Abstract
Background: There has been major improvement in the survival of patients with multiple myeloma (MM), mostly due to the availability of more effective drugs and increased use of autologous hematopoietic progenitor cell transplantation (AHPCT). Access to AHPCT has been linked to demographic, geographic and socioeconomic parameters. We hypothesize that the distance between the patient county of residence and a transplant center is an adequate surrogate of access to advanced care (comprising not only AHPCT, but also experimental therapies) and may affect survival of MM patients.
Methods: We conducted an analysis of patients diagnosed with MM between 2002 and 2011 reported to the Surveillance Epidemiology and End Results program (SEER-18). Cases reported from death certificate or autopsy only, and cases with missing race or county of residence were excluded (1% of total). Patients were classified according to the distance between county of residence and the nearest program accredited by the Foundation for the Accreditation of Cellular Therapy (FACT): Cohort A (<20 miles), B (20-70 miles), C (70-200 miles) and D (>200 miles).
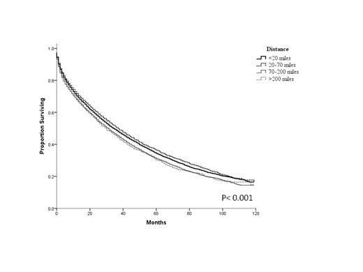
Results: We included 45,079 patients with median follow up of survivors of 30 months. There were substantial differences between the cohorts, particularly in race-ethnicity, income and education (Table 1). Median survival was 34, 37, 31 and 30 months for cohorts A, B, C and D respectively (Figure 1). Using Cox proportional hazards, we built two different survival models. Model 1 included demographic parameters and distance to transplant center. Compared to cohort A, risk of death was lower in cohort B and higher in cohorts C and D (Table 2). Model 2 included all parameters of model 1 plus median household income and proportion of adults in the county of residence with at least bachelor degree. Income and education were strongly associated with survival and displaced distance to transplant center from the model (Table 2). Other factors associated with worse survival were age, earlier year of diagnosis, male sex, presentation with plasma cell leukemia, and race-ethnicity.
Conclusion: Distance to transplant center, a surrogate for access to advanced care, is associated with survival in patients with MM, likely reflecting underlying differences in demographics, income and education.
Characteristics of the patients
| Total | A | B | C | D | ||
| N=45,079 | N=19,476 | N=15,614 | N=8,262 | N=1,727 | P | |
| Female | 20,419 (45.3%) | 8,967 (46.0%) | 7,036 (45.1%) | 3,654 (44.2%) | 762 (44.1%) | 0.02 |
| Age | 68.4 | 68.4 | 68.8 | 68.3 | 68.2 | 0.005 |
| Race-ethnicity | <0.001 | |||||
| AIAN | 211 (0.5%) | 39(0.2%) | 36 (0.2%) | 36 (0.4%) | 100 (5.8%) | |
| API | 2282 (5.1%) | 1381(7.1%) | 751 (4.8%) | 124 (1.5%) | 26 (1.5%) | |
| Hispanic | 4557 (10.1%) | 2504 (12.9%) | 1,129 (7.2%) | 470 (5.7%) | 454 (26.3%) | |
| NHB | 8615 (19.1%) | 4708 (24.2%) | 2,236 (14.3%) | 1,600 (19.4%) | 71 (4.1%) | |
| NHW | 29,414 (65.2%) | 10,844 (55.7%) | 11,462 (73.4%) | 6,032 (73.0%) | 1,076 (62.3%) | |
| Year of diagnosis | 0.02 | |||||
| 2002-2006 | 21,076 (46.8%) | 9,185 (47.2%) | 7,185 (46.0%) | 3,854 (46.6%) | 852 (49.3%) | |
| 2007-2011 | 24,003 (53.2%) | 10,291 (52.8%) | 8,429 (54%) | 4,408 (53.4%) | 875 (50.7%) | |
| Household income | $59.157 | $60,254 | $66,540 | $45,237 | $46,633 | <0.001 |
| Adults with at least bachelor degree | 29.7% | 32.8% | 31.6% | 19.7% | 24.3% | <0.001 |
| Disease | 0.46 | |||||
| Multiple Myeloma | 44,749 (99.3%) | 19,327 (99.3%) | 15,498 (99.3%) | 8,212 (99.2%) | 1,712 (99.1%) | |
| Plasma Cell Leukemia | 330 (0.7%) | 149 (0.7%) | 116 (0.7%) | 60 (0.8%) | 15 (0.9%) |
| Total | A | B | C | D | ||
| N=45,079 | N=19,476 | N=15,614 | N=8,262 | N=1,727 | P | |
| Female | 20,419 (45.3%) | 8,967 (46.0%) | 7,036 (45.1%) | 3,654 (44.2%) | 762 (44.1%) | 0.02 |
| Age | 68.4 | 68.4 | 68.8 | 68.3 | 68.2 | 0.005 |
| Race-ethnicity | <0.001 | |||||
| AIAN | 211 (0.5%) | 39(0.2%) | 36 (0.2%) | 36 (0.4%) | 100 (5.8%) | |
| API | 2282 (5.1%) | 1381(7.1%) | 751 (4.8%) | 124 (1.5%) | 26 (1.5%) | |
| Hispanic | 4557 (10.1%) | 2504 (12.9%) | 1,129 (7.2%) | 470 (5.7%) | 454 (26.3%) | |
| NHB | 8615 (19.1%) | 4708 (24.2%) | 2,236 (14.3%) | 1,600 (19.4%) | 71 (4.1%) | |
| NHW | 29,414 (65.2%) | 10,844 (55.7%) | 11,462 (73.4%) | 6,032 (73.0%) | 1,076 (62.3%) | |
| Year of diagnosis | 0.02 | |||||
| 2002-2006 | 21,076 (46.8%) | 9,185 (47.2%) | 7,185 (46.0%) | 3,854 (46.6%) | 852 (49.3%) | |
| 2007-2011 | 24,003 (53.2%) | 10,291 (52.8%) | 8,429 (54%) | 4,408 (53.4%) | 875 (50.7%) | |
| Household income | $59.157 | $60,254 | $66,540 | $45,237 | $46,633 | <0.001 |
| Adults with at least bachelor degree | 29.7% | 32.8% | 31.6% | 19.7% | 24.3% | <0.001 |
| Disease | 0.46 | |||||
| Multiple Myeloma | 44,749 (99.3%) | 19,327 (99.3%) | 15,498 (99.3%) | 8,212 (99.2%) | 1,712 (99.1%) | |
| Plasma Cell Leukemia | 330 (0.7%) | 149 (0.7%) | 116 (0.7%) | 60 (0.8%) | 15 (0.9%) |
Multivariate analysis of factors associated with survival in MM
| Factor | Reference | HR | 95% C.I. | P |
| Model 1 | ||||
| Year of diagnosis | Per year | 0.963 | 0.959-0.968 | <0.001 |
| Age at diagnosis | Per year | 1.042 | 1.041-1.044 | <0.001 |
| Female | Male | 0.90 | 0.89-0.93 | <0.001 |
| Plasma Cell Leukemia | Multiple Myeloma | 2.94 | 2.60-3.31 | <0.001 |
| Race-ethnicity | <0.001 | |||
| AIAN | NHW | 1.04 | 0.87-1.26 | 0.65 |
| API | NHW | 1.03 | 0.97-1.09 | 0.32 |
| Hispanic | NHW | 1.14 | 1.09-1.19 | <0.001 |
| NHB | NHW | 1.11 | 1.07-1.15 | <0.001 |
| Distance to advanced care | <0.001 | |||
| 20 - 70 miles | <20 miles | 0.96 | 0.93-0.99 | 0.005 |
| 70-200 miles | <20 miles | 1.10 | 1.06-1.14 | <0.001 |
| >200 miles | <20 miles | 1.10 | 1.03-1.17 | 0.004 |
| Model 2 | ||||
| Year of diagnosis | Per year | 0.963 | 0.959-0.968 | <0.001 |
| Age at diagnosis | Per year | 1.042 | 1.041-1.044 | <0.001 |
| Female | Male | 0.91 | 0.89-0.93 | <0.001 |
| Plasma Cell Leukemia | Multiple Myeloma | 2.94 | 2.60-3.31 | <0.001 |
| Race-ethnicity | <0.001 | |||
| AIAN | NHW | 1.04 | 0.86-1.25 | 0.68 |
| API | NHW | 1.06 | 1.00-1.12 | 0.04 |
| Hispanic | NHW | 1.15 | 1.10-1.20 | <0.001 |
| NHB | NHW | 1.08 | 1.05-1.12 | <0.001 |
| Household income | Per $10,000 | 0.98 | 0.96-0.99 | 0.001 |
| % adults with bachelor degree | Per % point | 0.994 | 0.992-0.996 | <0.001 |
| Factor | Reference | HR | 95% C.I. | P |
| Model 1 | ||||
| Year of diagnosis | Per year | 0.963 | 0.959-0.968 | <0.001 |
| Age at diagnosis | Per year | 1.042 | 1.041-1.044 | <0.001 |
| Female | Male | 0.90 | 0.89-0.93 | <0.001 |
| Plasma Cell Leukemia | Multiple Myeloma | 2.94 | 2.60-3.31 | <0.001 |
| Race-ethnicity | <0.001 | |||
| AIAN | NHW | 1.04 | 0.87-1.26 | 0.65 |
| API | NHW | 1.03 | 0.97-1.09 | 0.32 |
| Hispanic | NHW | 1.14 | 1.09-1.19 | <0.001 |
| NHB | NHW | 1.11 | 1.07-1.15 | <0.001 |
| Distance to advanced care | <0.001 | |||
| 20 - 70 miles | <20 miles | 0.96 | 0.93-0.99 | 0.005 |
| 70-200 miles | <20 miles | 1.10 | 1.06-1.14 | <0.001 |
| >200 miles | <20 miles | 1.10 | 1.03-1.17 | 0.004 |
| Model 2 | ||||
| Year of diagnosis | Per year | 0.963 | 0.959-0.968 | <0.001 |
| Age at diagnosis | Per year | 1.042 | 1.041-1.044 | <0.001 |
| Female | Male | 0.91 | 0.89-0.93 | <0.001 |
| Plasma Cell Leukemia | Multiple Myeloma | 2.94 | 2.60-3.31 | <0.001 |
| Race-ethnicity | <0.001 | |||
| AIAN | NHW | 1.04 | 0.86-1.25 | 0.68 |
| API | NHW | 1.06 | 1.00-1.12 | 0.04 |
| Hispanic | NHW | 1.15 | 1.10-1.20 | <0.001 |
| NHB | NHW | 1.08 | 1.05-1.12 | <0.001 |
| Household income | Per $10,000 | 0.98 | 0.96-0.99 | 0.001 |
| % adults with bachelor degree | Per % point | 0.994 | 0.992-0.996 | <0.001 |
No relevant conflicts of interest to declare.
Author notes
Asterisk with author names denotes non-ASH members.

This feature is available to Subscribers Only
Sign In or Create an Account Close Modal