Abstract
Introduction
The human recombinant filgrastim G-CSF has been widely used for mobilisation of CD34+ cells of healthy donors (HD) since 90´s. In 2008, G-CSF biosimilars were approved by the European Medicines Agency for the same indications as those authorized for original filgrastim (Neupogen®). These new drugs were authorized on the basis of extensive physicochemical and biological protein characterization and pharmacodynamics data as well as clinical comparative studies in the particular field of chemotherapy–induced neutropenia in patients with solid tumors. Since then, the reported experience on the use of G-CSF biosimilars for PBSC mobilisation has been very limited particularly, in the setting of HD mobilization for allogeneic transplant. We report our single center experience on the use of filgrastim biosimilar Zarzio® (Sandoz Biopharmaceuticals®) for mobilization of HD, compared with a cohort of donors mobilized with the original filgrastim.
Methods
Retrospective comparative analysis of all consecutive HD undergoing a 1st attempt of PBSC mobilisation using 10 mcg/Kg/24h x4 days G-CSF (Filgrastim biosimilar Zarzio® [case cohort] or Filgrastim, Neupogen® [control cohort]) and collected with the same cellular separator (Cobe Spectra, Terumo®). Apheresis was initiated on day 5 and was daily repeated, if needed, in order to achive at least 3.5 x106/Kg patient body weight (PBW). SAEs were also analysed in both cohorts. For the porpoise of the post-transplant engraftment analysis both cohorts were independently compared according to the grade of HLA compatibility (HLA identical vs Haploidentical). Volunteer HD were excluded from the engraftment analysis. Non-parametric test was used for 2 cohorts comparison.
Results
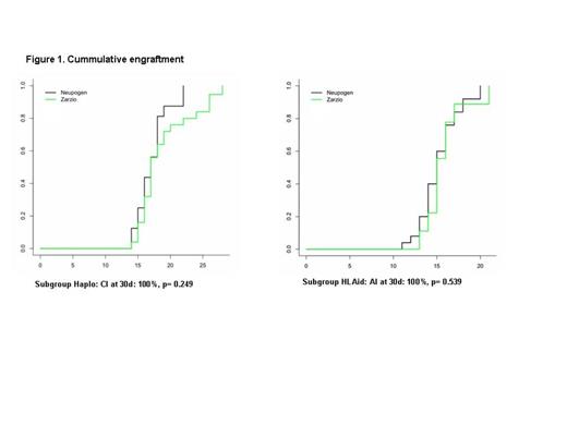
Forty five HD cases and 41 controls undergoing G-CSF mobilization between June-09 and April-14 were eligible for the analysis. Donor features were comparable for both cohorts (table 1). Doses of G-CSF required, pre-apheresis analytical parameters, leukapheresis procedures, processed volume and collected graft parameters were found similar in both groups (table 1). All donors collected more than 2 x106/Kg CD34+ cells. Cummulative incidence of engraftment at day 30 was 100% for both cohorts, the HLA identical setting (p=0.53) and the haplo sub-group (p=0.25). AES were not observed for both cohorts.
Conclusions
In our experience, efficacy of G-CSF biosimilar Zarzio® was similar to reference filgrastim (Neupogen®) in terms of dose administered, CD34+ cells collected, stem cell functionality and engraftment. No SAEs were found for both cohorts. These preliminary results should be confirmed with a longer follow up within a prospective randomized trial.
No relevant conflicts of interest to declare.
Author notes
Asterisk with author names denotes non-ASH members.


This feature is available to Subscribers Only
Sign In or Create an Account Close Modal