Abstract
Introduction: Many patients, especially those from of ethnic minorities or mixed race, lack timely access to an HLA-identical sibling or 8 of 8 matched unrelated donor for allografting. HLA-haploidentical related donors (HID) are almost universally and rapidly available, and may be a valid alternative donor option for these patients. The approach developed in Baltimore that uses T-replete grafts from HID and post-transplant cyclophosphamide (ptCy) to control alloreactivity, (HIDT-ptCy), has demonstrated promising outcomes. No randomized comparisons of HIDT-ptCy to HLA-identical sibling transplants (MRDT) and matched unrelated donor transplants (MUDT) have been reported. We previously reported equivalent outcomes for HIDT-ptCy, MRDT and MUDT in a retrospective analysis (Bashey et al J. Clin Oncol 2013 vol 31:1310). In the current study we have used the recently developed and validated Dana-Farber/CIBMTR Disease Risk Index (DRI) (Armand et al Blood 2014 vol 123: 3664) as a measure of patient disease risk together with other patient, disease and transplant parameters in a multivariate analysis to compare outcomes of HIDT-ptCy to MRDT and MUDT in 498 consecutive patients who underwent a first allogeneic transplant for hematologic malignancy [MRDT (n=186), MUDT (n=196) and HIDT-ptCy (n=116)] at our center between 2/2005 and 2/2014.
MethodsEx-vivo T-depleted transplants and cord blood transplants were excluded. Supportive care measures were identical between the three groups. Cumulative incidences of acute and chronic GVHD were estimated with death being treated as the competing risk. Cox proportional hazards models, stratified on the three transplant groups, were developed using overall survival (OS), disease-free survival (DFS), non-relapse mortality (NRM), relapse as endpoints and other parameters as covariates. Adjusted survival and incidence of a transplant were calculated as the average survival and incidence of the given transplant, weighted by proportion of each patient prognostic factor in the pooled samples. GVHD was prospectively documented by a single dedicated nurse using established criteria including NIH consensus criteria for chronic GVHD.
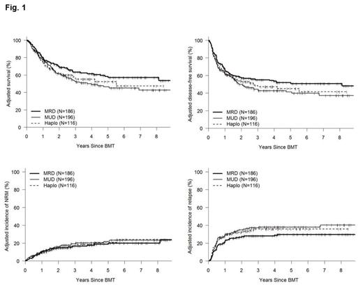
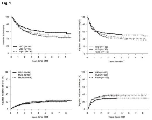
Results: Characteristics of the HIDT-ptCy patients were as follows: median age 51 (20-74); male 54%; regimen- myeloablative (40%) non-myeloablative (60%); graft- PBSC (80%) bone marrow (20%) ; Diagnoses- AML 41%, ALL 17%, CLL 11%, MDS/MPD 11%, NHL 10%, HL 9%, CML 9%, MM 2%; DRI- low (20%), intermediate (41%), high (34%), very high (5%); Sorror HCT-comorbidity index - 0 (29%), 1-3 (55%), >4 (16%); 14% had prior autografts. Median HLA mismatches were 5/10 (range 2/10 to 5/10). When compared to MRDT and MUDT, HIDT-ptCy patients had similar characteristics but were less likely to have myeloablative conditioning (p<0.001) and were more likely to have a BM graft (p<0.001). Median follow-up of surviving patients following MRDT, MUDT and HIDT-ptCy were 49m, 31m and 32 m. On multivariate analysis covariates found to have a significant effect upon the chosen endpoints were - OS: DRI, regimen intensity, age, HCT-CMI; DFS: DRI, regimen intensity, year of transplant, age &HCT-CMI; NRM: regimen intensity, diagnosis, age; Relapse: DRI, year of BMT, age. Adjusted estimates for OS, DFS, NRM and relapse are shown in Fig 1. For MRDT, MUDT and HIDT-ptCy respectively, adjusted estimates are as follows: NRM at 1year 10%, 10% and 9% and 2yrs 15%, 16%, 15%, Relapse at 1year – 21%, 29%, 30% and 2 yrs -27%, 35%, 32%; OS at 1 yr 80%, 78%, 75% and 2 yrs – 69%, 61% , 62%. DFS at 1 yr – 67%, 63%, 62% and 2 yrs – 57%, 50%, 54% (p=NS for all endpoints). The cumulative incidences of acute GVHD at 180 days were: grade 2-4 – 28%, 48% and 41% (p=0.055 MUDT vs HIDT and p=0.003 MRD vs HIDT); grade 3-4 – 9%, 19% and 17% (p=NS MUD vs HIDT, p=0.022 MRD vs HIDT) and chronic GVHD at 3 yrs were: extensive- 54%, 57%, 41% (p=0.004 MUD vs HIDT, p=0.014 MRD vs HIDT); NIH severe – 16%, 16%, 8% (p=0.035 MUD vs HIDT, p=0.044 MRD vs HIDT).
Conclusions: These data demonstrate that HIDT-ptCy produce similar long-term survival, DFS, NRM and relapse to MRDT and MUDT. Rates of extensive and severe chronic GVHD are lower following HIDT-ptCy than MRDT and MUDT. HIDT-PtCy should be considered a standard-of-care option for patients who may benefit from allografting but lack a conventional donor.
No relevant conflicts of interest to declare.
Author notes
Asterisk with author names denotes non-ASH members.

This feature is available to Subscribers Only
Sign In or Create an Account Close Modal