Abstract
Lenalidomide (LEN) is a weak substrate of P-glycoprotein (P-gp) in vitro and renal excretion of LEN is the primary elimination route following oral administration. A P-gp inhibitor may have the potential to increase systemic exposure to LEN by reducing renal elimination at the tubular level and enhancing oral absorption at the gut level. Recently, a single uncontrolled phase 1 study (Hofmeister, 2011) and a case report (Takahashi, 2012) described that plasma exposure to LEN and temsirolimus was increased in multiple myeloma patients when lenalidomide was co-administered with a P-gp inhibitor (temsirolimus and intraconazole, respectively). This clinical study assessed LEN-drug interactions via P-gp using two probe drugs under controlled conditions. Quinidine, a P-gp inhibitor with high in vivo inhibition potential and proven effect on plasma exposure of the prototype P-gp substrate digoxin in humans, was used to maximize the likelihood of detecting drug-drug interactions via P-gp. Temsirolimus, a P-gp inhibitor/substrate, was used to evaluate P-gp mediated interactions on either drug in comparison with the results reported in literature.
This was a phase 1, single-center, open-label, 2-part, fixed-sequence crossover study conducted in healthy men. Part 1 comprised of 2 treatment periods with LEN alone (25 mg single dose on Day 1) in period 1, followed by LEN (on Day 4) plus quinidine (300 mg twice daily [BID] on Day 1 and 600 mg BID on Days 2–5) in period 2. Part 2 consisted of three treatment periods with LEN (25 mg single dose on Day 1) alone in period 1, temsirolimus (25 mg single dose intravenously [IV] on Day 1) alone in period 2, and LEN plus temsirolimus in period 3 (Day 1). Treatment periods were separated by a washout of 7–10 days. Serial samples were collected to determine the plasma, whole blood or urine concentrations of LEN, quinidine, and temsirolimus (and its active metabolite, sirolimus [also a P-gp inhibitor/substrate]). Safety was monitored throughout the study.
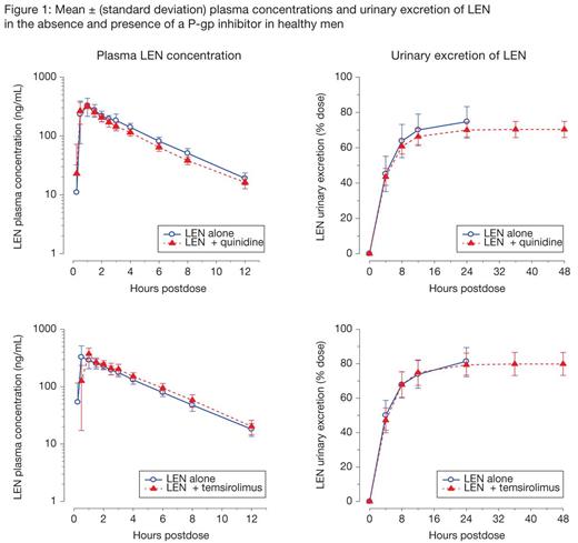
A total of 31 healthy men, aged 22 to 62 years; were enrolled (14 in Part 1 and 17 in Part 2). Renal excretion of LEN was almost complete at 12 h post dose for all treatments (Figure 1). In the absence or presence of a P-gp inhibitor, the mean percentage LEN dose excreted in the urine (74% vs 70% in Part 1, respectively; 81% vs 80% in Part 2) and renal clearance (227 vs 245 mL/min in Part 1; 251 vs 229 mL/min in Part 2) were similar, demonstrating that the rate and capacity of LEN renal excretion were not reduced by P-gp inhibition. Both the median time (1 h) to reach the maximum concentration (Cmax) and the oral bioavailability (70–80% of the administrated dose, as indicated by the renal excretion of unchanged drug) of LEN, were comparable in the absence or presence of a P-gp inhibitor (0.5–1 h and 74–81% of the dose, respectively); therefore, the rate and extent of LEN oral absorption were also not altered by P-gp inhibition. Consequently, there was no significant change in the plasma exposure to LEN in the presence of a P-gp inhibitor (Figure 1). The 90% confidence intervals (CIs) for the ratio of geometric means between LEN alone and LEN plus a P-gp inhibitor were completely contained within the equivalence limits of 80–125% for Cmaxand area under the concentration-time curve (AUC) of LEN. In addition, LEN had no effect on blood exposure to temsirolimus and sirolimus, with the 90% CIs for the ratio of their geometric mean Cmax and AUC between temsirolimus alone and temsirolimus plus LEN between 80–125%.
No significant safety findings were reported when LEN was given with quinidine or temsirolimus compared to LEN alone.
Co-administration of either the P-gp inhibitor quinidine or temsirolimus had no clinically relevant effect on the systemic exposure of LEN. Similarly, co-administration of LEN had no clinically relevant effect on the systemic exposure of the P-gp substrates temsirolimus and sirolimus. A single dose of LEN was well tolerated when co-administered with quinidine or temsirolimus in healthy men.
Chen:Celgene Corporation: Employment, Equity Ownership. Weiss:Celegene Corporation: Employment, Equity Ownership. Reyes:Celgene Corporation: Employment, Equity Ownership. Liu:Celgene Corporation: Employment, Equity Ownership. Kasserra:Celgene: Employment, Equity Ownership. Wang:Celgene Corporation: Employment, Equity Ownership. Zhou:Celgene Corporation: Employment, Equity Ownership. Kumar:Celgene Corporation: Employment, Equity Ownership. Weiss:Celgene Corporation: Employment, Equity Ownership. Palmisano:Celgene Corporation: Employment, Equity Ownership.
Author notes
Asterisk with author names denotes non-ASH members.

This feature is available to Subscribers Only
Sign In or Create an Account Close Modal