Abstract
The DNA demethylating agent 5-Azacytidine (5-Aza) is the first drug to achieve a survival benefit in patients with poor-risk MDS. In vitro, synergism with inhibitors of histone deacetylases has been described, and the clinical feasibility of combining 5-Aza with Valproic Acid (VPA) has also been demonstrated. Response rates are at least comparable to 5-Aza monotherapy and time to response appears to be significantly shortened. However, the optimal dosing schedule for this combination is still uncertain.
VPA was administered orally and continuously to achieve a serum level of 80–110μg/ml. 5-Aza was given at an increased dosage of 100mg/m2/d in a 5-day schedule every 28 days, in order to avoid weekend applications. Between March and Juli, 2007, 25 patients were included; 24 received at least one complete cycle of therapy. Median age was 73 (59–87) years. Diagnoses were 7 RAEB, 3 RAEB-T, 11 AML, 3 CMML (according to FAB), or 1 RAEB I, 4 RAEB II, 6 de-novo AML, 7 secondary AML/MDS, 3 therapy-related MDS/AML, 3 CMML II (according to WHO). All MDS patients had an IPSS score of intermediate II or high. 8 patients showed a normal karyotype, 6 had intermediate-risk single aberrations and 10 had poor-risk cytogenetics. 7 patients had previously received intensive chemotherapy. Karyotype was determined by conventional cytogenetics as well as FISH analysis of circulating 34+-cells and bone marrow.
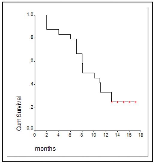
Patients received a median of 5 (1–17) cycles. The response rate was 33%, including 1 CR, 1 CRi, 5 PR and one patient with hematologic improvement but 6% remaining marrow blasts. 9 patients (38%) achieved at least stable disease, 5 of these obtained marrow CR (n=3) or PR (n=2). These patients typically showed a hypoplastic marrow with significantly reduced blast cells but without regeneration of peripheral cell counts. Response rate was highest in previously untreated patients with 10–30% marrow blasts (55%), while only one of 6 patients with relapsed/refractory AML achieved CRi. Cytogenetic remissions occurred in 6 patients (4 cytogenetic CR and 2 PR). Out of 7 patients with chromosome 7 abnormalities, 4 (57 %) responded. Median number of cycles to achieve a response was 2. While it took only 1 or 2 cycles in 5 patients, three patients needed 8 or 9 cycles. Median response duration was not reached, since only 3 patients relapsed after 5, 6, and 10 treatment cycles. Median survival from start of therapy was 8 (1–17) months (see fig.). 6 patients currently remain on treatment.
Most patients had transient CNS side effects leading to dose reduction or transient discontinuation in 8 and cessation of therapy in 2. In one patient Coombs-negative hemolysis occurred. It is unknown whether this AE was related to the study drugs. Two patients developed a rash after 5-Aza. Myelosuppression occurred in all patients especially during the initial cycles. Treatment had to be delayed in most of the patients during the first cycles, and dose reductions of 5-Aza were necessary in 7 cases. One patient died of pneumonia after the first cycle. Myelosuppression appeared to be more severe than with 5-Aza alone. Whether this was due to dose intensification of 5-Aza, combination with VPA, or unfavourable patient characteristics remains uncertain.
In future studies we would prefer a schedule of 75mg/m2/d for 5 days, which has proven effective in recent trials. Although the combination of demethylating agents and HDAC inhibitors may achieve earlier responses in some patients, this approach does not seem to obviate the need for prolonged treatment. Patients who achieve at least stable disease should be kept on treatment as long as possible.
Disclosures: Kuendgen:Celgene: Honoraria. Bug:Celgene: Honoraria. Ottmann:Celgene: Consultancy, Honoraria, Membership on an entity’s Board of Directors or advisory committees. Haase:Celgene: Honoraria, Research Funding. Germing:Celgene: Honoraria, Research Funding. Gattermann:Celgene: Honoraria. Off Label Use: Valproic Acid for MDS/AML, Vidaza for MDS/AML.
Author notes
Corresponding author

This feature is available to Subscribers Only
Sign In or Create an Account Close Modal