Abstract
Background: High-dose cytarabine (HD-AraC) is a promising therapy for acute myeloid leukemia (AML). However, it causes substantial toxicity, such as severe cytopenia and cytarabine-encephalopathy. The efficacy of HD-AraC for the treatment of core-binding-factor (CBF) AML has been well established; however, whether or not HD-AraC is suitable for the treatment of non-CBF AML is unclear. Moreover, it remains controversial whether HD-AraC is effective before allogeneic hematopoietic stem cell transplantation (allo-HSCT) for the treatment of non-CBF AML. In this study, we investigated the efficacy of HD-AraC in terms of optimal numbers of HD-AraC cycles required to treat non-CBF AML patients who did and did not receive allo-HSCT.
Methods: We retrospectively collected the data of consecutive AML patients who were aged 15-70 years, treated in our hospital and diagnosed between Jan. 2000 and Apr. 2014. Patients with acute promyelocytic leukemia (APL) and CBF AML were excluded. Only patients who achieved complete remission (CR) and received post-remission therapies with a curative intent were included; namely, only those who received allo-HSCT or completed more than one cycle of consolidation chemotherapy. Patients who exclusively received azacytidine-based or low-dose AraC-based therapies were excluded. HD-AraC therapy was defined as a chemotherapeutic regimen utilizing 12 g/m2/cycle or more of AraC. Patients who were not suitable for HD-AraC because of comorbidities were also excluded. Overall survival (OS) was separately analyzed in patients who underwent allo-HSCT in the 1st CR (group A) and in those who did not (group B). The unadjusted probabilities of OS were estimated using the Kaplan-Meier method, and univariate analysis was done using the log-rank test. Multivariate analysis was performed with Cox proportional hazard regression models, and 95% confidence intervals (CIs) were calculated. In multivariate analysis, the number of cycles of HD-AraC, age, cytogenetic data, and whether or not the patient achieved CR after the 1st cycle of chemotherapy were used as covariates. In group A, donor source and conditioning were also considered as covariates.
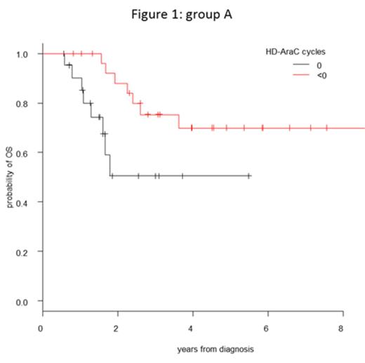
Results: A total of 166 non-APL, non-CBF AML patients were identified. Seventy-one patients were excluded for the following reasons: 50 did not achieve CR, 13 underwent incomplete consolidation therapies because of complications or early relapse, 7 had missing data, and 1 had chronic renal disease. For HD-AraC, toxicity was not a consideration for the discontinuation of treatment, but the dose of AraC was reduced to an intermediate dose (AraC<12g/m2/cycle) in some patients if severe toxicity was encountered. Among the 95 patients included in the study, the median age was 51 years. Twelve patients had unfavorable cytogenetics, and 50 patients received allo-HSCT in the 1st CR and were assigned to group A. As the treatment policy for consolidation therapy has undergone substantial changes in the last 15 years and the dose of AraC was switched from a high dose to an intermediate dose in some patients, the number of cycles of HD-AraC used for consolidation varied. The three-year OS (3y-OS) of patients who received 0, 1, 2, or >2 cycles of HD-AraC were 50.6%, 85.7%, 75.0%, and 68.6% (n=22, 9, 8, 11) in group A, and 44.3%, 16.0%, 65.6%, and 50.0% (n=19, 10, 10, 6) in group B, respectively. Univariate analysis showed that patients in group A who received one or more cycles of HD-AraC had a longer 3y-OS (75.4% vs 50.6%, p=0.024) (figure 1), whereas patients in group B who received two or more cycles of HD-AraC had a longer 3y-OS (57.1% vs 36.2%, p=0.078) (figure 2). Multivariate analysis of patients in group A showed that one or more cycles of HD-AraC resulted in a survival benefit (Hazard ratio=0.26, 95%CI: 0.070-0.98, p=0.046), whereas multivariate analysis of patients in group B showed that two or more cycles of HD-AraC (Hazard ratio=0.36, 95%CI: 0.13-0.97, p=0.044) and intermediate-risk of cytogenetics resulted in a survival benefit.
Conclusion: For consolidation chemotherapy, at least one cycle of HD-AraC is recommended for patients who plan to receive allo-HSCT, and at least two cycles is required for other patients.
No relevant conflicts of interest to declare.
Author notes
Asterisk with author names denotes non-ASH members.


This feature is available to Subscribers Only
Sign In or Create an Account Close Modal