Abstract
Resveratrol, a constituent of grapes and other food products, has been shown to prevent carcinogenesis in murine models. We report here that resveratrol induces apoptotic cell death in HL60 human leukemia cell line. Resveratrol-treated tumor cells exhibit a dose-dependent increase in externalization of inner membrane phosphatidylserine and in cellular content of subdiploid DNA, indicating loss of membrane phospholipid asymmetry and DNA fragmentation. Resveratrol-induced cell death is mediated by intracellular caspases as observed by the dose-dependent increase in proteolytic cleavage of caspase substrate poly (ADP-ribose) polymerase (PARP) and the ability of caspase inhibitors to block resveratrol cytotoxicity. We also show that resveratrol treatment enhances CD95L expression on HL60 cells, as well as T47D breast carcinoma cells, and that resveratrol-mediated cell death is specifically CD95-signaling dependent. On the contrary, resveratrol treatment of normal human peripheral blood lymphocytes (PBLs) does not affect cell survival for up to 72 hours, which correlates with the absence of a significant change in either CD95 or CD95L expression on treated PBLs. These data show specific involvement of the CD95-CD95L system in the anti-cancer activity of resveratrol and highlight the chemotherapeutic potential of this natural product, in addition to its recently reported chemopreventive activity.
© 1998 by The American Society of Hematology.
A NEWER DIMENSION in the management of neoplasia is the increasing awareness that chemoprevention, which refers to the administration of chemical agents to prevent the initiational and promotional events associated with carcinogenesis, could be the most direct way to reduce mortality and morbidity. In the search for new cancer chemopreventive agents over the past few years, hundreds of plant extracts have been evaluated. Resveratrol, a phytoalexin found in grapes, fruits, and root extracts of the weedPolygonum cuspidatum, has been an important constituent of Japanese and Chinese folk medicine.1-3 Indirect evidence suggests that the presence of resveratrol in white and rose wine may explain for the reduced risk of coronary heart disease associated with moderate wine consumption.4,5 This effect has been attributed to the inhibition of platelet aggregation and coagulation, in addition to the antioxidant and anti-inflammatory activity of resveratrol.6,7 Moreover, a recent report shows that resveratrol is a potent cancer chemopreventive agent in assays representing three major stages of carcinogenesis.8 Whereas the ability to inhibit cellular events associated with tumor initiation, promotion, and progression has been attributed to the anticyclooxygenase activity (COX-1) of resveratrol, the precise mechanism of antitumor activity is not well understood.
We report here the results of our findings showing that resveratrol induces apoptotic cell death in HL60 leukemia cells as well as in T47D breast carcinoma cells at doses minimally toxic to normal peripheral blood lymphocytes (PBLs). Resveratrol-induced apoptosis is mediated via caspase activation inhibitable by tetrapeptide caspase inhibitors DEVD-CHO or YVAD-CHO. Furthermore, resveratrol enhances CD95L expression and induces CD95 signaling–dependent cell death in both tumor cell lines.
MATERIALS AND METHODS
Chemicals.
Resveratrol, propidium iodide (PI), MTT, crystal violet, and RNAse A were obtained from Sigma Chemical Co (St Louis, MO). Annexin-fluorescein isothiocyanate (FITC), YVAD-CHO, and DEVD-CHO were purchased from Clontech Laboratories, Inc (Palo Alto, CA). Anti-PARP monoclonal antibody (C-2-10) was obtained from Biomol Research Laboratories, Inc (Plymouth Meeting, PA), anti-CD95 (ZB4) was from Upstate Biotechnology Inc (Lake Placid, NY), anti-CD95L (NOK-1) and isotype control mouse IgG1κ were purchased from Pharmingen (San Diego, CA). Stock solution of resveratrol was made in dimethylsulfoxide (DMSO) at a concentration of 100 mmol/L. Working dilutions were directly made in the tissue culture medium.
Cytotoxicity assays.
Human promyelocytic leukemia cell line HL60 and human breast carcinoma cell line T47D were obtained from ATCC (Rockville, MD) and maintained in culture in RPMI 1640 supplemented with 10% fetal bovine serum (FBS; Hyclone, Logan, UT) in an atmosphere of 5% CO2 at 37°C. Normal human PBLs were obtained from blood donated by healthy volunteers by ficoll hypaque density centrifugation. For HL60 cells and normal PBLs, 1 × 105 cells/well in a 96-well plate were exposed to increasing concentrations of resveratrol (4 μmol/L to 32 μmol/L) for 24 to 48 hours (HL60) or for 24 to 72 hours (PBLs). T47D cells were plated in 96-well plates (2 × 104/well) 24 hours before the addition of resveratrol. Medium was then aspirated and replaced with fresh RPMI 1640 + 10% FBS containing resveratrol for 24 hours. Equal concentration of the vehicle carrier (DMSO) was always present in the control wells. For blocking experiments, tumor cells were preincubated for 1 hour with anti-CD95 (1 μg/mL) or anti- CD95L (1 μg/mL), and in a separate set of experiments with 2.5 μmol/L DEVD-CHO or YVAD-CHO alone or DEVD+YVAD (2.5 μmol/L each) before the addition of 32 μmol/L resveratrol. Mouse IgG1κ was used as isotype control for antibody-blocking experiments. Viability was determined by the MTT assay for HL60 cells and for PBLs, or by the crystal violet assay for T47D cells. For MTT assay, 10 μL of 5 mg/mL of MTT was added to each well and incubated for 4 hours at 37°C. Elution of the precipitate was performed with 200 μL of DMSO + 10 μL of Tris-glycine buffer (0.1 mol/L Tris, 0.1 mol/L Glycine, pH 10.5, with 1N NaOH). Cell viability was calculated from absorption values obtained at 570 nm using an automated enzyme-linked immunosorbent assay (ELISA) reader. For crystal violet assays, medium was aspirated and replaced for 10 minutes with 50 μL of 0.75% crystal violet in 50% ethanol, 0.25% NaCl, and 1.75% formaldehyde solution. Cells were then washed with water, air-dried, and the dye eluted with PBS + 1% sodium dodecyl sulfate (SDS) solution. Cell viability was assessed by dye absorbance measured at 595 nm on an automated ELISA reader.
Phosphatidylserine (PS) translocation and DNA content analyses.
Externalization of inner membrane PS was assessed by the ApoAlert-Annexin V Apoptosis Kit (Clontech) according to the recommended protocol and analyzed by flow cytometry with Coulter Epics Elite ESP flow cytometer (Coulter Corporation, Miami, FL) equipped with a single argon ion laser with the excitation wavelength at 488 nm and the emission set at 525 nm (green). For cellular DNA content determination, 1 × 106 cells/mL were treated with resveratrol as above. Sample preparation and staining with PI for DNA content was performed as described elsewhere.9 Stained cells were analyzed by flow cytometry with the excitation set at 488 nm and emission at 610 nm (red). At least 10,000 events were analyzed.
Determination of caspase activation.
We analyzed caspase-specific cleavage of poly (ADP-ribose) polymerase (PARP) in lysates of tumor cells treated with resveratrol. Lysates of HL60 cells (2 × 106) were prepared in sample buffer (62.5 mmol/L Tris/HCl, pH 6.8; 6 mol/L urea; 10% glycerol; 2% SDS; 0.00125% bromophenol blue; 5% β-mercaptoethanol) following overnight exposure to resveratrol (8 to 32 μmol/L). Following 10% polyacrylamide gel electrophoresis (PAGE) and transfer to nitro-cellulose, membranes were blocked overnight with 5% dry milk in Tris buffered saline containing Tween 20 (TBST) (50 mmol/L Tris/HCl, pH 7.4; 150 mmol/L NaCl; 0.1% Tween 20). Blocked membranes were exposed to anti-PARP antibody (1:10,000 dilution) for 2 hours at room temperature, washed 3 times with TBST, and incubated with 1:10,000 dilution of anti-mouse IgG-HRP conjugate supplied as 0.8 mg/mL (Pierce, Rockford, IL) for 1 hour and washed 3 times with TBST. Chemiluminescence was detected using the SuperSignal Substrate Western Blotting Kit (Pierce).
Immunofluorescence for CD95 and CD95L.
Immunofluorescence staining for CD95 and CD95L was performed as described elsewhere.10 Briefly, HL60, T47D cells, and normal human PBLs (1 × 106) were treated with resveratrol (32 μmol/L), washed twice with phosphate-buffered saline (PBS) + 1% FBS, and fixed in 1 mL of 4% paraformaldehyde for 15 minutes on ice. After a wash with PBS, cells were permeablized in ethanol for 1 hour on ice, washed with PBS, and incubated with 1 μg of anti-CD95 or anti-CD95L for 30 minutes on ice. Following another wash with PBS + 1% FBS, samples were exposed to FITC-conjugated goat anti-mouse IgG for 30 minutes, washed, and resuspended in 0.5 mL of 2% paraformaldehyde. Mouse IgG1κ was used as isotype control. Viable cells were gated on forward side scatter analysis, and a total of 10,000 events were analyzed by flow cytometry using an emission wavelength of 525 nm.
Reverse transcription polymerase chain reaction (RT-PCR) for CD95L expression.
Total RNA was extracted from HL60 cells (10 × 106) following incubation with 32 μmol/L resveratrol for 0, 4, 8, and 20 hours using TRIZOL reagent (GIBCO-BRL, Gaithesburg, MD) according to the manufacturer's recommendations. First-strand cDNA synthesis was performed with 5 μg of each RNA using oligo dT primers. Two hundred units of Superscript reverse transcriptase (GIBCO-BRL) were used per reaction (total volume 20 μL), and incubation was performed at 42°C for 50 minutes followed by denaturation at 70°C for 10 minutes. PCR amplification was then performed using 3 μL of the reversed transcribed cDNA using CD95L-specific primers (sense: 5′ATGCAGCAGCCCTTCAAT and antisense: 5′CTTCACTCCACAAAGCAGGAC) generating a product of 524 bp. PCR was performed using a thermocycler (M J Research Inc, Watertown, MA) withReady to Go PCR beads (Pharmacia Biotech, Uppsala, Sweden). An initial step of 94°C for 2 minutes was followed by 34 cycles of 94°C for 30 seconds, 56°C for 45 seconds, and 68°C for 1 minute. A final extension step at 68°C for 8 minutes was then performed and the product was visualized on a 1.5% agarose gel. β-actin amplification using the same cDNAs and PCR conditions was performed using primers (sense: 5′ATGGATGATGATATCGCCGCG and antisense: 5′CTAGAAGCATTTGCGGTGGAC) as a control.
RESULTS AND DISCUSSION
Resveratrol induces caspase-mediated apoptosis in HL60 cells.
HL60 cells were exposed to increasing concentrations (4 to 32 μmol/L) of commercially available resveratrol (trans resveratrol) for 24 to 48 hours. Our results show a dose-dependent increase in tumor cell mortality with greater than 80% cell death by 48 hours (Fig 1). To investigate the mode of cell death induced by resveratrol, we studied three hallmarks of apoptotic commitment, ie, DNA subdiploidy, change in membrane phospholipid asymmetry, and intracellular caspase activation. Analysis of DNA content following resveratrol treatment of HL60 cells indicates an increase in the subdiploid DNA content as shown by the sub-G1 population on cell cycle analysis (Fig 2). This fraction is representative of cells with decreased staining for PI and is an indicator of DNA fragmentation associated with apoptotic cell death.11 Our data also show that HL60 cells treated for 18 hours with 32 μmol/L resveratrol exhibit increase in cell surface expression of inner membrane PS (Fig 2), indicating loss of phospholipid asymmetry. PS externalization is another marker associated with onset of apoptotic cell death in response to a variety of stimuli.12-14Finally, we investigated the role of intracellular caspases,15 homologs of the Caenorhabditis elegans apoptotic inducer CED-3 family16 in apoptotic cell death induced by resveratrol. Apoptotic cells exhibit increased caspase activity detected by cleavage of caspase-specific substrate PARP that occurs at the onset of apoptosis.17-19 Our results indicate a dose-dependent increase in the cleaved PARP fragment (85 kD) upon Western analysis of lysates from resveratrol-treated HL60 cells indicating caspase activation (Fig3A). Furthermore, we show that resveratrol cytotoxicity is significantly inhibited in the presence of either tetrapeptide inhibitor of caspase-3 (DEVD-CHO) or caspase-1 and caspase-1–like proteases (YVAD-CHO), and complete rescue of the cells is obtained when both inhibitors are added together (Fig 3B). These data clearly highlight the role of caspase activation in resveratrol-induced cell death. Taken together, our first set of experiments show that leukemia cells treated with resveratrol exhibit morphological and biochemical hallmarks of apoptotic cell death.
Sensitivity of HL60 cells to resveratrol. HL60 cells were treated with increasing concentrations of resveratrol for 24 and 48 hours, and viability was determined by the MTT assay as described in Materials and Methods. Data shown are representative of at least three independent experiments.
Sensitivity of HL60 cells to resveratrol. HL60 cells were treated with increasing concentrations of resveratrol for 24 and 48 hours, and viability was determined by the MTT assay as described in Materials and Methods. Data shown are representative of at least three independent experiments.
Resveratrol induces DNA fragmentation and loss of membrane phospholipid asymmetry. (A) Flow cytometry analysis of DNA cleavage in resveratrol-treated tumor cells. HL60 cells were treated with 32 μmol/L resveratrol for 18 hours, immediately fixed in ethanol, and stained with PI for DNA content analysis as described in Materials and Methods. Sub-G1 population indicates subdiploid DNA content indicative of apoptotic DNA fragmentation. Data shown are representative of at least three independent experiments. (B) Externalization of membrane PS induced by resveratrol in HL60 cells. 1 × 106 cells were treated with resveratrol for 18 hours, and PS translocation was assessed by staining tumor cells with Annexin V-FITC (1 μg/mL) conjugate. A total of 10,000 events were analyzed by flow cytometry.
Resveratrol induces DNA fragmentation and loss of membrane phospholipid asymmetry. (A) Flow cytometry analysis of DNA cleavage in resveratrol-treated tumor cells. HL60 cells were treated with 32 μmol/L resveratrol for 18 hours, immediately fixed in ethanol, and stained with PI for DNA content analysis as described in Materials and Methods. Sub-G1 population indicates subdiploid DNA content indicative of apoptotic DNA fragmentation. Data shown are representative of at least three independent experiments. (B) Externalization of membrane PS induced by resveratrol in HL60 cells. 1 × 106 cells were treated with resveratrol for 18 hours, and PS translocation was assessed by staining tumor cells with Annexin V-FITC (1 μg/mL) conjugate. A total of 10,000 events were analyzed by flow cytometry.
Caspase-mediated apoptotic cell death induced by resveratrol (A) SDS-PAGE analysis of caspase-specific PARP cleavage in lysates of resveratrol-treated HL60 cells. Tumor cells (2 × 106) were treated with resveratrol (8 to 32 μmol/L) for 24 hours, lysed, subjected to 10% SDS-PAGE, and transferred to nitro-cellulose membranes as described in Materials and Methods. PARP cleavage was detected using a primary monoclonal antibody C-2-10 followed by the secondary HRP-conjugated anti-mouse IgG. Arrows indicate the intact protein of 116 kD and the proteolytic cleaved fragment (85 kD). (B) Inhibition of apoptotic cell death in HL60 cells treated with 32 μmol/L resveratrol for 24 hours in the presence of 2.5 μmol/L caspase inhibitors DEVD-CHO or YVAD-CHO or both. Cytotoxicity was determined by the MTT assay, and data shown are mean ±SD of three independent experiments.
Caspase-mediated apoptotic cell death induced by resveratrol (A) SDS-PAGE analysis of caspase-specific PARP cleavage in lysates of resveratrol-treated HL60 cells. Tumor cells (2 × 106) were treated with resveratrol (8 to 32 μmol/L) for 24 hours, lysed, subjected to 10% SDS-PAGE, and transferred to nitro-cellulose membranes as described in Materials and Methods. PARP cleavage was detected using a primary monoclonal antibody C-2-10 followed by the secondary HRP-conjugated anti-mouse IgG. Arrows indicate the intact protein of 116 kD and the proteolytic cleaved fragment (85 kD). (B) Inhibition of apoptotic cell death in HL60 cells treated with 32 μmol/L resveratrol for 24 hours in the presence of 2.5 μmol/L caspase inhibitors DEVD-CHO or YVAD-CHO or both. Cytotoxicity was determined by the MTT assay, and data shown are mean ±SD of three independent experiments.
Resveratrol enhances CD95L and induces CD95 signaling–dependent apoptosis in HL60 and T47D cells.
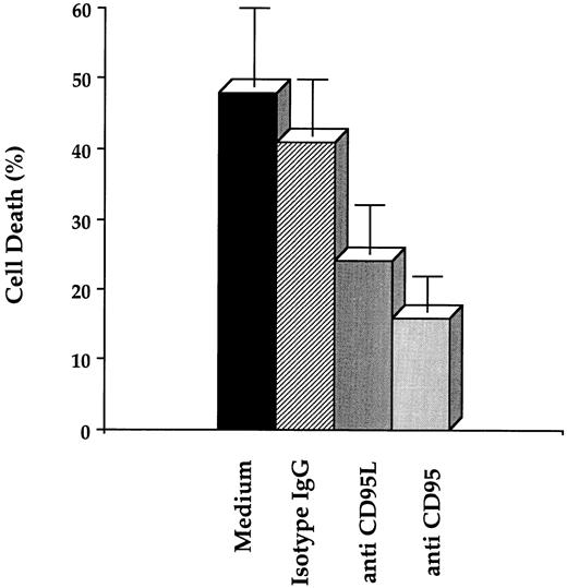
Recent observations have highlighted the role of CD95-CD95L system in chemotherapy-induced apoptosis of tumor cells via upregulation of the CD95 receptor or its ligand CD95L.20-22 Given the fact that HL60 leukemia cells, like many other leukemia cell lines,23express the CD95 receptor, we hypothesized that resveratrol-induced HL60 cell death may also involve the CD95-CD95L system. Indeed, our results show that enhanced CD95L expression is detectable within 12 hours of treatment with resveratrol and is significantly increased at 24 hours following drug exposure (Fig 4). These findings are corroborated by increased expression of CD95L mRNA following exposure to resveratrol (4 to 20 hours), as shown in Fig 4B. On the contrary, CD95 expression is not significantly changed at 12 hours; however, by 24 hours the cells surviving resveratrol cytotoxicity have a CD95low phenotype, suggesting that resveratrol-induced cell death preferentially targets CD95high-expressing cells. Moreover, a comparison of resveratrol-induced CD95L upregulation and cell cytotoxicity reveals that cell death measured by cell cytotoxicity assays coincides with increased expression of CD95L as shown in Fig 4. The specific involvement of CD95-CD95L system in HL60 cell death induced by resveratrol is further supported by significant inhibition of cell death in the presence of either anti-CD95 or anti-CD95L, whereas isotype control antibody has little effect on cell death as shown in Fig 5.
CD95 and CD95L expression following resveratrol treatment of HL60 cells. (A) HL60 cells were treated with 32 μmol/L resveratrol, and surface expression of CD95 and CD95L was analyzed by flow cytometry at 6 hours, 12 hours, and 24 hours as described in Materials and Methods. The shaded histograms are for mouse IgG1κ used as an isotype control, the dotted lines represent nontreated HL60 cells, and the solid lines indicate resveratrol-treated HL60 cells. At least 10,000 events were counted, and data shown are representative of at least three separate experiments. (B) RT-PCR amplification of CD95L and β-actin mRNA following treatment of HL60 cells with 32 μmol/L resveratrol for 0, 4, 8, and 20 hours.
CD95 and CD95L expression following resveratrol treatment of HL60 cells. (A) HL60 cells were treated with 32 μmol/L resveratrol, and surface expression of CD95 and CD95L was analyzed by flow cytometry at 6 hours, 12 hours, and 24 hours as described in Materials and Methods. The shaded histograms are for mouse IgG1κ used as an isotype control, the dotted lines represent nontreated HL60 cells, and the solid lines indicate resveratrol-treated HL60 cells. At least 10,000 events were counted, and data shown are representative of at least three separate experiments. (B) RT-PCR amplification of CD95L and β-actin mRNA following treatment of HL60 cells with 32 μmol/L resveratrol for 0, 4, 8, and 20 hours.
Resveratrol-induced tumor cell death is dependent on CD95-CD95L interaction. HL60 cells were preincubated for 1 hour with either anti-CD95 (1 μg/mL) or anti-CD95L (1 μg/mL) before the addition of 32 μmol/L resveratrol. Cell viability was determined following 24 hours incubation by the MTT assay, and data shown are mean ±SD of three independent experiments.
Resveratrol-induced tumor cell death is dependent on CD95-CD95L interaction. HL60 cells were preincubated for 1 hour with either anti-CD95 (1 μg/mL) or anti-CD95L (1 μg/mL) before the addition of 32 μmol/L resveratrol. Cell viability was determined following 24 hours incubation by the MTT assay, and data shown are mean ±SD of three independent experiments.
To ascertain if resveratrol-mediated CD95-dependent apoptosis was a general phenomenon or if it was exclusive for leukemia cells, we investigated the effect of resveratrol on a solid tumor model, ie, T47D breast carcinoma cell line. Similar to HL60 cells, T47D cells constitutively express the CD95 receptor but not the CD95L. However, our data show that following 18 hours of exposure to resveratrol there is a significant increase in cell surface expression of CD95L, whereas CD95 expression essentially remains unchanged (Fig 6A). Concomitantly, 37% of resveratrol-treated (32 μmol/L) T47D cells undergo cell death, which is completely inhibited in the presence of anti-CD95 antibody (Fig 6B). These data show that CD95-signaling–dependent apoptosis triggered by resveratrol is not exclusive for human leukemia cells and further highlight the specific involvement of the CD95-CD95L system in tumor cell death induced by resveratrol.
Resveratrol enhances CD95L expression and induces CD95 signaling–dependent cell death in T47D cells. (A) T47D cells were treated with 32 μmol/L resveratrol for 18 hours, and surface expression of CD95 and CD95L was analyzed by flow cytometry as described in Materials and Methods. The shaded histograms are for mouse IgG1κ used as an isotype control, the dotted lines represent nontreated T47D cells, and the solid lines indicate resveratrol-treated T47D cells. At least 10,000 events were counted, and data shown are representative of at least three separate experiments. (B) T47D cells were treated for 24 hours with 32 μmol/L resveratrol alone (medium) or in the presence of 1 μg/mL of anti-CD95 (anti-CD95) or IgG1κ (isotype Ig) antibody. Cell viability was determined by the crystal violet assay, and data shown are mean ±SD of three independent experiments.
Resveratrol enhances CD95L expression and induces CD95 signaling–dependent cell death in T47D cells. (A) T47D cells were treated with 32 μmol/L resveratrol for 18 hours, and surface expression of CD95 and CD95L was analyzed by flow cytometry as described in Materials and Methods. The shaded histograms are for mouse IgG1κ used as an isotype control, the dotted lines represent nontreated T47D cells, and the solid lines indicate resveratrol-treated T47D cells. At least 10,000 events were counted, and data shown are representative of at least three separate experiments. (B) T47D cells were treated for 24 hours with 32 μmol/L resveratrol alone (medium) or in the presence of 1 μg/mL of anti-CD95 (anti-CD95) or IgG1κ (isotype Ig) antibody. Cell viability was determined by the crystal violet assay, and data shown are mean ±SD of three independent experiments.
Resveratrol does not affect survival of normal human PBLs.
Triggered by our findings on the antitumor activity of resveratrol, we next investigated the effect of resveratrol treatment on normal human PBLs. Our data show that resveratrol has minimal toxicity to normal human PBLs for up to 72 hours as shown in Fig 7A. Moreover, normal human PBLs that express basal levels of CD9524 and CD95L25 do not significantly undergo change in surface expression of either CD95 or CD95L following resveratrol exposure for up to 72 hours (Fig 7B). In a separate set of experiments, PBLs were activated with phytohemaglutinin (PHA) in the presence or absence of resveratrol (up to 32 μmol/L) for 72 hours. No acceleration of activation-induced cell death was observed as compared with PHA-activated cells alone (data not shown). The inability of resveratrol to induce cell death in normal human PBLs, unlike HL60 and T47D cells, could then be explained by the failure of resveratrol to upregulate CD95L, thereby preventing CD95-CD95L interaction in normal PBLs. These results show that resveratrol-induced cell death is tumor specific and further support the involvement of CD95-CD95L system as the apoptotic trigger.
Effect of resveratrol on normal human PBL survival and cell surface expression of CD95 and CD95L. (A) Normal human PBLs were treated with resveratrol (8 to 32 μmol/L) for 24 and 72 hours as described in Materials and Methods. Cell viability was determined by the MTT assay and represents three independent observations. (B) Flow cytometry analysis of CD95 and CD95L expression on normal human PBLs was performed as for HL60 cells, except that PBLs were analyzed for 12, 24, and 72 hours. The shaded histograms are for mouse IgG1κ used as an isotype control, the dotted lines represent nontreated PBLs, and the solid lines indicate resveratrol-treated PBLs. At least 10,000 events were counted, and data shown are representative of at least three separate experiments.
Effect of resveratrol on normal human PBL survival and cell surface expression of CD95 and CD95L. (A) Normal human PBLs were treated with resveratrol (8 to 32 μmol/L) for 24 and 72 hours as described in Materials and Methods. Cell viability was determined by the MTT assay and represents three independent observations. (B) Flow cytometry analysis of CD95 and CD95L expression on normal human PBLs was performed as for HL60 cells, except that PBLs were analyzed for 12, 24, and 72 hours. The shaded histograms are for mouse IgG1κ used as an isotype control, the dotted lines represent nontreated PBLs, and the solid lines indicate resveratrol-treated PBLs. At least 10,000 events were counted, and data shown are representative of at least three separate experiments.
The selective targeting of human tumor cell lines by resveratrol is extremely interesting, especially in the context of a recent report on the chemopreventive activity of this natural product in murine models of skin tumors.8 Our findings suggest a basis for the observed inhibition of tumor formation in these animals. The chemopreventive activity of resveratrol could be explained by the induction of CD95-dependent apoptotic cell death in tumor cells, resulting in inhibition of tumor initiation and progression. Several recent communications have highlighted the role of the CD95-CD95L system in drug-induced or immune-mediated clearance of tumor cells,20-23,26,27 suggesting that the fate of antitumor therapy might be determined by the balance between CD95 and CD95L expression on tumor cells and on immune cells. Once triggered, the CD95 receptor can then activate a series of intracellular events culminating in the death cascade composed of intracellular caspases.28 29 These observations have led to the suggestion that autocrine and/or paracrine CD95/CD95L-mediated signaling might be one critical event in drug-induced tumor cell death. Our observations show that resveratrol treatment provides the critical level of expression of the CD95-CD95L system on tumor cells sufficient to trigger intracellular apoptotic cascade. In addition, the inability of resveratrol to induce CD95-mediated cell death in normal PBLs further supports the specific involvement of the CD95-CD95L system in resveratrol-induced tumor cell death. Resveratrol-induced enhancement of CD95L on CD95+ tumor cells constitutes an effective system for the induction of tumor suicide without nonspecific toxicity to the normal PBLs. However, to extrapolate our in vitro findings to in vivo chemoprevention, more studies need to be performed to determine the stability, half-life, and biologically significant concentrations of resveratrol needed to activate the apoptotic pathway in vivo. Nevertheless, these data provide evidence that this natural chemopreventive agent, not known for its chemotherapeutic potential, also fulfils two basic criteria for an effective therapeutic agent, ie, tumor specificity and minimal toxicity to the normal hematopoietic cells. Taken together, our findings strongly suggest that resveratrol merits further investigation as a cancer chemopreventive as well as a chemotherapeutic agent in humans.
ACKNOWLEDGMENT
The authors acknowledge the technical assistance of Christopher Loh, Bee Ling Ng, and Kameedea Appleton.
Supported by Grant No. 970333 from the National University of Singapore.
Address reprint requests to Shazib Pervaiz, MD, PhD, Department of Physiology, Faculty of Medicine, National University of Singapore, 10 Kent Ridge Crescent, Singapore 119260.
The publication costs of this article were defrayed in part by page charge payment. This article must therefore be hereby marked "advertisement" is accordance with 18 U.S.C. section 1734 solely to indicate this fact.









