Abstract
Chronic graft-versus-host disease (cGVHD) is a major factor determining long term outcome and quality of life following allogeneic hematopoietic cell transplantation (AHSCT). In fact, cGVHD is the leading cause of late non-relapse mortality (NRM) and morbidity after AHSCT. The rates of severe cGVHD using NIH consensus criteria reported in the literature are 15-38%. Effective regimens are needed to reduce the severity of cGVHD and improve NRM. We analyzed and updated the long term outcomes of our phase 2 trial evaluating the efficacy of intermediate dose rabbit anti-thymocyte globulin (Thymo) in combination with tacrolimus and sirolimus for the prevention of acute and chronic GVHD after unrelated donor transplantation.
In a Phase II trial, 47 adult patients (pts) underwent AHSCT from unrelated donors using Thymo, tacrolimus, and sirolimus for GVHD prophylaxis. Thymo was given as follows: 0.5 mg/kg day -3, 1.5mg/kg day -2, and 2.5mg/kg day -1. Chronic GVHD was measured using NIH consensus criteria.
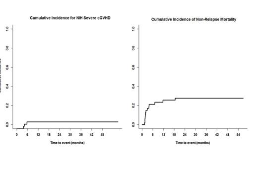
Twenty-two pts received 8/8 and 25 received 7/8 HLA matched unrelated grafts. Thirteen pts received a reduced intensity preparative regimen, while 34 pts received a full intensity regimen. The median follow-up duration was 45.2 months (95% CI 37.7-48.8), with minimum follow up of 30 months. At 4 years of follow up, the cumulative incidence of NIH severe cGVHD a, was 6.4 % (95% CI 1.6-15.9), and overall cumulative incidence of cGVHD was 48.9% (95% CI 33.6-62.6). Of 20 pts who are alive and disease free, only 4 pts continue to need systemic immune suppression at the last follow up. At 4 years of follow-up, the cumulative incidence of NRM and disease relapse were 27.7% (95% CI 15.7- 41.0) and 30.0% (95% CI 17.5- 43.6), respectively. There has been one non relapse death beyond 12 months and none after 18 months of follow up. Only one pt died from cGVHD and bronchiolitis obliterans, while two other pts had minimal symptoms from bronchiolitis obliterans. Progression free survival (PFS) and overall survival (OS) at 2 years were 50% (95% CI 35-64) and 56% (95% CI 42-70). Median OS is 33.9 months [95% CI (9.8 -*) *the upper limit of the CI was not calculated due to the pattern of censoring] All patients were censored after 40 months, so PFS and OS could not be calculated at 48 months. The median karnofsky performance status at 2 years was 90%.
At long term follow up, the combination of Thymoglobulin, Tacrolimus, and Sirolimus was associated with low incidence of severe cGVHD, low incidence of late NRM, and good performance status. Further validation of these results in randomized phase III trials is needed.
Al-Kadhimi:Genzyme: Research Funding. Off Label Use: The use of Thymoglobulin® for GVHD prevention.
Author notes
Asterisk with author names denotes non-ASH members.

This feature is available to Subscribers Only
Sign In or Create an Account Close Modal