Abstract
Effective therapy of high-risk leukemia with established cytotoxic drugs may be limited by poor antitumor efficacy, systemic toxicity, and the induction of drug resistance. Here, we provide the first evidence that hydrolytically activated prodrugs may overcome these problems. For this purpose, VP16 was functionally blocked by hydrolytically cleavable carbonate linkers with unique characteristics to generate 2 novel prodrugs of VP16. First, we established a more than 3-log higher efficacy of the 2 prodrugs compared with VP16 on a panel of naturally drug-resistant tumor cell lines. Second, the prodrugs did overcome VP16-induced multidrug resistance-1 gene (MDR-1)—mediated multidrug resistance in vitro in a newly established VP16-resistant T-cell leukemia cell line MOVP-3 by functionally blocking MDR-1—mediated efflux. Third, in vivo studies showed a maximum tolerated dose of ProVP16-II (> 45mg/kg), which was at least 3-fold higher than that of VP16 (15 mg/kg). Finally, tests of ProVP16-II in a multidrug-resistant xenograft model of T-cell leukemia expressing MDR-1 indicated that only the mice treated with this prodrug revealed a complete and long-lasting regression of established, drug-resistant leukemia. In summary, the hydrolytically activated etoposide prodrugs proved effective against multidrug-resistant T-cell leukemia in vitro and in vivo and provide proof of concept for a highly promising new strategy for the treatment of MDR-1 drug-resistant malignancies. (Blood. 2003;102:246-253)
Introduction
One of the major challenges for successful chemotherapy in cancer, in general, and high-risk leukemia, in particular, is to overcome multidrug resistance. The majority of patients initially respond to treatment with combinations of various chemotherapeutic agents. However, polychemotherapy may induce multidrug-resistant (MDR) cell clones that continue to proliferate in the presence of cytotoxic agents.1 The reduction of chemosensitivity in such cell clones would require the administration of cytostatic agents in quantities exceeding the maximum tolerated dose in vivo. One of the best-characterized resistance mechanisms in leukemias and carcinomas is the extrusion of the drug mediated by p-glycoprotein, the product of the multidrug resistance-1 gene (MDR-1), which has been shown to be associated with poor outcome.2-4 In a recent report, the presence of MDR1 at the time of diagnosis in adult acute lymphoblastic leukemia (ALL) was associated with a highly significant lower ratio of complete remissions achieved following chemotherapy (53.5%) in contrast to MDR1-negative patients (79.6%).2
A variety of strategies have been developed to avoid or circumvent drug resistance since the introduction of polychemotherapy. Efforts to overcome established drug resistance in patients focus on (1) scheduling, that is, prolonged low-dose therapy such as antifolates in relapsed leukemia or short-term high-dose administration (eg, antifolates with subsequent folate rescue in osteosarcoma), (2) combination therapy with chemical sensitizers such as MDR-1 inhibitors in the case of MDR-mediated resistance, and (3) combination of chemotherapy with nonchemical sensitizers such as radiotherapy, hyperthermia, or hyperbaric oxygen.1,5,6 Only a few attempts have been made to directly modify the cytostatic agent in order to find analogues that actively evade drug resistance mechanisms. Hydroxyrubicin, a deaminated doxorubicin analog was reported to be 20-fold more cytotoxic against MDR-resistant epidermoid carcinoma cells KB-V1 in contrast to sensitive parental cells. Further in vitro analyses revealed that hydroxyrubicin partially circumvents MDR without changing topoisomerase II inhibition, but reducing the potency of the drug to induce DNA single-strand breaks.7 A second report on 4′-beta-amino derivatives of etoposide demonstrated an improved structure activity profile of the new compounds against MDR-1—expressing cell lines.8,9 However, the mechanism of the effects observed remained unclear and in vivo data were not provided. Based on these reports it appears that possible solutions to MDR-related treatment failures may include the rational design of drugs that are not affected by MDR mechanisms and exhibit reduced systemic toxicity and increased antitumor potency in vivo. In order to achieve this goal, we chose to design a molecular prodrug based on etoposide involving hydrolytic activation.
Resistance against etoposide occurs at distinct cellular levels, involving up-regulation of the target enzyme topoisomerase II, down-regulation of either pro- or up-regulation of antiapoptotic mechanisms such as bcl-2, and increased metabolism and/or extrusion of the drug from the cell mediated by transport systems. The induction of such transport systems frequently leads to cross resistance against other cytostatic agents, as observed for MDR-1—, multidrug resistance related protein (MRP)—, or leukemia resistance protein (LRP)—mediated multidrug resistance.10-12 A major mechanism of drug resistance, documented to occur in hematologic malignancies, is the overexpression of the MDR-1 gene product P-glycoprotein. Therefore, attempts to overcome transport system—mediated drug resistance focused thus far mainly on modulation of MDR-1 expression13 or coadministration of MDR-1 inhibitors such as cyclosporin,14 verapamil,15 or valspodar,16 all of which revealed limited efficacy in vitro and in vivo. These membrane transport proteins extrude a surprisingly wide range of substrates with entirely different structures, possibly because of the fact that common metabolites such as glucuronide, glutathione, or sulfate rather than the different cytotoxic drugs are specifically recognized.17 Therefore, some of these resistance mechanisms resemble the ubiquitin system, where a plethora of entirely different proteins are “tagged” with ubiquitins in order to be first recognized and then degraded by proteasomes. Thus, drug modifications that interfere with molecular “tagging” result in new molecules that may not be cleared from multidrug-resistant tumor cells.
In order to create hydrolytically activated prodrugs of etoposide VP16 as inactive precursor molecules that are activated by hydrolysis, we synthesized derivatives of the 4′ phenolic hydroxy group. We demonstrated in a previous study that this 4′ phenolic hydroxy group is very important for the cytotoxic activity of etoposide since a stable linker fused to that OH group decreased cytotoxicity by more than 2 logs.18 Therefore, the rational design of these hydrolytically activated prodrugs of VP16 involves the modification of the chemically reactive 4′ phenolic hydroxy group, which specifically tailors a desired effect.
Here we report the rational design of 2 hydrolytically activated prodrugs of etoposide, which retain full antitumor activity against multidrug-resistant tumor cells in vitro and in vivo. A possible mechanism involved is inhibition of MDR-1 function.
Materials and methods
Materials
XTT (2,3-bis(2-methoxy-4-nitro-5-sulfophenyl)-5-[(phenylamino)carbonyl]-2H-tetrazolium hydroxide), VP16, solketal, organic solvents, and phenazine methosulfate (PMS) were obtained from Sigma-Aldrich (Deisenhofen, Germany). Cell culture reagents, restriction enzymes, and other molecular biology reagents were from Life Technologies (Karlsruhe, Germany). Determination of MDR-1 protein expression was accomplished using UIC2 monocloncal antibody19 kindly provided by Dr I. Roninson, Department of Molecular Genetics, University of Illinois (Chicago).
Cells
Tumor cell lines were grown in RPMI with 10% fetal calf serum (FCS) (Nalm-6, Reh, Molt-3, Jurkat, HL-60, K562, HeLa, CEM, A2780, SW480) or Dulbecco modified Eagle medium (DMEM) and 10% FCS (NXS2, SK-N-SH, HT-29) in the presence of 100 IU/mL penicillin/streptomycin and propagated under standard tissue-culture conditions (5% CO2, 37°C). All cell lines were obtained from American Type Culture Collection (ATCC, Rockville, MD) except NXS2, which was previously described,20 and VCR100, ADR5000, and A2780, which were kindly provided by James Beck (Greifswald, Germany).21,22 Molt-3 cells were used to generate an etoposide-resistant subline MOVP-3 by continuous exposure to increasing amounts of VP16. After a time period of 6 months, MOVP-3 cells were stable and propagated in the presence of 1 μM VP16 and used for further in vitro and in vivo experiments.
Mice
Female A/J mice and FOX CHASE C.B-17/lcrCrl-scid BR mice were obtained at 8 weeks of age from Charles River Laboratories (Sulzfeld, Germany). They were housed in the pathogen-free mouse colony at our institution in groups of 8 mice. Mice were fed ad libitum on standard mouse laboratory chow. Animal experiments were performed according to the German guide for the care and use of laboratory animals (ie, Tierschutzgesetz).
Synthesis and analytical chemistry of proetoposides
The synthesis of proetoposides, proof of structure, and the methods of analysis by high pressure liquid chromatography (HPLC) have been previously reported.23 Briefly, ProVP16-I was prepared from 1.2 mmol etoposide (Sigma-Aldrich) dissolved in 50 mL dry chloromethane. The solution was cooled to - 10°C. Then, 1.2 mmol of dry pyridine was added. The solution was stirred for 5 minutes and a stoichiometric amount of solketal chloroformate (Sigma-Aldrich) in 5 mL dry dichloromethane was added dropwise over a period of 15 minutes. The reaction was continued for one hour and ProVP16-I was purified by preparative HPLC. The purified product gave a single HPLC peak with a purity of 98.5% (C18 reverse-phase column, mobile phase: 50% acetonitrile-water, flow rate: 1 mL/min). ProVP16-II was prepared from a tetrahydrofuran solution of ProVP16-I by the addition of 2 N HCl and reacting for 2 hours at ambient temperature. Workup consisted of washing with brine, drying over magnesium sulfate, reducing the volume to 25% of the reaction volume, and purification via HPLC under the conditions given for ProVP16-I. The structure of the proetoposides was confirmed by nuclear magnetic resonance (NMR) and mass spectrometry.
Analytical chemistry of proetoposides
The interconversion of proetoposides and subsequent generation of etoposide in various buffers was determined by HPLC. For this purpose, a Waters dual pump HPLC unit (Model 715 Ultra Wisp; Waters, Milford, MA) with a multiwavelength detector was used. Separation of etoposide and ProVP16-I and -II was accomplished on a C18 reverse-phase analytical column ODS-80TM (TosoHaas GmbH, Stuttgart, Germany) at a flow rate of 0.5 mL/min with the detector set at frequencies of 230 and 280 nm. Conversion of ProVP16-I into -II was followed by periodic injection of 10-μL samples (1 μM) using an eluent of 80:20 (vol/vol) acetonitrile-water. As shown in Figure 2, specific peaks for each compound with retention times of 8.0 minutes (ProVP16-I) and 5.8 minutes (ProVP16-II) were obtained. For the release of VP16 from ProVP16-I and -II in various buffers (phosphate-buffered saline [PBS], pH 3.1-10.5) an eluent of 50:50 (vol/vol) acetonitrile-water was used, resulting in specific peaks for each compound with retention times of 7.4 (VP16), 15.7 (ProVP16-I), and 6.8 minutes (ProVP16-II). Relative amounts for each compound were calculated from the areas under the peak and given in percent.
Conversion of ProVP16-I to ProVP16-II and VP16. ProVP16-I was incubated in THF/2% HCl, and samples were periodically analyzed by HPLC at the indicated time points (A). Hydrolytic activation of ProVP16-II was determined in PBS at the pH levels indicated (B). ProVP16-I (3 mM) was incubated in PBS solutions and samples were periodically analyzed by HPLC. The percent conversion was calculated from areas under the curve determined by peak integration.
Conversion of ProVP16-I to ProVP16-II and VP16. ProVP16-I was incubated in THF/2% HCl, and samples were periodically analyzed by HPLC at the indicated time points (A). Hydrolytic activation of ProVP16-II was determined in PBS at the pH levels indicated (B). ProVP16-I (3 mM) was incubated in PBS solutions and samples were periodically analyzed by HPLC. The percent conversion was calculated from areas under the curve determined by peak integration.
RNA isolation, reverse transcription, and polymerase chain reaction (PCR) amplification
Isolation of total cellular RNA and cDNA synthesis was previously described.20 The amplification of human MDR-1 was done with sense 5′-GGA GAG ATC CTC ACC AAG CG-3′ and antisense 5′-GTT GCC AAC CAT AGA TGAAGG-3′ for 35 cycles (15 seconds, 96°C; 30 seconds, 60°C; 90 seconds, 72°C) leading to a 229-bp fragment designated MDR-1. High sensitivity detection was achieved by nested amplification of 1.0 μL MDR-1 after 21 cycles using sense 5′-GCT CAG ACA GGA TGT GAG TT-3′ and antisense 5′-CTG GGT AAT TAC AGC AAG CC-3′ for 30 cycles to create a 127-bp fragment. The cDNA integrity was tested by amplification of glycerol-aldehyde-phosphate-dehydrogenase (GAPDH) with sense 5′-CGG GAA GCT TGT GAT CAA TGG-3′ and antisense 5′-GGC AGT GAT GGC ATG GAC TG-3′ for 25 cycles leading to a 358-bp fragment. The amplification of topoisomerases I (302 bp), IIα (322 bp), IIβ (304 bp), MRP (326 bp), LRP (279 bp), and bax (388 bp) was performed as previously described.21,24,25 The specificity of all fragments was verified by sequencing.
Functional JC-1 assay
For staining, cells were washed twice and resuspended in PBS containing JC-1 monomer, as previously described.26 Briefly, 0.1 μM JC-1 monomer was incubated at 37°C for 15 minutes with 5 × 105 cells/mL and incubated in the presence and absence of etoposide and ProVP16-I and -II (1 × 10-6 to 1 × 10-3 M) in PBS (pH 6.5). Samples incubated with 2 μM cyclosporin A were used as positive controls (data not shown). Cell fluorescence was recorded using a FACSort flow cytometer (Becton Dickinson, Bedford, MA) and JC-1 signals were detected on the FL1-channel (530-nm filter) for analysis of the dye monomer.
Transfection of MDR-1
The MDR-1 cDNA was kindly provided in a pUC-based plasmid by C. Baum (University of Hamburg). For mammalian expression, the MDR-1 cDNA was cloned into the bicistronic eukaryotic expression plasmid pIRESpuro using NotI and BamHI restriction sites. pMDR-IRESpuro was transfected into Molt-3 cells by electroporation (960 μF, 250 V). Stable transfectants were selected with 300 ng/mL puromycin. MDR-1 expression was determined by fluorescence activated cell sorting (FACS) analysis (FACS-calibur, Becton Dickinson) using 1 μg/mL MDR-1—specific monoclonal antibody (mAb; C. Baum).
Cytotoxicity assay
Cytotoxicity was determined by the XTT tetrazolium/formazan assay as previously described.27 Briefly, cells were seeded in 96—flat bottom well plates at a density of 104/well in 100 μL media and exposed to drug concentrations ranging from 10-4 to 10-12 M. At the indicated time points (6-72 hours), cell viability was assessed by adding 50 μL XTT reagent (1 mg/mL in serum-free RPMI) activated with 0.2% vol/vol PMS (1.53 mg/mL in PBS) incubated at 37°C for 4 hours. Plates were analyzed in a Thermomax (ThermoLife Sciences, Engelsbach, Germany) microplate reader at 450 nm. Optical density (OD) values were plotted as a function of drug concentration, and the curves were integrated using Softmax software to obtain the drug concentration at 50% cytotoxicity (IC50) values.
Cell-cycle analysis
Distinct phases of the cell cycle were determined in a standard assay using propidium iodide. Briefly, cells were seeded in 24-well plates (105/well) and incubated with VP16 or ProVP16-I and -II. At indicated time points, cells were harvested and fixed in 4.5 mL ethanol (75%, - 20°C) for at least 12 hours (4°C). Cells were washed in PBS (pH 7.4), resuspended in 250 μL PBS containing RNAse (0.3 mg/mL) and propidium iodide (50 μg/mL), and incubated in the dark (30 minutes, room temperature [RT]). The DNA histograms defining distinct phases of the cell cycle were subsequently determined in duplicates by FACS analysis and average results were expressed as percent.
Toxicity studies in mice
Stock solutions of 10 mM etoposide and proetoposide were prepared in 50:50 vol/vol cremophor-ethanol, and diluted to the final concentration in PBS (pH 7.4). A/J mice, 8 to 10 weeks of age were injected intraperitoneally with 20 mg/kg or 60 mg/kg of either etoposide or proetoposide, or with solvent control (25% dimethyl sulfoxide [DMSO], 12.5% ethanol, 12.5% cremophor, 50% PBS), on days 1, 3, 5, 7, 9, and 11. VP16 (60 mg/kg) was injected only on days 1, 3, and 5. Body weights and survival were monitored over time.
Antitumor effect in a T-cell leukemia xenograft model
Primary tumors were induced by injection of 5 × 106 MOVP 3 cells in 100 μL PBS (pH 7.4) into the skin of the left lateral flank of each severe combined immunodeficiency (SCID) mouse. Established primary tumors were palpable 55 days after injection. Mice (n = 8) were treated by intraperitoneal injection of solvent (25% DMSO, 12.5% ethanol, 12.5% cremophor, 50% PBS), VP16 (15 mg/kg), and ProVP16-II (15 and 45 mg/kg) in a total volume of 200 μL. Each mouse received a total of 7 injections on days 55, 57, 59, 69, 71, 87, and 90 after tumor cell inoculation. Primary tumor size was determined over time by microcaliper measurements, and volumes were calculated according to ½ × width2 × length. Body weight was determined on a standard digital scale.
Statistics
The statistical significance of differential findings between experimental groups of animals was determined by 2-tailed Student t test. Findings were regarded as significant if 2-tailed P values were less than .01.
Results
Chemistry of etoposide prodrug activation
In order to establish that ProVP16-I and II are indeed prodrugs, we first determined their activation characteristics in vitro by HPLC (Figures 1, 2). Conversion of ProVP16-I into ProVP16-II and subsequent release of VP16 follows a 2-step activation mechanism (Figure 1). First, ProVP16-I converts to ProVP16-II with the elimination of 2,2-dihydroxypropane within 2 hours with some degradation (about 10%) of the glycoside moiety under acid conditions (THF, 2 N HCL) (Figure 2A).
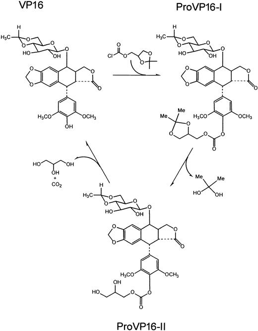
Scheme of synthesis and activation of ProVP16-I and -II. The synthesis of ProVP16-I involves the reaction of solketal chloroformate and VP16. ProVP16-II is synthesized from ProVP16-I by acid hydrolysis with the elimination of 2,2 dihydroxypropane. The activation of ProVP16-II to VP16 occurs with the elimination of glycerol and carbon dioxide.
Scheme of synthesis and activation of ProVP16-I and -II. The synthesis of ProVP16-I involves the reaction of solketal chloroformate and VP16. ProVP16-II is synthesized from ProVP16-I by acid hydrolysis with the elimination of 2,2 dihydroxypropane. The activation of ProVP16-II to VP16 occurs with the elimination of glycerol and carbon dioxide.
Second, ProVP16-II hydrolyzes into VP16 under basic pH conditions with the elimination of glycerine (Figures 1,2B). In all experiments, conversion-time curves exhibited first-order kinetics. Importantly, under physiologic buffer conditions (PBS, pH 7.4, 37°C), ProVP16-II is stable with a conversion rate of less than 5% in 5 up to 18 hours. ProVP16-I is completely stable with no measurable conversion in PBS (pH 7.4, 37°C), and in contrast to ProVP16-II, it is inert also under basic buffer conditions (pH ≤ 10.0). This unusual hydrolytic stability of ProVP16-I is attributed to the hydrophobic nature of the entire southern region of this molecule and, to a lesser extent, also to steric hindrance from the 2 ortho methoxy groups surrounding the carbonate moiety. Activation of ProVP16-I and -II occurs in the presence of serum with conversion half-lives of 750.8 minutes and 56.1 minute, respectively. Porcine liver carboxyl esterase also mediated conversion of ProVP16-I and -II into VP16 with conversion half-lives of 14.2 minutes and 514.1 minutes, respectively. These findings clearly indicate enzymatic prodrug activation at pH 7.4 by carboxyl esterases.
Activity of ProVP16-I and -II against leukemia and cancer cell lines
The cytotoxicity of these 2 proetoposides was tested against a panel of tumor cell lines using the XTT vital stain antiproliferation assay (Figure 3A). For the majority of human tumor cell lines tested, both proetoposides were substantially more active than the parent compound with IC50 values 1000-fold lower with SW480 colon carcinoma; 100- to 1000-fold lower with HT-29 colon carcinoma, ADR5000 ovarian carcinoma, and HL-60 acute myeloic leukemia; 10- to 100-fold lower with HeLa cervical carcinoma, A2780 ovarian carcinoma, K562 chronic myeloid leukemia, Jurkat T-cell leukemia, and SK-N-SH neuroblastoma; and 2- to 10-fold lower with Molt-3 T-cell leukemia, Reh and Nalm-6 pre-B-cell leukemia, VCR100 T-lymphoblastic leukemia, and CEM T-lymphoblastic leukemia cells. Only 3 cell lines, NXS2 murine neuroblastoma (Figure 3A), CHO Chinese hamster ovary, and Hamms human colon carcinoma cells, responded equally well to etoposide and proetoposides. There were 2 cell lines, the doxorubicin-resistant ADR5000 and the vincristine-resistant VCR100, both with amplified MDR-1 expression, that revealed a higher cytotoxic potential for both proetoposides than for the nonresistant parental cell lines A2780 and CEM. The time course of cytotoxic action of ProVP16-I was followed by using Molt-3 T-cell leukemia cells (Figure 3B). The results indicate a delayed onset of cytotoxic activity by ProVP16-I, starting after 24 hours of incubation. At that time point, the cytotoxic effect of parental VP16 was already almost completely established. The cytotoxic effect of ProVP16-I was completed 48 to 72 hours after incubation (IC50 1.0 × 10-8 M) and exceeded that of VP16 (IC50 6.5 × 10-8 M). Similar results were observed with ProVP16-II (data not shown). These findings indicate a slow release mechanism of cytotoxic activity from ProVP16-I and -II consistent with the prodrug concept.
Cytotoxicity profiles for ProVP16-I and -II compared with VP16. The cytotoxic effect of ProVP16-I and -II was evaluated against a panel of cell lines by triplicate determinations of IC50 concentrations for both prodrugs against each cell line indicated (A). The cytotoxicity mediated by the prodrugs relative to VP16 was calculated according to IC50 VP16 ÷ IC50 ProVP16-I or -II. Bars represent mean values ± SD. The differences between ProVP16-I or -II and VP16 were statistically significant (P < .01) for all cell lines except NXS2. Asterisks indicate cell lines with amplified MDR-1 expression. The slow release kinetics of cytotoxicity by hydrolytically activated ProVP16-I was determined using Molt-3 cells (B). In 96-well plates, 104 cells per well were incubated with increasing concentrations (10-10 M to 10-6M) of ProVP16-I and VP16. At the time points indicated, cell viability was determined in triplicate by the XTT assay as described in “Materials and methods.” Percent cell viability was calculated from optical density measurements at 450 nm according to OD 450sample ÷ OD 450untreated × 100%. Results were plotted as a semilogarithmic function of drug concentration.
Cytotoxicity profiles for ProVP16-I and -II compared with VP16. The cytotoxic effect of ProVP16-I and -II was evaluated against a panel of cell lines by triplicate determinations of IC50 concentrations for both prodrugs against each cell line indicated (A). The cytotoxicity mediated by the prodrugs relative to VP16 was calculated according to IC50 VP16 ÷ IC50 ProVP16-I or -II. Bars represent mean values ± SD. The differences between ProVP16-I or -II and VP16 were statistically significant (P < .01) for all cell lines except NXS2. Asterisks indicate cell lines with amplified MDR-1 expression. The slow release kinetics of cytotoxicity by hydrolytically activated ProVP16-I was determined using Molt-3 cells (B). In 96-well plates, 104 cells per well were incubated with increasing concentrations (10-10 M to 10-6M) of ProVP16-I and VP16. At the time points indicated, cell viability was determined in triplicate by the XTT assay as described in “Materials and methods.” Percent cell viability was calculated from optical density measurements at 450 nm according to OD 450sample ÷ OD 450untreated × 100%. Results were plotted as a semilogarithmic function of drug concentration.
Effect of ProVP16-I and -II on multidrug-resistant cells
Based on the finding that ProVP16-I and -II are also more effective than VP16 in natural MDR-expressing cell lines (Figure 3), we addressed the question of whether these prodrugs could overcome artificial MDR in vitro. For this purpose, the MDR-1—negative cell line Molt-3 was used to generate a resistant subclone MOVP-3 (Figures 4, 5).
Characterization of multidrug-resistant MOVP-3 cells. The newly generated VP16-resistant MOVP-3 cell line was analyzed for MDR-1 gene expression (A) and MDR-1 protein expression on the cell surface (B). MDR-1 gene expression was determined by RT-PCR analysis on total RNA isolated from MOVP-3 and Molt-3 cells, respectively (A). Expression of GAPDH was used as a control for the integrity of the cDNA. MDR-1 protein expression on MOVP-3 cells was determined by FACS analysis using 1 μg UIC2 primary antibody per 106 cells and compared with Molt-3 parental cells (B). The gene expression of other resistance mechanisms was determined by RT-PCR (C). Results obtained with Molt-3 cells (top) were compared with MOVP-3 cells (bottom). Lane 1 indicates 100-bp marker; 2, GAPDH; 3, MDR-1; 4, MRP; 5, LRP; 6, bax; 7, Topo I; 8, Topo IIα; 9, Topo IIβ; and 10, 100-bp marker.
Characterization of multidrug-resistant MOVP-3 cells. The newly generated VP16-resistant MOVP-3 cell line was analyzed for MDR-1 gene expression (A) and MDR-1 protein expression on the cell surface (B). MDR-1 gene expression was determined by RT-PCR analysis on total RNA isolated from MOVP-3 and Molt-3 cells, respectively (A). Expression of GAPDH was used as a control for the integrity of the cDNA. MDR-1 protein expression on MOVP-3 cells was determined by FACS analysis using 1 μg UIC2 primary antibody per 106 cells and compared with Molt-3 parental cells (B). The gene expression of other resistance mechanisms was determined by RT-PCR (C). Results obtained with Molt-3 cells (top) were compared with MOVP-3 cells (bottom). Lane 1 indicates 100-bp marker; 2, GAPDH; 3, MDR-1; 4, MRP; 5, LRP; 6, bax; 7, Topo I; 8, Topo IIα; 9, Topo IIβ; and 10, 100-bp marker.
Effect of ProVP16-I and -II on multidrug-resistant MOVP-3 cells. The VP16-resistant MOVP-3 cell line was analyzed for resistance against VP16-induced cytotoxicity (A), cross resistance to MDR-1 drugs, which are known substrates for p-glycoprotein (B), and functional MDR-1—mediated substrate efflux (C). Resistance of MOVP-3 cells against VP16 was calculated from IC50 concentrations according to IC50MOVP-3 ÷ IC50Molt-3 (n = 3) and results compared with effects observed with ProVP16-I and -II (A). Differential findings between Molt-3 and MOVP-3 cells obtained with VP16 were statistically significant (P < .001) in contrast to ProVP16-I and -II (P > .05). (B) Cross resistance of MOVP-3 cells against MDR-1 drugs (doxorubicin, melphalan, vinblastine, and paclitaxel) was calculated from IC50 values (n = 3) as described in Figure 4B. Results for non—MDR-1 drugs (MTX, 5-FU, genistein, calicheamicin θ, ProVP16-I) are shown as controls. Differential findings for MDR-1 drugs between MOVP-3 and Molt-3 cells were all statistically significant (P < .01) in contrast to non—MDR-1 drugs (P > .05). (C) MDR-1—mediated substrate efflux by MOVP-3 cells (left) and Kelly cells (right) was demonstrated using the JC-1 assay. Inhibition of MDR-1 was determined using 3 × 10-4 M ProVP16-I and ProVP16-II and compared with equivalent amounts of VP16 and PBS controls. Histograms represent a typical result of 3 independent experiments.
Effect of ProVP16-I and -II on multidrug-resistant MOVP-3 cells. The VP16-resistant MOVP-3 cell line was analyzed for resistance against VP16-induced cytotoxicity (A), cross resistance to MDR-1 drugs, which are known substrates for p-glycoprotein (B), and functional MDR-1—mediated substrate efflux (C). Resistance of MOVP-3 cells against VP16 was calculated from IC50 concentrations according to IC50MOVP-3 ÷ IC50Molt-3 (n = 3) and results compared with effects observed with ProVP16-I and -II (A). Differential findings between Molt-3 and MOVP-3 cells obtained with VP16 were statistically significant (P < .001) in contrast to ProVP16-I and -II (P > .05). (B) Cross resistance of MOVP-3 cells against MDR-1 drugs (doxorubicin, melphalan, vinblastine, and paclitaxel) was calculated from IC50 values (n = 3) as described in Figure 4B. Results for non—MDR-1 drugs (MTX, 5-FU, genistein, calicheamicin θ, ProVP16-I) are shown as controls. Differential findings for MDR-1 drugs between MOVP-3 and Molt-3 cells were all statistically significant (P < .01) in contrast to non—MDR-1 drugs (P > .05). (C) MDR-1—mediated substrate efflux by MOVP-3 cells (left) and Kelly cells (right) was demonstrated using the JC-1 assay. Inhibition of MDR-1 was determined using 3 × 10-4 M ProVP16-I and ProVP16-II and compared with equivalent amounts of VP16 and PBS controls. Histograms represent a typical result of 3 independent experiments.
MDR-1 mRNA expression in MOVP-3 cells was determined by reverse transcription (RT)—PCR (Figure 4A), while increased MDR-1 protein expression on the cell surface was established by FACS analysis using UIC2 monoclonal antibody (Figure 4B). Extended gene expression analyses also looking at MRP, LRP, topisomerases I, IIα, and IIβ, as well as Bax (Figure 4C) revealed no difference between MOVP-3 and Molt-3 parental cells. These findings suggest that expression of MDR-1 is accounting for drug resistance observed in MOVP-3 cells. This was further confirmed by functional characterization of the subline, which revealed a 100-fold resistance against etoposide with IC50 values of 2 × 10-6 M for MOVP-3 and 2 × 10-8 M for Molt-3 cells (Figure 5A).
However, MOVP-3 cells remained almost fully sensitive toward ProVP16-I and -II with no significant difference in proetoposide-mediated cytotoxicity between parental Molt-3 and drug-resistant MOVP-3 cells, with IC50 values of 2 × 10-8 M for both prodrugs and cell lines. Similar results were obtained in Molt-3 cells following stable transfection with MDR-1 cDNA using pMDR-IRESpuro (Molt-3/MDR-1) that resulted in resistance against etoposide, doxorubicin, taxol, and vinblastine (Figure 6). Molt-3/MDR-1 cells also remained fully sensitive against ProVP16-I and -II. Controls (Molt-3/Mock) stably transfected with empty vector (pIRESpuro) revealed no resistance to any of the drugs tested.
Effect of ProVP16-I and -II on MDR-1—transfected Molt-3 cells. Molt-3 cells were transfected with pMDR-IRESpuro and empty pIRESpuro to generate Molt-3/MDR-1 and Molt-3/Mock control. Resistance of Molt-3/MDR-1 cells against VP16, doxorubicin, vinblastin, and paclitaxel was calculated from IC50 concentrations according to IC50 Molt-3/MDR-1 ÷ IC50Molt-3 (n = 3) and results compared with effects observed with ProVP16-I and -II. Results obtained with Molt-3/Mock cells were calculated according to IC50 Molt-3/Mock ÷ IC50Molt-3 (n = 3). Differential findings between Molt-3/MDR-1 and Molt-3/Mock cells obtained with VP16, doxorubicin, vinblastin, and paclitaxel were statistically significant (P < .001) in contrast to ProVP16-I and -II (P > .10).
Effect of ProVP16-I and -II on MDR-1—transfected Molt-3 cells. Molt-3 cells were transfected with pMDR-IRESpuro and empty pIRESpuro to generate Molt-3/MDR-1 and Molt-3/Mock control. Resistance of Molt-3/MDR-1 cells against VP16, doxorubicin, vinblastin, and paclitaxel was calculated from IC50 concentrations according to IC50 Molt-3/MDR-1 ÷ IC50Molt-3 (n = 3) and results compared with effects observed with ProVP16-I and -II. Results obtained with Molt-3/Mock cells were calculated according to IC50 Molt-3/Mock ÷ IC50Molt-3 (n = 3). Differential findings between Molt-3/MDR-1 and Molt-3/Mock cells obtained with VP16, doxorubicin, vinblastin, and paclitaxel were statistically significant (P < .001) in contrast to ProVP16-I and -II (P > .10).
We further characterized the type of resistance in our MOVP-3 subline by assessing the extent of cross resistance. MOVP-3 cells displayed cross resistance against all MDR-1—type drugs (etoposide, doxorubicin, paclitaxel, vinblastine) in contrast to non—MDR-1 drugs (methotrexate [MTX], 5-fluorouracil [5-FU], genistein, calicheamicin θ) (Figure 5B). The cross resistance to melphalan, which is also a non—MDR-1 drug, suggests that there is at least one more resistance mechanism activated in MOVP-3 cells. The nature of this resistance mechanism is not pump related, since MRP and LRP expression was not different in MOVP-3—resistant cells compared with Molt-3 parental cells (Figure 4C), and may be associated with overexpression of glutathione-S transferase. In summary, results obtained in MDR-1 transfection experiments and the resistance profile demonstrate that ProVP16-I and -II can overcome MDR-1—mediated multidrug resistance in vitro.
In a functional MDR-1 assay using JC-1 dye, we could demonstrate an increased JC-1 efflux in MOVP-3 cells in contrast to Molt-3 controls, as indicated by a decrease in the FL-1 signal in the resistant subline in contrast to Molt-3 parental cells (Figure 5C, left). This decrease was abrogated by coincubation with 3 × 10-4 M ProVP16-I (Figure 5C, left) and inhibited MDR-1—mediated efflux over a broad concentration range down to 10 × 10-6 M for ProVP16-I (data not shown).
Interestingly, VP16 used at equimolar concentrations was ineffective in modulating MDR-1 function, as indicated by a JC-1 signal not different from PBS controls. A similar effect was observed for ProVP16-I and ProVP16-II in MDR-1—resistant Kelly neuroblastoma cells (Figure 5C, right). The MDR-1—mediated decrease in FL-1 signal intensity was abrogated by coincubation with 3 × 10-4 M ProVP16-I and ProVP16-II (Figure 5C, right) and inhibited MDR-1—mediated efflux over a broad concentration range down to 10 × 10-6 M for ProVP16-I and 50 × 10-6 for ProVP16-II (data not shown). These findings show that the prodrug design directly decreases MDR-1—mediated substrate efflux.
In order to evaluate the cytotoxic mechanism mediated by ProVP16-I and -II in multidrug-resistant MOVP-3 cells, the effect of these drugs on the cell cycle was analyzed at concentrations ranging from 10 nM to 1 μM and compared with Molt-3 parental cells. Typical results obtained with 0.5 μM prodrugs are shown in Figure 7. Specifically, asynchronous MOVP-3 (Figure 7B) and Molt-3 (Figure 7A) cells were incubated with VP16 and ProVP16-I and -II for 72 hours. Periodically cells were subjected to cell-cycle analysis at indicated time points. Results clearly indicate that both ProVP16-I and -II at 0.5 μM (Figure 7B), as well as for the entire concentration range (10 nM to 1 μM) (data not shown), are very effective in inducing a steady increase in the pre-G1 peak in MOVP-3 cells after 24 hours, characteristic of apoptosis. Annexin-V staining was also determined as a second independent marker of apoptosis revealing similar results as observed with pre-G1 peak analysis (data not shown). In contrast to the prodrugs, VP16 was ineffective in inducing apoptosis, consistent with elimination of VP16, but not ProVP16-I and -II, by MDR-1. Induction of apoptosis was also demonstrated in Molt-3 parental cells over the entire concentration range (0.5 μM, Figure 7A). VP16 was demonstrated to induce apoptosis in Molt-3 cells to an extent similar to ProVP16-I and -II. Overall, these results are consistent with findings that the VP16 prodrugs inhibit MDR-1 function.
Induction of apoptosis by ProVP16-I and -II in resistant cells. The effect of ProVP16-I and -II (5 × 10-7 M) on the cell cycle was analyzed in Molt-3 (A) and MOVP-3 (B) cells and results were compared with VP16 (5 × 10-7 M). Cells were harvested at indicated time points (n = 3), fixed, stained with propidium iodide, and analyzed by FACS as described in “Materials and methods.” Percent cells in pre-G1 (apoptotic cells) was calculated from DNA histograms.
Induction of apoptosis by ProVP16-I and -II in resistant cells. The effect of ProVP16-I and -II (5 × 10-7 M) on the cell cycle was analyzed in Molt-3 (A) and MOVP-3 (B) cells and results were compared with VP16 (5 × 10-7 M). Cells were harvested at indicated time points (n = 3), fixed, stained with propidium iodide, and analyzed by FACS as described in “Materials and methods.” Percent cells in pre-G1 (apoptotic cells) was calculated from DNA histograms.
In vivo toxicity and efficacy of ProVP16-II in a multidrug-resistant T-cell leukemia xenograft model
Based on our in vitro findings that revealed no differences between ProVP16-I and -II, ProVP16-II was selected for in vivo experiments because of its higher water solubility. First, systemic toxicity of ProVP16-II was determined in A/J mice (n = 6) injected intraperitoneally with VP16 and ProVP16-II (Figure 8A). All mice receiving 20 mg/kg VP16 survived with an average weight loss of 10%. In contrast, 5 of 6 mice treated with 60 mg/kg VP 16 showed a weight loss of more than 20%.
Toxicity and antitumor response following ProVP16-II therapy in mice. A/J mice (n = 6) were injected intraperioteoneally with ProVP16-II (20 and 60 mg/kg) and VP16 (20 mg/kg) on days 1, 3, 5, 7, 9, and 11 and with VP16 (60 mg/kg) on days 1, 3, and 5 (A). The body weight was determined for each animal over time and calculated as percent of total weight observed on day 0. An event as indicated by Kaplan-Meier plots is defined by loss of body weight of more than 20%. The antitumor effect of ProVP16-II therapy was determined in a multidrug-resistant xenograft model (B-C). SCID mice (n = 7) were injected subcutaneously with 5 × 106 MOVP-3 cells, and primary tumors of 250 mm3 average size were established 55 days after inoculation. Treatment consisted of intraperitoneal injections with ProVP16-II (45 and 15 mg/kg), VP16 (15 mg/kg), and solvent on days 55, 57, 59, 69, 71, 87, and 90 after tumor cell inoculation. Tumor growth was monitored by microcaliper measurements and tumor size was calculated as described in “Materials and methods” (B). Differential findings between experimental groups of animals treated with ProVP16-II (45 and 15 mg/kg) and control groups (solvent and VP16) were statistically significant (P < .001 after day 63) (B). The body weight of treated animals was determined over time and calculated as percent of body weight on day 57 (C). At the end of the treatment experiment, remaining subcutaneous tumors were removed and analyzed by RT-PCR for gene expression of MDR-1 except from mice treated with 45 mg/kg with no residual tumor. Representative signals of one tumor of each group is depicted and compared with MDR-1—expressing VCR-100 cells used as a positive control. The presence of 229- or 127-bp signals indicate expression of MDR-1.
Toxicity and antitumor response following ProVP16-II therapy in mice. A/J mice (n = 6) were injected intraperioteoneally with ProVP16-II (20 and 60 mg/kg) and VP16 (20 mg/kg) on days 1, 3, 5, 7, 9, and 11 and with VP16 (60 mg/kg) on days 1, 3, and 5 (A). The body weight was determined for each animal over time and calculated as percent of total weight observed on day 0. An event as indicated by Kaplan-Meier plots is defined by loss of body weight of more than 20%. The antitumor effect of ProVP16-II therapy was determined in a multidrug-resistant xenograft model (B-C). SCID mice (n = 7) were injected subcutaneously with 5 × 106 MOVP-3 cells, and primary tumors of 250 mm3 average size were established 55 days after inoculation. Treatment consisted of intraperitoneal injections with ProVP16-II (45 and 15 mg/kg), VP16 (15 mg/kg), and solvent on days 55, 57, 59, 69, 71, 87, and 90 after tumor cell inoculation. Tumor growth was monitored by microcaliper measurements and tumor size was calculated as described in “Materials and methods” (B). Differential findings between experimental groups of animals treated with ProVP16-II (45 and 15 mg/kg) and control groups (solvent and VP16) were statistically significant (P < .001 after day 63) (B). The body weight of treated animals was determined over time and calculated as percent of body weight on day 57 (C). At the end of the treatment experiment, remaining subcutaneous tumors were removed and analyzed by RT-PCR for gene expression of MDR-1 except from mice treated with 45 mg/kg with no residual tumor. Representative signals of one tumor of each group is depicted and compared with MDR-1—expressing VCR-100 cells used as a positive control. The presence of 229- or 127-bp signals indicate expression of MDR-1.
These findings sharply contrast with the results obtained with ProVP16-II. In that case, administration of 20 and 60 mg/kg ProVP16-II was well tolerated with no death in either experimental group. Only mice receiving 60 mg/kg ProVP16-II revealed a transient weight loss of less than 10% in contrast to 20 mg/kg ProVP16-II, which maintained stable average body weights. Thus, the maximum tolerated dose defined by a decrease in body weight of less than 20% was established at 20 mg/kg for VP16 and at 60 mg/kg for ProVP16-II, consistent with a decrease of systemic toxicity of the prodrug design by at least a factor of 3.
Second, the antitumor effect of ProVP16-II was determined in a multidrug-resistant xenograft model of T-cell leukemia and compared with VP16. Established primary tumors were induced by subcutaneous injection of 5 × 106 multidrug-resistant MOVP-3 cells and tumor growth was followed over a time period of 105 days. Treatment was initiated 55 days after tumor cell inoculation by intraperiotenal injection at an average tumor size of 250 mm3. The dose levels for VP16 (15 mg/kg) and ProVP16-II (15 and 45 mg/kg) were selected based on results shown in Figure 8A to further reduce systemic toxicity. Treatment with 45 mg/kg ProVP16-II induced a regression of established primary tumors in 7 of 7 animals 10 days after initiation of treatment, which was stable for more than 2 months (Figure 8B). This treatment was well tolerated with a transient weight loss of only 6% (Figure 8C). This finding was in contrast to that observed in mice treated with 15 mg/kg VP16, which showed no antitumor response and revealed continuous primary tumor growth identical to control mice treated only with solvent. However, significant toxicity was observed in mice treated with 15 mg/kg VP16 who exhibited a transient average weight loss of 20% (Figure 8C). In fact, mice receiving 15 mg/kg ProVP16-II showed no measurable weight loss (Figure 8C) and presented with a dramatic reduction in primary tumor growth in contrast to mice treated with the equivalent amount of 15 mg/kg VP16. In order to determine whether MDR-1 expression remained stable over the course of the experiment, RNA was isolated from tumor explants at day 105 and all tumors investigated revealed an MDR-1 signal by RT-PCR (Figure 8D).
Discussion
We tested the hypothesis that hydrolytically activated prodrug therapy is a very effective strategy to overcome drug resistance. For this purpose, 2 4′-propylcarbonoxy derivatives of etoposide were synthesized (ProVP16-I and -II), and their activation mechanism via enzymatic hydrolysis was clearly established. A similar prodrug of etoposide with a stable carbamate linker to block the 4′ hydroxy group of VP16 was also shown to be completely stable under physiologic buffer conditions.18 In contrast to hydrolytically activated ProVP16-I and -II, the carbamate prodrug was designed to be activated only by catalysis of a retro-aldol retro-Michael reaction mediated by catalytic antibody 38C2, a reaction that does not occur in nature. This carbamate prodrug was ineffective in mediating cytotoxicity against all tumor cell lines investigated, thus demonstrating a crucial role for the 4′ hydroxy group in VP16 as a biologically relevant center capable of inducing cytotoxicity. This active center is also blocked in the prodrugs described here. The nontoxic nature of unconverted ProVP16-I and -II is shown by the slow release mechanism demonstrated in Molt-3 cells (Figure 3) and by the absence of cytotoxic effects for the prodrugs after up to 12 hours of incubation, which is in contrast to VP16. A steady increase of cytotoxic activity of both VP16 derivatives over time clearly demonstrated that these 2 novel compounds are initially stable and nontoxic but then become activated. The slow release mechanism observed in vitro also accounts for the dramatically decreased systemic toxicity in mice, as demonstrated by ProVP16-II being tolerated by a more than 3-fold increase in the maximum tolerated dose over the parental compound (Figure 8). Similar results have been described for a prodrug of paxlitaxel, where the absence of high peak concentrations of the active parental drug released from a hydrolytically activated prodrug greatly reduced systemic toxicity and allowed the administration of substantially higher doses in mice28 and in patients.29
Further characterization of ProVP16-I and -II revealed a higher potency in a number of cancer cell lines compared with VP16. Thus, in cells with amplified MDR-1 gene expression (VCR 100, ADR 5000, and SW480) more than 3-log greater efficacy of ProVP16-I and -II was observed (Figure 5). This is an increase rarely achieved by MDR-1 modulators.1,14-16,30,31 Furthermore, functional assays demonstrate that the prodrug inhibits MDR-1—mediated substrate efflux. Consequently, it appears that these new prodrugs inhibit MDR-1 p-glycoprotein function, accounting for the excellent activity against MDR-1—expressing cancer cell lines. Importantly, this in vitro effect also translated into a long-lasting regression of established primary tumors in a drug-resistant T-cell leukemia xenograft model in vivo (Figure 8). In this model, MDR-1 gene expression is stably amplified with a 100 × resistance against VP16 in vitro (Figure 5), resulting in the complete absence of a therapeutic effect by VP16 at the maximum tolerated dose (Figure 8). Interestingly, in such a challenging model exhibiting an artificially high drug resistance, treatment with ProVP16-II can induce a dramatic antitumor response (Figure 8). This is of particular importance since such a high MDR-1 amplification is rarely observed in patients following polychemotherapy even in relapsed malignancies.21,22
The detailed mechanism of prodrug-mediated cytotoxicity and inhibition of MDR-1 function is not entirely understood at this time. Preliminary experiments show that activated ProVP16-I and -II inhibit topoisomerase IIα to the same extent as VP16 when used at equimolar concentrations. However, cell-cycle analyses comparing effects of ProVP16-I and -II with VP16 provide first evidence that these prodrugs are also capable of inducing G2/M phase arrest with complete synchronization, which was neither observed for VP16 nor previously reported.32-34 The increase of cells in G2/M phase treated with ProVP16-I and -II in contrast to VP16, suggests that there is an additional intracellular molecular target responsible for the cytotoxic effect of the prodrug in addition to inhibition of topoisomerase IIα. The dissection of the molecular mechanism of MDR-1 inhibition as well as the nature of the cytotoxic target are the subject of ongoing investigations.
The important finding of this study is the highly effective antitumor response observed in multidrug-resistant models with ProVP16-I and -II in vitro and in vivo, suggesting that therapy with these prodrugs may lead to a significant improvement over existing chemotherapy with VP16.
In summary, we report effect and mechanism of 2 novel, hydrolytically activated prodrugs of etoposide. We demonstrate potency against several multidrug-resistant in vitro models and a 3-fold reduced systemic toxicity in vivo. Finally, hydrolytically activated ProVP16-II induced effective regression of established multidrug-resistant tumors in a xenograft model in contrast to conventional VP16, which was entirely ineffective. These findings clearly establish proof of concept that a tailored, hydrolytically activated prodrug is effective against MDR-1—mediated multidrug resistance and may provide a new therapeutic option in relapsed patients.
Prepublished online as Blood First Edition Paper, March 6, 2003; DOI 10.1182/blood-2002-07-2268.
Supported by the Deutsche Forschungsgemeinschaft, Emmy-Noether Program, Lo 635/2-1 (H.N.L). G.G. and H.N.L. were also supported by the Stiftung zur Bekämpfung der Leukämieerkrankungen. U.S. and B.L. were supported by the Studentische Forschungsförderung awarded by the Humboldt University. K.M.B. was supported by an AIP fellowship from the Charité, Medical Faculty of the Humboldt University, Berlin. L.W. and C.H. were supported by a grant Klinische Forschergruppe from the Deutsche Forschungsgemeinschaft to C.H., and G.G. and A.G.N. were supported by the Deutsche Krebshilfe.
U.S., K.M.B, and B.L. contributed equally to this study.
The publication costs of this article were defrayed in part by page charge payment. Therefore, and solely to indicate this fact, this article is hereby marked “advertisement” in accordance with 18 U.S.C. section 1734.
We thank Dr Baum for providing the MDR-1 cDNA and antibody.








This feature is available to Subscribers Only
Sign In or Create an Account Close Modal