Abstract
Age older than 65 years, hemoglobin level lower than 100 g/L (10 g/dL), white blood cell count greater than 25 × 109/L, peripheral blood blasts 1% or higher, and constitutional symptoms have been shown to predict poor survival in primary myelofibrosis (PMF) at diagnosis. To investigate whether the acquisition of these factors during follow-up predicts survival, we studied 525 PMF patients regularly followed. All 5 variables had a significant impact on survival when analyzed as time-dependent covariates in a multivariate Cox proportional hazard model and were included in 2 separate models, 1 for all patients (Dynamic International Prognostic Scoring System [DIPSS]) and 1 for patients younger than 65 years (age-adjusted DIPSS). Risk factors were assigned score values based on hazard ratios (HRs). Risk categories were low, intermediate-1, intermediate-2, and high in both models. Survival was estimated by the HR. When shifting to the next risk category, the HR was 4.13 for low risk, 4.61 for intermediate-1, and 2.54 for intermediate-2 according to DIPSS; 3.97 for low risk, 2.84 for intermediate-1, and 1.81 for intermediate-2 according to the age-adjusted DIPSS. The novelty of these models is the prognostic assessment of patients with PMF anytime during their clinical course, which may be useful for treatment decision-making.
Introduction
Primary myelofibrosis (PMF) is a Philadelphia-negative myeloproliferative neoplasm (MPN) whose diagnostic criteria have been recently updated.1 Among MPNs, PMF has the most heterogeneous clinical presentation, which may encompass anemia, splenomegaly, leukocytosis or leukopenia, thrombocytosis or thrombocytopenia, and constitutional symptoms. The discovery of the activating mutation JAK2 (V617F) in more than 70% of patients with MPNs2 led to the development of new biochemically selective JAK2 inhibitors.3 These agents are currently being tested in clinical trials that usually include patients with long disease history.
Advanced age,4-7 anemia,4-11 red blood cell transfusion need,12 leukopenia,8 leukocytosis,8 thrombocytopenia,9 peripheral blast count,4,6 systemic symptoms,6,10 degree of microvessel density,13 and cytogenetic abnormalities5,7,9,14-16 were shown to be associated with poor outcome in patients with PMF. The presence of the JAK2 (V617F) mutation per se does not seem to imply worse survival,17 although a low JAK2 (V617F) allele burden seems associated with poorer outcome.18,19 Recently, Cervantes et al17 on behalf of the International Working Group for Myeloproliferative Neoplasms Research and Treatment (IWG-MRT) developed a prognostic scoring system to estimate survival of PMF patients. This model uses 5 factors (age older than 65 years, hemoglobin level < 100 g/L [10 g/dL], white blood cell count > 25 × 109/L, peripheral blood blasts ≥ 1%, and presence of constitutional symptoms) to identify 4 risk categories with different survival.
Prognostic models for PMF developed so far are based on the evaluation of risk factors present at diagnosis. However, the acquisition of additional risk factors during the disease course may substantially modify the patients' outcome. A dynamic prognostic model that accounts for modifications of the risk profile after diagnosis may prove useful in clinical practice. On behalf of IWG-MRT, first we investigated whether the acquisition anytime during follow-up of one or more of the prognostic factors identified by Cervantes et al17 predicts survival. Then, a new prognostic score based on a time-dependent risk evaluation was developed: the Dynamic International Prognostic Scoring System (DIPSS) for PMF.
Methods
The study was carried out through an international cooperation on behalf of the IWG-MRT. An ad hoc database was developed for data collection.
Study design
The Institutional Review Board of each participating center approved the study, and the procedures followed were in accordance with the Declaration of Helsinki. The objective of the study was the definition of a dynamic prognostic model to predict survival in PMF. The end points of the study were time to acquisition of the selected risk factors and survival.17 Risk factors were age older than 65 years, hemoglobin level lower than 100 g/L (10 g/dL), white blood cell count greater than 25 × 109/L, peripheral blood blasts equal to or greater than 1%, and presence of constitutional symptoms (> 10% weight loss in 6 months, night sweats, unexplained fever higher than 37.5°C). For each patient, the date of acquisition of these risk factors during follow-up was registered. The inclusion criteria were (1) diagnosis of PMF based on the presence of megakaryocyte proliferation and atypia accompanied by increased reticulin and/or collagen in bone marrow as major criterion, as well as of the JAK2 (V617F) or the MPL mutations if available and 2 criteria among anemia, splenomegaly, increased lactate dehydrogenase activity, and leukoerythroblastosis; (2) diagnosis performed between 1980 and 2008; (3) regular follow-up of the patients at each institution (at least 3 visits a year); (4) disease-related acquisition of risk factors, leukocytosis, peripheral blastosis, and constitutional symptoms should be recorded at the time of their first occurrence, whereas hemoglobin level should be permanently lower than 100 g/L (10 g/dL) and not due to treatment toxicity. Patients with post–polycythemia vera and post–essential thrombocythemia myelofibrosis20 and those with diagnosis of “prefibrotic” myelofibrosis21 were excluded.
Statistical analysis
Continuous variables are summarized as median and range. Categoric variables are described by count and relative frequency of each category (%). Comparison of continuous baseline features between patients of different participating centers was carried out by Kruskal-Wallis nonparametric analysis of variance. Categoric features were compared using the χ2 test for tables. Analyses of time to acquisition of a risk factor were performed considering death as a competing risk.22,23 Survival analysis was carried out with either the Kaplan-Meier method when investigating a single categoric risk factor or Cox proportional hazard regression, with and without dichotomous time-dependent covariates, when performing multivariate analysis. The log-rank test was applied to compare Kaplan-Meier curves; a test for trend was also used when applicable. Wald test was used to assess the significance of covariates in Cox models. Statistical analyses were performed using Microsoft Excel 2000, Statistica 8 (Stat-Soft Inc), Stata SE 9.2 (StataCorp), and R 2.9.2 (The R Foundation for Statistical Computing).
Results
Initial characteristics and clinical course
The main clinical characteristics at diagnosis of the 525 patients are reported in Table 1. Comparing the distribution of clinical features at diagnosis among different centers, only results for age were significantly different (P < .001).
Demographic and hematologic characteristics at diagnosis of 525 patients with primary myelofibrosis
| Characteristic . | Value . |
|---|---|
| No. of patients | 525 |
| Median follow-up, y (range) | 3.3 (0.6-24) |
| Age younger than 65 y (%) | 262 (49) |
| Male/female | 335/190 |
| White blood cell count greater than 25 × 109/L (%) | 55 (10) |
| Hemoglobin level lower than 10 g/dL (%) | 188 (36) |
| Platelet count lower than 100 × 109/L (%) | 83 (16) |
| Peripheral blast cells 1% or higher (%) | 144 (27) |
| Constitutional symptoms (%) | 144 (27) |
| Splenomegaly (%) | 434 (83) |
| Hepatomegaly (%) | 343 (65) |
| Characteristic . | Value . |
|---|---|
| No. of patients | 525 |
| Median follow-up, y (range) | 3.3 (0.6-24) |
| Age younger than 65 y (%) | 262 (49) |
| Male/female | 335/190 |
| White blood cell count greater than 25 × 109/L (%) | 55 (10) |
| Hemoglobin level lower than 10 g/dL (%) | 188 (36) |
| Platelet count lower than 100 × 109/L (%) | 83 (16) |
| Peripheral blast cells 1% or higher (%) | 144 (27) |
| Constitutional symptoms (%) | 144 (27) |
| Splenomegaly (%) | 434 (83) |
| Hepatomegaly (%) | 343 (65) |
During follow-up, 335 patients (64%) received palliative cytoreductive therapies after a median time of 0.3 years (range, 0-20.4 years) from diagnosis. Prednisone was given to 187 patients (36%), androgens to 88 (16%), and erythropoietin to 57 (11%) after a median time of 0.5 years (range, 0-18.7 years), 0.9 years (range, 0-18.7 years), and 1.6 years (range, 0-17.1 years), respectively. Splenectomy was performed in 46 (9%) patients after a median time of 1.7 years (range, 0-11 years) from diagnosis. Eight patients underwent allogeneic stem cell transplantation (SCT) after a median of 2.2 years (range, 1-5.6 years) from diagnosis and were censored at the time of bone marrow transplantation. Acute leukemia, with a threshold of 20% peripheral blast cells, occurred in 70 patients (13%). A total of 277 (53%) patients died. Known causes of death were disease evolution in 63 patients (40%), disease related in 22 (13%), infection in 25 (16%), bleeding in 19 (12%), transplant related in 3 (2%), congestive heart failure in 18 (11%), and cancer in 10 (6%).
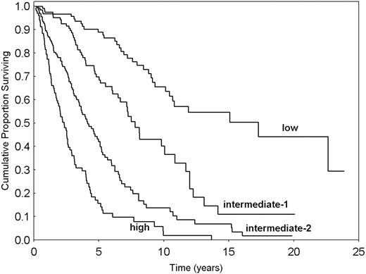
We tested the Cervantes et al score in our series of 525 patients with PMF. Median survival was 14.6 years in low-risk patients, 7.4 years in intermediate-1, 4 years in intermediate-2, and 2.3 years in high risk (Figure 1). Survival was significantly different among the 4 risk categories (P < .001).
Validation of the Cervantes et al score in 525 patients with primary myelofibrosis. The Cervantes et al score has been validated in 525 patients with primary myelofibrosis. The score was able to classify patients at diagnosis into 4 categories with a significantly different survival (P < .001).
Validation of the Cervantes et al score in 525 patients with primary myelofibrosis. The Cervantes et al score has been validated in 525 patients with primary myelofibrosis. The score was able to classify patients at diagnosis into 4 categories with a significantly different survival (P < .001).
Acquisition of risk factors during follow-up
To investigate the dynamics of the acquisition of each risk factor during follow-up, we evaluated the rate of occurrence, the time to acquisition, and the association with characteristics at diagnosis. Only patients who did not present the risk factor at diagnosis were included. Overall, 68 (26%) patients passed the 65-year age threshold, 158 (47%) developed marked anemia (Hb < 100 g/L [10 g/dL]), 72 (15%) developed leukocytosis (white blood cell [WBC] count > 25 × 109/L), 102 (27%) had 1% or higher peripheral blast cells, and 54 (14%) had constitutional symptoms.
Cumulative incidence analysis, with death as a competing risk, showed that the median anemia-free survival from diagnosis was 7.6 years (Figure 2A). According to proportional hazards multivariable regression, advanced age (P = .014), higher leukocyte count (P = .019), and lower hemoglobin level (P < .001) at diagnosis had an independent impact on the incidence of anemia. The cumulative incidence of leukocytosis was 21.6% at 15 years (Figure 2B). Advanced age (P = .032) and higher leukocyte count (P < .001) were independent prognostic factors for the acquisition of leukocytosis by multivariable analysis. The cumulative incidence of blast excess was 38.7% at 15 years (Figure 2C). Higher leukocyte count (P = .01) and lower platelet count (P = .01) independently affected blast-free survival. The cumulative incidence of constitutional symptoms was 22.2% at 15 years (Figure 2D) with age (P = .03) having an independent impact on the incidence of constitutional symptoms.
Cumulative incidence of acquisition of risk factors during follow-up, estimated with death as a competing risk in patients with primary myelofibrosis. The cumulative incidence of each risk factor has been calculated considering only patients who did not have the risk factor at diagnosis. (A) Time to anemia (hemoglobin < 100 g/L [10 g/dL]). (B) Time to leukocytosis (WBC count > 25 × 109/L). (C) Time to blastosis (peripheral blood blasts ≥ 1%). (D) Time to constitutional symptoms.
Cumulative incidence of acquisition of risk factors during follow-up, estimated with death as a competing risk in patients with primary myelofibrosis. The cumulative incidence of each risk factor has been calculated considering only patients who did not have the risk factor at diagnosis. (A) Time to anemia (hemoglobin < 100 g/L [10 g/dL]). (B) Time to leukocytosis (WBC count > 25 × 109/L). (C) Time to blastosis (peripheral blood blasts ≥ 1%). (D) Time to constitutional symptoms.
Impact of time-dependent covariates on survival
We performed univariate survival analysis by Cox regression models using age older than 65 years, hemoglobin less than 100 g/L (10 g/dL), white blood cell count greater than 25 × 109/L, peripheral blood blasts equal to or greater than 1%, and the presence of constitutional symptoms as time-dependent covariates. The hazard ratios (HRs) were 2.6 (95% confidence interval [CI]: 2.04-3.45; P < .001) for age, 3.57 (95% CI: 2.78-4.58; P < .001) for white blood cell count, 6.74 (95% CI: 4.93-9.21; P < .001) for hemoglobin, 3.55 (95% CI: 2.77-4.56; P < .001) for peripheral blood blasts, and 3.03 (95% CI: 2.60-4.20; P < .001) for constitutional symptoms. In a multivariable Cox proportional hazard regression, all variables retained statistical significance on survival (Table 2) and were therefore included in the dynamic model.
Multivariable Cox proportional hazard regression with time-dependent covariates in primary myelofibrosis for all ages and age younger than 65 years
| Time-dependent covariate . | HR . | 95% CI . | P . |
|---|---|---|---|
| All patients | |||
| Age older than 65 y | 1.98 | 1.52-2.60 | < .001 |
| WBC count greater than 25 × 109/L | 1.74 | 1.33-2.29 | < .001 |
| Hb level lower than 10 g/dL | 4.18 | 3.03-5.78 | < .001 |
| Peripheral blood blasts 1% or higher | 1.82 | 1.39-2.40 | < .001 |
| Constitutional symptoms | 2.06 | 1.61-2.65 | < .001 |
| Patients younger than 65 y | |||
| WBC count greater than 25 × 109/L | 1.7 | 1.01-2.95 | .048 |
| Hb level lower than 10 g/dL | 3.7 | 2.11-6.51 | < .001 |
| Peripheral blood blasts 1% or higher | 2.59 | 1.65-4.06 | < .001 |
| Constitutional symptoms | 3.04 | 1.93-4.80 | < .001 |
| Time-dependent covariate . | HR . | 95% CI . | P . |
|---|---|---|---|
| All patients | |||
| Age older than 65 y | 1.98 | 1.52-2.60 | < .001 |
| WBC count greater than 25 × 109/L | 1.74 | 1.33-2.29 | < .001 |
| Hb level lower than 10 g/dL | 4.18 | 3.03-5.78 | < .001 |
| Peripheral blood blasts 1% or higher | 1.82 | 1.39-2.40 | < .001 |
| Constitutional symptoms | 2.06 | 1.61-2.65 | < .001 |
| Patients younger than 65 y | |||
| WBC count greater than 25 × 109/L | 1.7 | 1.01-2.95 | .048 |
| Hb level lower than 10 g/dL | 3.7 | 2.11-6.51 | < .001 |
| Peripheral blood blasts 1% or higher | 2.59 | 1.65-4.06 | < .001 |
| Constitutional symptoms | 3.04 | 1.93-4.80 | < .001 |
HR indicates hazard ratio; WBC, white blood cell; and Hb, hemoglobin.
DIPSS model
As a first step, we assessed the validity of the Cervantes et al score17 as a time-dependent variable. This 4-category score, which gives the same weight to each risk factor, had a significant prognostic effect on survival (P < .001). However, the high HR associated with the acquisition of anemia by multivariable time-dependent Cox regression (Table 2) prompted us to assign a different weight to this parameter. We therefore defined a new scoring system (Table 3) by assigning each factor (age > 65 years, hemoglobin level < 100 g/L [10 g/dL], white blood cell count > 25 × 109/L, peripheral blood blasts ≥ 1%, and presence of constitutional symptoms) an integer weight close to the corresponding HR in the time-dependent multivariable Cox regression. To assess the prognostic impact of the resulting score, we included the score as a continuous time-dependent covariate in a Cox survival regression model. The HR was 1.94 (95% CI: 1.79-2.11, P < .001), that is, there is a 1.94-fold increase in hazard when the patient acquires each score value at any time from diagnosis. Kaplan-Meier survival curves (supplemental Figure 1, available on the Blood website; see the Supplemental Materials link at the top of the online article) corresponding to the 6 score values were significantly different by log-rank test and test for trend (P < .001). To facilitate the implementation of the score in clinical practice, we recoded it into 4 broader categories of adequate numerosity by pooling consecutive score values. The resulting risk categories are low (score = 0), intermediate-1 (score 1 or 2), intermediate-2 (score 3 or 4), and high (score 5 or 6). Median survival was not reached in low-risk patients; it was 14.2 years in intermediate-1, 4 years in intermediate-2, and 1.5 years in high risk (Figure 3). We analyzed the categoric DIPSS score as a time-dependent covariate in a Cox survival regression model. The estimated HRs were 4.13 (95% CI: 1.73-9.82; P < .001) if the risk category shifted from low to intermediate-1, 4.61 (95% CI: 3.18-9.82; P < .001) from intermediate-1 to intermediate-2, and 2.54 (95% CI: 1.94-3.31; P < .001) from intermediate-2 to high.
DIPSS for survival in primary myelofibrosis
| Prognostic variable . | Value . | ||
|---|---|---|---|
| 0 . | 1 . | 2 . | |
| Age, y | ≤ 65 | > 65 | |
| White blood cell count, ×109/L | ≤ 25 | > 25 | |
| Hemoglobin, g/dL | ≥ 10 | < 10 | |
| Peripheral blood blast, % | < 1 | ≥ 1 | |
| Constitutional symptoms, Y/N | N | Y | |
| Prognostic variable . | Value . | ||
|---|---|---|---|
| 0 . | 1 . | 2 . | |
| Age, y | ≤ 65 | > 65 | |
| White blood cell count, ×109/L | ≤ 25 | > 25 | |
| Hemoglobin, g/dL | ≥ 10 | < 10 | |
| Peripheral blood blast, % | < 1 | ≥ 1 | |
| Constitutional symptoms, Y/N | N | Y | |
The risk category is obtained adding up the values of each prognostic variable. Risk categories are defined as low: 0; intermediate-1: 1 or 2; intermediate-2: 3 or 4; and high: 5 or 6.
DIPSS indicates Dynamic International Prognostic Scoring System.
Kaplan-Meier estimate of survival in primary myelofibrosis according to the DIPSS. Risk categories were according to the score obtained anytime during follow-up. Low risk: score 0, intermediate-1 risk: score 1-2; intermediate-2 risk: score 3-4, and high risk: score 5-6.
Kaplan-Meier estimate of survival in primary myelofibrosis according to the DIPSS. Risk categories were according to the score obtained anytime during follow-up. Low risk: score 0, intermediate-1 risk: score 1-2; intermediate-2 risk: score 3-4, and high risk: score 5-6.
Age-adjusted DIPSS model
Because the age limit for treating patients using allogeneic SCT is set at 65 years, we developed an age-adjusted DIPSS (aaDIPSS) for younger patients (age < 65). In a multivariable Cox proportional hazard survival analysis, all covariates (hemoglobin level < 100 g/L [10 g/dL], white blood cell count > 25 × 109/L, peripheral blood blasts ≥ 1%, and presence of constitutional symptoms) were independent risk factors (Table 3), so they were all included in the aaDIPSS. We assigned integer score weights close to the corresponding HR (Table 4). When testing the score as a continuous time-dependent covariate in a Cox survival regression model, the resulting HR was 1.95 (95% CI: 1.68-2.27, P < .001), meaning a 1.95-fold increase in hazard when the patient acquires each score value at any time from diagnosis. By comparing the Kaplan-Meier survival curves corresponding to the 7 score values, both log-rank test (P < .001) and the test for trend (P < .001) gave significant results (supplemental Figure 2). We merged consecutive score values into 4 risk categories: low (score = 0), intermediate-1 (score 1 to 2), intermediate-2 (score 3 to 4), and high (score > 4). Median survival was not reached in low-risk patients; it was 9.8 years in intermediate-1, 4.8 years in intermediate-2, and 2.3 years in high risk (Figure 4). To investigate the prognostic role of the aaDIPSS score on survival, we analyzed the score as a categoric time-dependent covariate in a Cox survival regression model. The HR was 3.97 (95% CI: 1.5-10.5, P = .005) when category shifted from low to intermediate-1, 2.84 (95% CI: 1.46-5.54; P = .002) from intermediate-1 to intermediate-2, and 1.81 (95% CI: 1.08-3.04; P = .025) from intermediate-2 to high.
Age-adjusted DIPSS for survival in primary myelofibrosis
| Prognostic variable . | Value . | ||
|---|---|---|---|
| 0 . | 1 . | 2 . | |
| White blood cell count, ×109/L | ≤ 25 | > 25 | |
| Hemoglobin, g/dL | ≥ 10 | < 10 | |
| Peripheral blood blast, % | < 1 | ≥ 1 | |
| Constitutional symptoms, Y/N | N | Y | |
| Prognostic variable . | Value . | ||
|---|---|---|---|
| 0 . | 1 . | 2 . | |
| White blood cell count, ×109/L | ≤ 25 | > 25 | |
| Hemoglobin, g/dL | ≥ 10 | < 10 | |
| Peripheral blood blast, % | < 1 | ≥ 1 | |
| Constitutional symptoms, Y/N | N | Y | |
The risk category is obtained adding up the values of each prognostic variable. Risk categories are defined as low: 0; intermediate-1: 1 or 2; intermediate-2: 3 or 4; and high: more than 4.
DIPSS indicates Dynamic International Prognostic Scoring System.
Kaplan-Meier estimate of survival in primary myelofibrosis according to the aaDIPSS. Risk categories were according to the score obtained at any time during follow-up. Low risk: score 0, intermediate-1 risk: score 1-2; intermediate-2 risk: score 3-4; and high risk: score > 4.
Kaplan-Meier estimate of survival in primary myelofibrosis according to the aaDIPSS. Risk categories were according to the score obtained at any time during follow-up. Low risk: score 0, intermediate-1 risk: score 1-2; intermediate-2 risk: score 3-4; and high risk: score > 4.
Discussion
The IWG-MRT has recently developed a prognostic model for primary myelofibrosis based on 5 factors at diagnosis: age older than 65 years, hemoglobin lower than 100 g/L (10 g/dL), white blood cell count greater than 25 × 109/L, peripheral blood blasts equal to or greater than 1%, and constitutional symptoms.17 Although this scoring system remains a milestone in the prognostication of PMF, this model is applicable only to stratify patients at the time of diagnosis, given that it does not account for the effect of time changes of risk factors on survival.
Therefore, the goal of the new project of the IWG-MRT was to develop a dynamic prognostic model to classify patients with PMF into prognostic categories anytime according to recognized clinical features. This task was accomplished by evaluating patients followed on a regular basis, which means at least 3 visits a year. The DIPSS incorporates all risk factors identified at diagnosis by prior IWG-MRT study.17 These were also statistically significant when analyzed as time-dependent covariates in a multivariate Cox model. This approach showed that the acquisition of anemia over time affects survival with a HR roughly double than that of other parameters. This allows us to assign a greater weight to anemia in the score. Therefore, DIPSS differs from the Cervantes et al score, which gave the same weight to each risk factor. Comparing the 2 models, the time-dependent analysis confers a higher prognostic power to anemia. This is likely because anemia is the risk factor acquired most frequently and earlier during follow-up. The toxic effect of cytoreductive therapy on anemia should be ruled out, according to the inclusion criteria of the study. We presume that the relationship between the acquisition of anemia during follow-up and worse outcome is due mainly to disease progression. This information might drive early therapeutic intervention to correct anemia. In the DIPSS, anemia reflects myelodepletion, whereas other parameters involve other aspects of the disease such as myeloproliferation (leukocytes > 25 × 109/L; peripheral blood blasts ≥ 1%), the patient's response to the illness (constitutional symptoms), the patient's ability to tolerate intensive therapy (age), and the impact of comorbidities (age). Recently, a correlation between low JAK2 (V617F) allele burden, myelodepletive phenotype, and shortened survival has been proved in PMF.18 Investigators also provided evidence of a relationship between low JAK2 mutant allele burden and shorter time to anemia and to leukopenia. This JAK2-based prognostic model supports the negative impact of anemia on survival in PMF.
The advantage of a time-dependent analysis of survival is basically a realistic definition of risk categories, compared with a nondynamic analysis.24 In a non–time-dependent analysis, patients are assigned to a risk group on the basis of the assessment of risk factors at diagnosis, and are followed in the same category irrespective of the acquisition of other risk factors during disease course. In PMF, this is the case of the Cervantes et al score (Figure 1). According to a dynamic model, patients contribute to the estimate of survival in a score category only as long as they do not acquire further risk factors; then they shift to a higher score category. This is the case of the DIPSS (Figure 3). Survival curves obtained by the 2 different models are not directly comparable. However, differences in survival obtained with the 2 approaches are evident, especially in the case of low- and intermediate-1–risk categories. This is not surprising, as patients at low risk according to DIPSS are those who do not acquire a risk factor throughout follow-up, in contrast to those at low risk according to the Cervantes et al score. The discrepancy between high-risk categories of the 2 scoring systems seems lower, although still present. Therefore, keeping in mind the different basis of the 2 models, we may use the Cervantes et al score at diagnosis and the DIPSS anytime during the course of the disease.
From a practical point of view, anytime a decision has to be made on the basis of an updated prognostic status, the parameters of the DIPSS models will be checked and corresponding values will be assigned (Tables 3–4). The sum of the values will allow allocating the patient into a risk category (low, intermediate-1, intermediate-2, high). Cumulative survival can be estimated from the Kaplan-Meier curves. The corresponding cumulative probability of survival at each time point of the follow-up should be read in Figures 3 and 4 considering the time elapsed since diagnosis. This estimate remains applicable thereafter until a patient changes risk category. The increased risk when changing risk category can be estimated as a HR (Figures 3–4).
We developed separate models, one for all patients (the DIPSS) and one for patients younger than 65 years (the aaDIPSS), both applicable during the course of the disease. On the basis of modification of the DIPSS, a new calculation of life expectancy may be made and alternative treatment approaches may be considered. After the discovery of the JAK2 and MPL mutations, new molecules with anti-JAK2 properties have undergone preclinical testing and some are being investigated in clinical trials.25 The majority of these phase 2 trials include patients in advanced phases of the disease with a risk status different from that assessed at diagnosis. DIPSS may permit assignment of patients to the updated risk profile, therefore allowing appropriate patient selection. This model would also allow meaningful comparison of the results of different trials and definition of the role of new drugs in specific risk categories. Until now, the only potentially curative approach resulting in prolongation of survival is allogeneic SCT.26-30 This option may be offered to patients younger than 65 years, in whom the morbidity and mortality associated with the procedure must be balanced with the patient's life expectancy. In fact, a recent prospective multicenter study on allogeneic SCT after reduced-intensity conditioning included patients with an age ranging from 32 to 68 years (median, 55 years).30 In this context, the aaDIPSS may help in decision-making. As the age limit for transplantation is a moving target, we suggest applying DIPSS for fit patients older than 65 years, because this score also accounts for older age.
The dynamic models may also provide a framework for studies on the prognostic role of genetic markers in PMF.
In conclusion, this study shows that age older than 65 years, hemoglobin level lower than 100 g/L (10 g/dL), white blood cell count greater than 25 × 109/L, peripheral blood blasts equal to or greater than 1%, and constitutional symptoms predict survival independently and in a time-dependent manner in patients with PMF. The novelty of DIPSS and aaDIPSS is the prognostic assessment of PMF patients anytime during clinical course with a useful implication for clinical decision-making.
The online version of this article contains a data supplement.
The publication costs of this article were defrayed in part by page charge payment. Therefore, and solely to indicate this fact, this article is hereby marked “advertisement” in accordance with 18 USC section 1734.
Acknowledgments
This collaborative study has been conducted within the IWG-MRT (International Working Group for Myeloproliferative Neoplasms Research and Treatment).
This work has been supported in part by grants from AIRC (Associazione Italiana per la Ricerca sul Cancro), Fondazione Cariplo, and Alleanza Contro il Cancro, all in Italy (M. Cazzola). M.M. is supported by a grant from Centro per la Comunicazione e la Ricerca, Collegio Ghislieri.
Authorship
Contribution: F.P. and A.T. designed research; F.P. interpreted results and wrote the paper; C.P. did statistical analysis; and F.C., A.M.V., E.M., E.R., P.G., A.P., E.P., M. Caramella, M.M., M.L., and M. Cazzola performed research and revised the paper.
Conflict-of-interest disclosure: The authors declare no competing financial interests.
For a complete list of IWG-MRT participants, see the supplemental Appendix.
Correspondence: Francesco Passamonti, Division of Hematology, Fondazione IRCCS Policlinico San Matteo, Viale Golgi 19, 27100 Pavia, Italy; e-mail: f.passamonti@smatteo.pv.it.

![Figure 2. Cumulative incidence of acquisition of risk factors during follow-up, estimated with death as a competing risk in patients with primary myelofibrosis. The cumulative incidence of each risk factor has been calculated considering only patients who did not have the risk factor at diagnosis. (A) Time to anemia (hemoglobin < 100 g/L [10 g/dL]). (B) Time to leukocytosis (WBC count > 25 × 109/L). (C) Time to blastosis (peripheral blood blasts ≥ 1%). (D) Time to constitutional symptoms.](https://ash.silverchair-cdn.com/ash/content_public/journal/blood/115/9/10.1182_blood-2009-09-245837/4/m_zh89990948740002.jpeg?Expires=1769080176&Signature=VFP~OENgstThRIgcopl4b6BvtWtGgbrbN2RnFEP8VzEBRKBIzlxBreLyO80Q18Seu~4TmOh3p3JkXsJeoREHqdoFc33L0y8gia8P3rCSqjmcuccB4e-J5ojbcvix7FHyGnrjzd1aWEgNNxzpDbTIEYlR6dcrMHiDVJ~4oK-d7RV6z0o6OOVaXEMrILCHqvMHNeVUvA~1391CybVd33BM0p18y9QZYcFJHc20FjZiifv7ok9RUEerla5WsdGp5wQrZd3bhYDGWbd1eSP-B484rpU5hsIawIvD2IQI7cE-MQA7el~Qpz5N8gr5z4ZONcGhdnL85~oKsmirHZSKY2XcJA__&Key-Pair-Id=APKAIE5G5CRDK6RD3PGA)


This feature is available to Subscribers Only
Sign In or Create an Account Close Modal