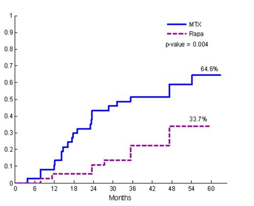
Current pharmacologic strategies employed in allogeneic hematopoietic cell transplantation (HCT) largely fail to prevent chronic graft vs. host disease and do not effectively induce donor-recipient immune tolerance. We report a long-term follow-up (LTFU) analysis of a randomized phase II trial comparing sirolimus/tacrolimus (SIR/TAC, n=37) vs. methotrexate/tacrolimus (MTX/TAC, n=37). The primary endpoint of the trial was grade II-IV acute GVHD within 100 days. Per protocol, SIR/TAC patients were treated with at least 1 year of SIR post-HCT. In the present LTFU analysis, we studied the following: Compliance with SIR; incidence, severity, classification, and organ manifestations of chronic and late acute GVHD; glucocorticoid exposure; discontinuation of immune suppression (IS); and current estimation of relapse, non-relapse mortality (NRM) and overall survival. A subset analysis examined chronic GVHD therapeutic outcomes. The study groups had no significant differences in recipient/donor age or gender, diagnosis and remission status, CIBMTR risk category, donor type, or conditioning regimen (p=NS). The cumulative incidence of grade II-IV acute GVHD through day 100 post-HCT differed (SIR/TAC: 43% vs. MTX/TAC: 89%, p < 0.001). Median follow up time for surviving patients was 41 months (range 27-60) for SIR/TAC and 49 months (range 29 – 63) for MTX/TAC. One patient discontinued SIR at 161 days post-HCT due to TMA (grade 1). Otherwise, SIR was not discontinued for toxicity, and the median duration of SIR therapy among patients (n=27) surviving ≥ 1 year was 33 months (range 5.29 – 60 months). NIH Consensus moderate-severe chronic GVHD was significantly lower in SIR/TAC vs. MTX/TAC (34% vs. 65%, p=0.004). NIH global (0-3) severity score was significantly lower in SIR/TAC vs. MTX/TAC (p=0.003). While not significantly different, lung, liver, and GI involvement and severity were decreased in the SIR/TAC group, and fewer cases had overlap subtype of chronic GVHD (7 vs. 14, p=0.15). Late acute GVHD was also significantly lower among SIR/TAC vs. MTX/TAC (20% vs. 43%, p=0.04). While SIR/TAC patients had lower prednisone exposure and earlier discontinuation of tacrolimus (median time to TAC discontinuation SIR/TAC 368 days vs. MTX/TAC 821 days, p=0.002), there was no difference in complete IS discontinuation (at 60 months post-HCT: SIR/TAC 43% vs. MTX/TAC 31%, p=0.78). Malignancy relapse was lower among SIR/TAC vs. MTX/TAC (19% vs. 39%, p=0.06), and overall survival was not different. Co-administration of escalated dose IV busulfan (7500µM/L*min/day) together with fludarabine resulted in excess NRM among SIR/TAC (NRM: 3/5) patients, but not MTX/TAC (NRM: 1/11). When restricted to standard dose conditioning, no difference in NRM was observed (at 48 months: SIR/TAC 10% vs. MTX/TAC 16%, p=0.98). Subgroup analysis of those with chronic GVHD did not demonstrate differences (second-line systemic IS therapy, treatment success, or failure-free survival) to suggest that ongoing SIR treatment modified the natural history and therapeutic responsiveness of chronic GVHD. In summary, prolonged sirolimus administration is associated with reduced moderate-severe chronic and late acute GHVD, decreased total prednisone exposure, and earlier TAC discontinuation post-HCT. Investigation of determinants of immune suppression discontinuation and development of tools to assess immune tolerance are needed to advance the field.

Figure:

Cumulative incidence of NIH Consensus moderate-severe chronic GVHD

Figure:

Cumulative incidence of NIH Consensus moderate-severe chronic GVHD

Close modal
Disclosures

No relevant conflicts of interest to declare.

Author notes

*

Asterisk with author names denotes non-ASH members.

Sign in via your Institution