBSS), pH 7.4. The adherent cells were solubilized and counted in a beta scintillation counter.
RESULTS
In this report, we examined the effect of HIV-tat protein on the cell surface expression of human EC and compared these effects with those induced by TNF. These cells have been well characterized in our laboratory.23 24 The time of incubation and the concentration of the HIV-tat and TNF used in our studies were found to have no effect on cell viability (data not shown). For most studies, cells at passage 3 were used. All experiments were repeated at least two times and typical results are shown.
Dose-dependent effect of HIV-Tat on the expression of adhesion molecules on EC. EC monolayers were treated with various concentrations of HIV-Tat for 6 hours at 37°C. The cells were then harvested, fixed in 2% paraformaldehyde, and washed with cold PBS. Cells were resuspended in FACS binding buffer, and the expression of ICAM-1, VCAM-1, and ELAM-1 was determined by flow cytometry as described in the Materials and Methods.
Dose-dependent effect of HIV-Tat on the expression of adhesion molecules on EC. EC monolayers were treated with various concentrations of HIV-Tat for 6 hours at 37°C. The cells were then harvested, fixed in 2% paraformaldehyde, and washed with cold PBS. Cells were resuspended in FACS binding buffer, and the expression of ICAM-1, VCAM-1, and ELAM-1 was determined by flow cytometry as described in the Materials and Methods.
Kinetics of HIV-Tat–induced expression of adhesion molecules on EC. EC monolayers were treated with 100 ng/mL HIV-Tat for different times at 37°C. The cells were harvested at indicated times, fixed in 2% paraformaldehyde, and washed with cold PBS. Cells were then resuspended in FACS binding buffer, and the expression of adhesion molecules was determined by flow cytometry as described in the Materials and Methods.
Kinetics of HIV-Tat–induced expression of adhesion molecules on EC. EC monolayers were treated with 100 ng/mL HIV-Tat for different times at 37°C. The cells were harvested at indicated times, fixed in 2% paraformaldehyde, and washed with cold PBS. Cells were then resuspended in FACS binding buffer, and the expression of adhesion molecules was determined by flow cytometry as described in the Materials and Methods.
HIV-tat induces the expression of ICAM-1, VCAM-1, and ELAM-1.To determine the effect of HIV-tat, EC were treated with either buffer (control) or HIV-Tat (100 ng/mL) for 6 hours at 37°C, detached by a brief exposure to trypsin/EDTA, stained using monoclonal antibody to various adhesion molecules, and examined for the expression of ICAM-1, VCAM-1, and ELAM-1 by flow cytometry. The cells were stained with an isotype-matched IgG as control. The results shown in Fig 1 indicate that HIV-tat induced the cell surface expression of all three adhesion proteins. This induction was dose-dependent (Fig 2), with maximum induction of ICAM-1, VCAM-1, and ELAM-1 occurring at 100 ng/mL, 10 ng/mL, and approximately 100 ng/mL, respectively. This effect was also time-dependent (Fig 3), because treatment of cells with 100 ng/mL HIV-tat led to maximum induction of VCAM-1 and ELAM-1 in approximately 6 hours, whereas the induction of ICAM-1 did not reach maximum even after 12 hours. Compared with VCAM-1 induction, ELAM-1 induction declined gradually after 6 hours, indicating a shorter half-life of this cell surface protein.
Induction of adhesion molecules by HIV-tat requires protein synthesis.To determine if HIV-tat induces in situ synthesis of various adhesion proteins, EC monolayers were incubated with HIV-Tat at a concentration of 100 ng/mL in the presence or absence of cycloheximide (10 μg/mL) at 37°C for 6 hours and then harvested and examined for the expression of adhesion molecules by flow cytometry. The results in Fig 4 and their quantitation in Table 1 show that inhibition of protein synthesis completely abolished the HIV-tat–mediated induction of all three adhesion proteins, suggesting that the induction of these proteins by HIV-tat requires protein synthesis in EC.
Effect of cycloheximide treatment on HIV-Tat–induced adhesion molecules on EC. EC monolayers were incubated with HIV-Tat at a concentration of 100 ng/mL in the presence or absence of cycloheximide (10 μg/mL) at 37°C for 6 hours. At the end of incubation, cells were harvested, fixed in 2% paraformaldehyde, and washed with cold PBS. The cells were then resuspended in FACS binding buffer, and the expression of adhesion molecules was determined by flow cytometry as described in the Materials and Methods.
Effect of cycloheximide treatment on HIV-Tat–induced adhesion molecules on EC. EC monolayers were incubated with HIV-Tat at a concentration of 100 ng/mL in the presence or absence of cycloheximide (10 μg/mL) at 37°C for 6 hours. At the end of incubation, cells were harvested, fixed in 2% paraformaldehyde, and washed with cold PBS. The cells were then resuspended in FACS binding buffer, and the expression of adhesion molecules was determined by flow cytometry as described in the Materials and Methods.
Induction of adhesion molecules by HIV-tat is potentiated by TNF.Treatment of EC with TNF can induce the same adhesion molecules (Imhof and Dunon27 and Pober et al28 and references therein) as described here for HIV-tat. Therefore, we compared the induction of adhesion proteins by HIV-tat with that by TNF and then examined the possibility that TNF would potentiate the HIV-tat affect. EC monolayers were incubated with buffer (control), HIV-Tat (suboptimal concentration, 20 ng/mL) alone, TNF (suboptimal concentration, 0.2 ng/mL) alone, or HIV-tat plus TNF at 37°C for 6 hours and then examined for the expression of adhesion molecules. The results shown in Fig 5 show that the induction of adhesion proteins by HIV-tat is significant but somewhat lower than that of TNF. The quatitation of these results (Table 1) also shows that TNF potentiates the effects of HIV-tat for the induction of ICAM-1, VCAM-1, and ELAM-1.
Effect of TNF-α on HIV-Tat–induced adhesion molecules on EC. EC monolayers were incubated with treatment buffer, HIV-Tat (20 ng/mL), TNF (0.2 ng/mL) alone, or HIV-Tat plus TNF at 37°C for 6 hours. At the end of incubation, cells were harvested, fixed in 2% paraformaldehyde, and washed with cold PBS. The cells were resuspended in FACS binding buffer, and the expression of adhesion molecules was determined by flow cytometry as described in the Materials and Methods.
Effect of TNF-α on HIV-Tat–induced adhesion molecules on EC. EC monolayers were incubated with treatment buffer, HIV-Tat (20 ng/mL), TNF (0.2 ng/mL) alone, or HIV-Tat plus TNF at 37°C for 6 hours. At the end of incubation, cells were harvested, fixed in 2% paraformaldehyde, and washed with cold PBS. The cells were resuspended in FACS binding buffer, and the expression of adhesion molecules was determined by flow cytometry as described in the Materials and Methods.
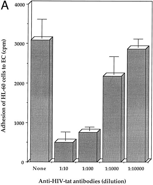
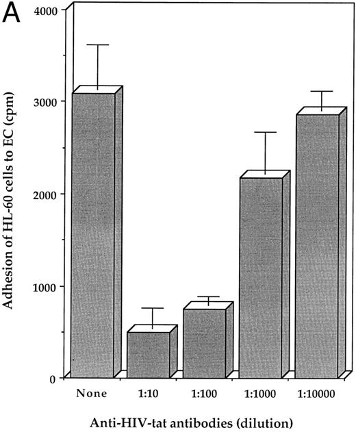
Adherence of human monocytes to HIV-tat-treated EC.Because induction of adhesion molecules is essential for the interaction of EC with monocytes,27 29 we examined whether monocytes adhere to HIV-tat–treated EC. HL-60 cells were labeled with tritiated thymidine and then incubated for 1 hour with endothelial monolayers pretreated with different concentrations of either TNF or HIV-tat for 6 hours at 37°C. The results of these experiments shown in Fig 6 indicate that HIV-tat induces the binding of HL-60 cells to human EC (upper panel), as does TNF (lower panel). To determine the specificity of HIV-tat to induce the adhesion of HL-60 cells with EC, we subjected HIV-tat to treatment with different dilutions of the specific antibodies against HIV-tat. The results, shown in Fig 7A, indicate that antibody treatment abolished the ability of HIV-tat to induce the adherence of HL-60 cells to EC in a dose-dependent manner, thus suggesting the specificity of this effect.
Effect of HIV-tat (upper panel) and TNF (lower panel) on the adhesion of HL-60 cells to enodthelial cells. HL-60 cells were labeled with tritiated thymidine for 16 hours at 37°C. Labeled cells were washed, resuspended, and incubated (for 1 hour at 37°C) with EC monolayers pretreated with different concentrations of either TNF or HIV-tat for 6 hours at 37°C. Nonadherent cells were aspirated, and the monolayers were washed three times with HBSS, pH 7.4. The numbers of adherent cells were determined by solubilizing the cells and counting in a β scintillation counter. All determinations were made in triplicate.
Effect of HIV-tat (upper panel) and TNF (lower panel) on the adhesion of HL-60 cells to enodthelial cells. HL-60 cells were labeled with tritiated thymidine for 16 hours at 37°C. Labeled cells were washed, resuspended, and incubated (for 1 hour at 37°C) with EC monolayers pretreated with different concentrations of either TNF or HIV-tat for 6 hours at 37°C. Nonadherent cells were aspirated, and the monolayers were washed three times with HBSS, pH 7.4. The numbers of adherent cells were determined by solubilizing the cells and counting in a β scintillation counter. All determinations were made in triplicate.
(A) Neutralization of HIV-tat activity by treatment with antibodies against HIV-tat. HIV-tat protein (100 ng/mL) was incubated with different dilution of the antibody for 1 hour at room temperature before its treatment with EC. The adhesion of EC to HL-60 was tested as described in Fig 6. All determinations were made in triplicate. (B) Potentiation of HIV-tat–induced adhesion of HL-60 cells to EC by TNF. EC were incubated with either HIV-tat (1 ng/mL) or TNF (100 ng/mL) or combination for 6 hours at 37°C and then examined for adhesion to HL-60 cells as described in Fig 6. All determinations were made in triplicate.
(A) Neutralization of HIV-tat activity by treatment with antibodies against HIV-tat. HIV-tat protein (100 ng/mL) was incubated with different dilution of the antibody for 1 hour at room temperature before its treatment with EC. The adhesion of EC to HL-60 was tested as described in Fig 6. All determinations were made in triplicate. (B) Potentiation of HIV-tat–induced adhesion of HL-60 cells to EC by TNF. EC were incubated with either HIV-tat (1 ng/mL) or TNF (100 ng/mL) or combination for 6 hours at 37°C and then examined for adhesion to HL-60 cells as described in Fig 6. All determinations were made in triplicate.
The results in Fig 5 and Table 1 indicate that TNF potentiates the effects of HIV-tat for the induction of ICAM-1, VCAM-1, and ELAM-1. To correlate this with adhesion of HL-60 cells to EC, EC monolayers were incubated with buffer (control), HIV-Tat (1 ng/mL), TNF (100 ng/mL), or HIV-tat plus TNF at 37°C for 6 hours and then examined for cellular adhesion. The results in Fig 7B show that, similar to induction of adhesion proteins, TNF potentiates the cellular adhesion induced by HIV-tat. To determine that adhesion molecules induced by HIV-tat/TNF are involved in cellular adhesion, after treatment with either HIV-tat (100 ng/mL) or TNF (100 ng/mL) for 6 hours, EC were treated with antibodies against either ICAM-1 or VCAM-1 or ELAM-1 or a combination for 1 hour at room temperature and then examined for adhesion to HL-60 cells. The results in Fig 8 clearly show that both TNF-induced (upper panel) and HIV-tat–induced (lower panel) adhesion is significantly blocked by antibodies against all the adhesion protein and that a combination of the antibodies is maximally effective. Thus, these results demonstrate the role of various adhesion molecules in adhesion of HL-60 cells to EC.
Neutralization of TNF-induced (upper panel) and HIV-tat–induced (lower panel) adhesion of HL-60 cells to EC by antibodies against the adhesion proteins. EC were incubated with either HIV-tat (100 ng/mL) or TNF (100 ng/mL) for 6 hours at 37°C, washed, treated with the indicated antibodies (1:200 dilution) for 1 hour at room temperature, and then examined for adhesion to HL-60 cells as described in Fig 6. All determinations were made in triplicate.
Neutralization of TNF-induced (upper panel) and HIV-tat–induced (lower panel) adhesion of HL-60 cells to EC by antibodies against the adhesion proteins. EC were incubated with either HIV-tat (100 ng/mL) or TNF (100 ng/mL) for 6 hours at 37°C, washed, treated with the indicated antibodies (1:200 dilution) for 1 hour at room temperature, and then examined for adhesion to HL-60 cells as described in Fig 6. All determinations were made in triplicate.
DISCUSSION
In the present report, we examined the effect of HIV-tat protein on the EC surface expression of the adhesion molecules ICAM-1, VCAM-1, and ELAM-1. We found that all three of the adhesion molecules were induced by HIV-tat in a time- and dose-dependent manner and that induction required in situ protein synthesis. Our results also show that the treatment of EC with HIV-tat enhanced the adhesion of monocytic HL-60 cells to EC and that this effect was abolished by the antibodies against the HIV-tat protein. Thus, our results indicate that HIV-tat protein alone can activate human vascular EC. This may play a role in pathogenesis of various diseases, including acquired immunodeficiency syndrome.
Like HIV-tat, TNF interacts with human EC and causes the de novo synthesis of ICAM-1, VCAM-1, and ELAM-1. Besides EC, ICAM-1 is expressed by monocytes, B and T cells, dendritic cells, keratinocytes, chondrocytes, and epithelial cells. In addition to EC, monocytes, and dendritic cells, VCAM-1 is also expressed on myoblasts and bone marrow fibroblasts. In contrast to ICAM-1 and VCAM-1, ELAM-1 is expressed exclusively on EC. Several recent reports indicate that the promoter region of the genes for all three adhesion molecules contains an NF-κB binding site and that this site is essential for the expression of these genes (see the recent review by Collins et al30 ).
A recent report from our laboratory has shown that treatment of monocytes with HIV-tat protein induces β2 integrins, which increases the adhesion of monocytes to EC.24 Our current results indicate that exposure of EC to exogenous HIV-tat induces ICAM-1, VCAM-1, and ELAM-1. Hofman et al31 showed an increase in expression of ELAM-1 by HIV-tat in human umbilical vein EC within 4 hours and its complete disappearance by 24 hours. We noted a maximum increase in 6 hours that decreased to baseline by 12 hours. In contrast to our results, Hofman et al31 found no induction of VCAM-1 by 100 ng/mL HIV-tat even up to 24 hours. We noted maximum induction VCAM-1 by 6 hours (Fig 3, middle panel). Why there is this difference in results is not understood. It is not due to the lack of activity of HIV-tat protein, because it induced ELAM-1 in both the studies. However, it is possible that the difference is due to the source of EC. Although both studies used human umbilical vein EC, variability in the responsiveness of these cells has been reported depending on the method of isolation and medium used to culture them.32 We obtained EC from a commercial source (Clonetecs), whereas Hofman et al31 isolated EC in their laboratory. Also, because primary EC have a limited life span, it is possible that the passage at which the cells were used affected the responsiveness to HIV-tat.
Our report is the first to indicate that, besides ELAM-1 and VCAM-1, HIV-tat also induces ICAM-1. The role of ICAM-1 in adhesion of monocytes to EC has been demonstrated,24 as has that of VCAM-1 and ELAM-1.33,34 Therefore, it is possible that the adhesion of HL-60 to HIV-tat–treated EC observed in our studies was due to induction of all three adhesion proteins. Besides the adhesion proteins described here, there are other proteins involved in monocyte-EC interaction.24,35 Whether these proteins are also activated by HIV-tat remains to be determined. It does induce other extracellular matrix proteins in glioblastoma cells.36
How HIV-tat induces the expression of different adhesion proteins is not clear. It has been shown that the promoter for genes of all three adhesion protein contain an NF-κB element that is essential for transcription.30 It has been shown that TNF induces ICAM-1, VCAM-1, and ELAM-1 via activation of NF-κB (for references, see Collins et al30 ) and that the inhibitors of NF-κB activation block the cytokine-mediated induction of these adhesion proteins.37,38 Like TNF, HIV-tat may also induce the expression of adhesion protein through activation of NF-κB. However, it has been reported that HIV-tat by itself does not activate NF-κB but rather potentiates the TNF-mediated activation of NF-κB.13 This potentiation was due to change in the redox state of the cells caused by downregulation of Mn-SOD expression.13,14 Like NF-κB, HIV-tat is a transcription factor that binds to the HIV-1 long terminal repeat (LTR) and causes viral replication. HIV-tat has been shown to synergize with NF-κB also for superactivation of HIV-1 LTR.39 40 It is possible, therefore, that there is a motif in the promoter region of the genes for adhesion proteins to which HIV-tat binds, thus resulting in the gene activation.
Because elevated levels of cyclic AMP induced by forskolin, an activator of adenylate cyclase, inhibit TNF-dependent induction of adhesion proteins in EC,28 it is also possible that HIV-tat–mediated induction is sensitive to forskolin. There are reports that suggest that HIV-tat mediates its effects through activation of protein kinase C (PKC). This suggestion is based on the observation that phorbol myristic acetate synergizes with HIV-1 tat gene in the trans-activation of the HIV-1 LTR-linked reporter gene41 and PKC depletion reduced the ability of the HIV-1 tat gene to trans-activate the expression of the reporter gene linked to HIV-1 LTR.42 Thus, there are several possible mechanisms by which HIV-tat could activate the gene expression for adhesion proteins. Isolating the mechanism requires further investigation.
ACKNOWLEDGMENT
The authors thank Klara Totpal and Uma Raju for technical assistance at the early stage of this project and Walter Pagel for careful review of the manuscript.
Supported by the Foundation for Research.
Address reprint requests to Bharat B. Aggarwal, PhD, Cytokine Research Section, Department of Molecular Oncology, University of Texas M. D. Anderson Cancer Center, 1515 Holcombe Blvd, Houston, TX 77030.








