Abstract
CALGB 9511 used pegaspargase (PEG-ASP) in lieu of the native enzyme. The aim was to compare differences in overall survival (OS) and disease-free survival (DFS) between patients who did and did not achieve asparagine depletion, defined by enzyme levels greater than 0.03 U/mL plasma for 14 consecutive days after at least 1 of 4 planned PEG-ASP administrations. Samples were available from 85 eligible patients. On univariate analyses, the 22 patients who did not achieve asparagine depletion had inferior OS (P = .002; hazard ratio [HR] = 2.37; 95% CI = 1.38-4.09) and DFS (P = .012; HR = 2.21; 95% CI = 1.19-4.13). After adjusting for age, performance status, leukocyte count, and karyotype in a proportional hazards model, both the OS and DFS HRs decreased to 1.8 (P = .056; 95% CI = 1.0-3.2 and P = .084; 95% CI = 0.9-3.6, respectively). We conclude that effective asparagine depletion with PEG-ASP is feasible as part of an intensive multiagent therapeutic regimen in adult acute lymphoblastic leukemia and appears associated with improved outcomes.
Introduction
Asparaginase (ASP) hydrolyzes asparagine to aspartate and ammonia. Acute lymphoblastic leukemia (ALL) cells lack asparagine synthetase and are dependent on an exogenous source of asparagine for survival. Rapid depletion of asparagine results in the selective killing of ALL cells, whereas normal cells are able to synthesize asparagine.1 Three preparations of ASP are available: one from Escherichia coli, one from Erwinia carotovora, and pegaspargase (PEG-ASP), the monoethoxypolyethylene glycol succinimidyl conjugate of E colil-asparaginase. PEG-ASP has decreased immunogenicity and a longer half-life than the other 2 enzymes2,3 and maintains asparagine depletion equivalent to higher doses and prolonged administration of the native preparations.4
The effect of PEG-ASP was previously studied in 3 relapsed5–7 ALL trials and in 2 pediatric induction8,9 and 1 adult10 induction ALL studies. All have shown it to be well tolerated with comparable or better asparagine depletion. A randomized trial9 in childhood ALL demonstrated a correlation between ASP activity and asparagine depletion. None of those trials demonstrated an effect of asparagine depletion on outcome.
The Cancer and Leukemia Group B (CALGB) used PEG-ASP in lieu of the native enzyme during induction and early intensification therapy of adult patients with ALL. The aim of the study was to explore differences in overall survival (OS) and disease-free survival (DFS) of those patients who achieved asparagine depletion compared with those who did not.
Patients, materials, and methods
Patients
Patients were eligible if they had untreated ALL or acute undifferentiated leukemia.11 Burkitt-type ALL was excluded. Central immunophenotyping, pathology, and karyotype reviews were required. All patients provided informed consent in accordance with the Declaration of Helsinki. This study received IRB approval from each participating institution. Between July 1995 and December 1997, 104 patients were enrolled; 102 were eligible. PEG-ASP was tolerable, although bilirubin greater than 51.3 μM (3 mg/dL) occurred in 54%, glucose greater than 13.9 mM (250 mg/dL) in 40%, and fibrinogen less than 1 g/L (100 mg/dL) in 30%. Seventy-eight (77%) of the 102 patients achieved a complete remission (CR). After a median follow-up of 94 months for the 25 living patients, 22 (22%) are alive in continuous CR and 3 are alive after relapse.
Treatment protocol
The first 21 patients received PEG-ASP (2000 U/m2 subcutaneously, capped at 3750 U) on day 5 of the 5-drug induction course and day 15 of the early intensification course of the CALGB 8811 regimen (Document S1, available on the Blood website; see the Supplemental Materials link at the top of the online article).12 On the basis of asparagine depletion and lack of significant toxicity, subsequent patients received PEG-ASP on days 5 and 22 of induction and days 15 and 43 of the first intensification course. Filgrastim was used as described in CALGB 9111.13 Allogeneic transplantation in first remission was recommended for patients with t(9;22) ALL.
ASP and antibody analyses
Blood samples were collected on days 12, 19, 22, 29, and 36 of induction and days 15, 22, 29, 43, 50, and 57 of early intensification. ASP pharmacokinetics and anti-ASP antibody titers were measured centrally using previously established methods.3,14,15 Asparagine depletion was defined as ASP levels greater than 0.03 U/mL for 14 consecutive days after at least 1 of 4 possible administrations of PEG-ASP.16
Response criteria
Hematologic CR was defined by previously established criteria.12 OS was defined as the interval between study entry and death. DFS was defined as the interval between date of CR and relapse or death, whichever occurred first. Patients were censored at the date last seen alive (for OS) and the date last seen without progression (for DFS). No censoring was performed for allogeneic transplantation. Relapse after CR was defined by the appearance of peripheral blood blasts, more than 5% leukemic cells in bone marrow aspirates, or development of extramedullary leukemia.
Statistical methods
Plasma samples for pharmacokinetic and antibody analyses were available from 85 of the 102 eligible patients. The log-rank test was used to test for OS and DFS differences between patients with and without asparagine depletion. The proportional hazards model17 was used to test these differences after controlling for age, performance status (PS; scored as 0, 1, 2, 3), white blood cell (WBC) count (dichotomized at 30 × 109/L because it was a better predictor of outcome than continuous WBC counts), and karyotype as unfavorable [t(9;22), t(4;11), −7, +8],18 or other. The hazard ratio (HR) of age was given in terms of 10-year increments. Covariates in these models were selected based on their clinical significance in prior CALGB trials.12 All were kept in the model regardless of their P value.19 HR with 95% confidence intervals (CIs) were used to describe the association of the predictor variables with DFS and OS.
Immunophenotype data (B versus T lineage)20 were available on only 62 of the 85 patients with pharmacokinetic data; therefore, immunophenotype was not included in the regression models. Instead, univariate statistics were used to describe its association with asparagine depletion, OS, and DFS.
Although 2-sided P values are presented in this study, effect sizes and their 95% CIs are emphasized. Statistical analysis was performed at the CALGB Statistical Center. Results analyzed were available in the database as of April 2006.
Results and discussion
Characteristics of patients with and without asparagine depletion are described in Table 1. Anti-ASP antibodies were detected in 6 (9.5%) of 63 patients who achieved asparagine depletion at some point as compared with 7 (31.8%) of 22 patients who did not (P = .012). Although anti-ASP antibodies were significantly more prevalent in patients who did not achieve asparagine depletion, when using a variety of models to evaluate the predictive ability of antibody level for various outcomes, none was suggestive of meaningful associations. These data suggest that, in this small cohort, even those patients who eventually developed antibodies to ASP, thus presumably neutralizing any further biologic activity, did not experience less overall antileukemia effect.
Association between baseline characteristics and asparagine depletion
| Parameter . | Sample size . | Depleted . | Nondepleted . | P* . |
|---|---|---|---|---|
| No. of patients | 85 | 63 | 22 | — |
| Median age,† y (range) | 85 | 32 (17-70) | 48 (22-71) | .009 |
| Median WBC count, × 109/L (range) | 84 | 7.7 (1.0-393.0) | 8.4 (1.0-131.1) | .738 |
| Performance status, median | 84 | 1 | 1 | .674 |
| Immunophenotype | 62 | — | — | .099 |
| B lineage, no. of patients (%) | 50 | 34 (68) | 16 (32) | — |
| T lineage, no. of patients (%) | 12 | 11 (92) | 1 (8) | — |
| Unfavorable karyotype, no. of patients (%) | 85 | 14 (22) | 7 (32) | .369 |
| Parameter . | Sample size . | Depleted . | Nondepleted . | P* . |
|---|---|---|---|---|
| No. of patients | 85 | 63 | 22 | — |
| Median age,† y (range) | 85 | 32 (17-70) | 48 (22-71) | .009 |
| Median WBC count, × 109/L (range) | 84 | 7.7 (1.0-393.0) | 8.4 (1.0-131.1) | .738 |
| Performance status, median | 84 | 1 | 1 | .674 |
| Immunophenotype | 62 | — | — | .099 |
| B lineage, no. of patients (%) | 50 | 34 (68) | 16 (32) | — |
| T lineage, no. of patients (%) | 12 | 11 (92) | 1 (8) | — |
| Unfavorable karyotype, no. of patients (%) | 85 | 14 (22) | 7 (32) | .369 |
— indicates not applicable.
P values are from the Wilcoxon 2-sample test, chi-square test, or log-rank test, as appropriate.
Increasing age was associated with decreasing total number of PEG-ASP doses administered (Wilcoxon P = .002).
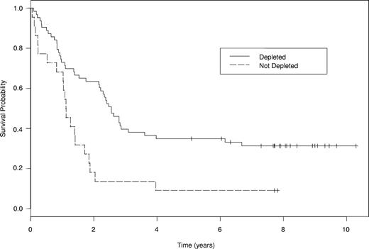
All 85 patients with pharmacokinetic and antibody analyses were used to examine the association of asparagine depletion with OS. Seventy-one patients with pharmacokinetic and antibody analyses who achieved CR were used to examine the association of asparagine depletion with DFS. Univariate analyses suggested that the patients who did not achieve asparagine depletion even once had inferior OS and DFS (Table 2; Figure 1). Increasing age was associated with decreasing total number of PEG-ASP doses (Table 1). Ten (16%) of 63 patients who achieved asparagine depletion underwent allogeneic transplantation in first CR as compared with 2 (9%) of 22 patients who did not (P = .43). Among the 73 patients who did not undergo transplantation, asparagine depletion continued to have a significant impact on OS (HR = 2.4, P = .004) and DFS (HR = 2.3, P = .014). After adjusting for age (HR = 1.4, P < .001), PS (HR = 1.5, P = .020), WBC count (HR = 1.4, P = .203), and karyotype (HR = 2.5, P = .004) in a proportional hazards model, the OS HR comparing patients without asparagine depletion with those with depletion decreased to 1.8 (P = .056; 95% CI = 1.0-3.2). Similarly, after adjusting for age (HR = 1.3, P = .012), PS (HR = 1.4, P = .086), WBC count (HR = 1.6, P = .116), and karyotype (HR = 2.2, P = .026), the DFS HR decreased to 1.8 (P = .084; 95% CI 0.9-3.6). All hazard ratios were in the anticipated direction.
Association between asparagine depletion and response
| Parameter . | Sample size . | Depleted . | Nondepleted . | P* . | Hazard ratio . | 95% CI . |
|---|---|---|---|---|---|---|
| CR, % | 85 | 87 | 73 | .113 | NA | NA |
| Median DFS,† mo | 71 | 25 | 12 | .010 | 2.21 | 1.19-4.13 |
| Relapse rate, % | 85 | 71 | 91 | .064 | NA | NA |
| Median OS, mo | 85 | 31 | 13 | .001 | 2.37 | 1.38-4.09 |
| Parameter . | Sample size . | Depleted . | Nondepleted . | P* . | Hazard ratio . | 95% CI . |
|---|---|---|---|---|---|---|
| CR, % | 85 | 87 | 73 | .113 | NA | NA |
| Median DFS,† mo | 71 | 25 | 12 | .010 | 2.21 | 1.19-4.13 |
| Relapse rate, % | 85 | 71 | 91 | .064 | NA | NA |
| Median OS, mo | 85 | 31 | 13 | .001 | 2.37 | 1.38-4.09 |
NA indicates not applicable
P values are from the Wilcoxon 2-sample test, chi-square test, or log-rank test, as appropriate.
No patients died in CR.
Survival of 63 patients with ALL who achieved asparagine depletion, compared with 22 patients who did not.
Survival of 63 patients with ALL who achieved asparagine depletion, compared with 22 patients who did not.
Immunophenotype data were available on 62 of the 85 patients for whom pharmacokinetic and antibody analyses were available (Table 1). Patients with B-lineage ALL had an inferior DFS and OS as compared with patients with T-lineage ALL (Table 3). The relationship between immunophenotype and asparagine depletion has not been previously reported and appears provocative. A larger study is needed to address the joint association of asparagine depletion and immunophenotype on outcome.
Association between immunophenotype and response
| Parameter . | Sample size . | T lineage . | B lineage . | P* . | Hazard ratio . | 95% CI . |
|---|---|---|---|---|---|---|
| CR (%) | 62 | 100 | 80 | .091 | NA | NA |
| Median DFS, mo | 52 | 21 | 19 | .275 | 1.57 | 0.69-3.55 |
| Median OS, mo | 62 | 59 | 22 | .108 | 1.91 | 0.86-4.28 |
| Parameter . | Sample size . | T lineage . | B lineage . | P* . | Hazard ratio . | 95% CI . |
|---|---|---|---|---|---|---|
| CR (%) | 62 | 100 | 80 | .091 | NA | NA |
| Median DFS, mo | 52 | 21 | 19 | .275 | 1.57 | 0.69-3.55 |
| Median OS, mo | 62 | 59 | 22 | .108 | 1.91 | 0.86-4.28 |
NA indicates not applicable.
P values are from the Wilcoxon 2-sample test, chi-square test, or log-rank test, as appropriate.
This is the first demonstration that effective asparagine depletion with PEG-ASP as part of an intensive multiagent therapeutic regimen in ALL is feasible in adults and is associated with improved outcomes. This observation requires validation in larger patient cohorts.
Authorship
Contribution: M.W. wrote the manuscript and oversaw the data analysis; B.L.S. analyzed the data; J.K. oversaw the asparagine depletion assay; D.D. performed the asparagine depletion assay; S.R.F. conducted the clinical trial and contributed more than 10% of the patients; B.L.P. and J.E.K. contributed more than 10% of the patients; C.D.B. oversaw the cytogenetic analyses and contributed to the manuscript preparation; R.A.L. oversaw the conduct of the study and contributed to the manuscript preparation. All authors reviewed the final manuscript and approved it.
Conflict-of-interest disclosure: The authors declare no competing financial interests.
A complete list of the member institutions of the Cancer and Leukemia Group B Study 9511 appears as a data supplement (Document S2) to the online version of this article.
Correspondence: Meir Wetzler, Leukemia Section, Department of Medicine, Roswell Park Cancer Institute, Elm and Carlton Streets, Buffalo, NY 14263; e-mail: meir.wetzler@roswellpark.org.
The online version of this article contains a data supplement.
The publication costs of this article were defrayed in part by page charge payment. Therefore, and solely to indicate this fact, this article is hereby marked “advertisement” in accordance with 18 USC section 1734.
We thank Drs Bercedis L. Peterson and Kouros Owzar for helpful discussions and assistance in clinical data analyses.
The work was supported by grants from the National Cancer Institute (grants CA101140), the Coleman Leukemia Research Fund (St Paul, MN), and the Heidi Leukemia Research Fund (Buffalo, NY). The research for CALGB 9511 was supported by the National Cancer Institute to the Cancer and Leukemia Group B (grant CA31946) (Dr Richard L. Schilsky, chairman); to the Roswell Park Cancer Institute (grant CA02599); to the Cancer and Leukemia Group B (CALGB) Biostatistics (CA33601), Duke University Medical Center (CA47577); to the Marlene and Stewart Greenebaum Cancer Center, University of Maryland Cancer Center (CA31983); to the Wake Forest University School of Medicine (CA03927); to the North Shore University Hospital (CA35279); to The Ohio State University Comprehensive Cancer Center (CA77658); and to the University of Chicago (CA41287).
The content of this manuscript is solely the responsibility of the authors and does not necessarily represent the official views of the National Cancer Institute.

This feature is available to Subscribers Only
Sign In or Create an Account Close Modal