Abstract
Severe deficiency of vitamin K–dependent proteins in patients not maintained on vitamin K antagonists is most commonly associated with poisoning by or surreptitious ingestion of warfarin, warfarin-like anticoagulants, or potent rodenticides (“superwarfarins”), such as brodifacoum. Serious bleeding manifestations are common. Superwarfarins are 2 orders of magnitude more potent than warfarin and have a half-life measured in weeks. These rodenticides are readily available household environmental hazards and are sometimes consumed accidentally or as manifestations of psychiatric disease. Immediate diagnosis and proper therapy is critically important to minimize morbidity and mortality because this condition, affecting thousands of patients annually, is reversible. Treatment with large doses of oral vitamin K1, often over months to years, to maintain a near-normal prothrombin time can reverse the coagulopathy associated with superwarfarins. Although these patients initially present to various medical specialties, the hematologist is often consulted to offer the definitive diagnosis and proper therapy.
Introduction
The onset of severe bleeding in a previously well patient or the identification of laboratory abnormalities indicating a high risk of severe bleeding can be a challenging presentation to the hematologist. Although the differential diagnosis can be extensive, the rapid determination of the presence of a prolonged prothrombin time (PT) and partial thromboplastin time (PTT) followed by demonstration of specific deficiency of vitamin K–dependent blood coagulation protein activities greatly narrows the diagnostic possibilities. Given the life-threatening nature of this disorder and its complete resolution with appropriate therapy, rapid and accurate diagnosis is critical.
Case 1
A 67-year-old man with a history of coronary artery disease previously treated with coronary artery stenting and for hypertension, hyperlipidemia, and depression presented with 2 days of epistaxis and hematuria. Medications included aspirin, clopidogrel, atorvastatin, labetalol, hydrochlorothiazide, lisinopril, isosorbide mononitrate, and venlafaxine. Clinical examination was notable only for blood in both nares and the absence of petechiae or purpura. His initial PTT was 92.2 seconds and PT and international normalized ratio (INR) were prolonged beyond the measured limit of 160 seconds and 14, respectively. The complete blood count was normal and no schistocytes were evident. His nares were cauterized and packed, and hemostasis was achieved with fresh frozen plasma (6 U) and vitamin K (30 mg). At transfer, his coagulopathy persisted with a PTT of 129.8 seconds, a PT of 135.8 seconds, and an INR of 17.9. Inhibitor screens were negative, thrombin time was normal, and specific coagulation factor assays were notable for prothrombin (0.11 IU/mL), factor VII (<0.01 IU/mL), factor IX (0.04 IU/mL), and factor X (0.10 IU/mL). Factor V (1.33 IU/mL), factor VIII (1.66 IU/mL), and antithrombin III (1.1 IU/mL) were normal. His PT and PTT were normal within the preceding year.
Case 2
A 48-year-old woman with a history of photosensitivity and fibromyalgia noted the onset of hematuria, ecchymoses, and hematomas on her wrist, face, lower back, and ankles. She complained of pain, weakness, and dizziness. She had no prior bleeding history, including after surgical procedures and dental extractions. Medications included hydroxychloroquine, gabapentin, and duloxetine. Her hemoglobin level was 7.4, hematocrit 22, PT >160 seconds, INR 15, PTT >200 seconds, and a platelet count of 332 000. Inhibitor screens were negative, her thrombin time was 14.2 seconds, and specific coagulation factor assays were notable for prothrombin (0.02 IU/mL), factor VII (0.07 IU/mL), factor IX (0.04 IU/mL), and factor X (0.05 IU/mL). Factor V (1.34 IU/mL), factor VIII (1.57 IU/mL), and fibrinogen (382 mg/dL) were normal.
Comments
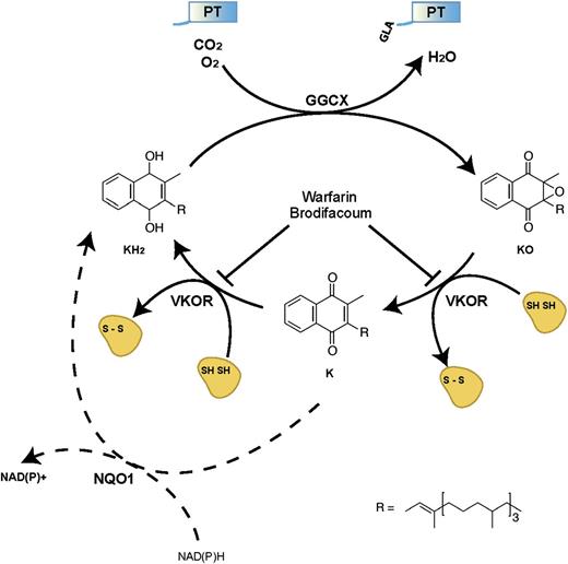
Both cases demonstrate a potentially life-threatening coagulation disorder associated with deficiencies of vitamin K–dependent proteins. The reduced hydroquinone form of vitamin K1 is required for the posttranslational γ-carboxylation1,2 of select glutamic acid residues in the precursor forms of the 4 procoagulant vitamin K–dependent proteins: prothrombin, factor VII, factor IX, and factor X.3 Modification of these proteins enables them to chelate calcium and bind to anionic membranes exposed at sites of tissue injury.4 Vitamin K hydroquinone is oxidized to vitamin K epoxide during γ-carboxylation.5 Because mammals are unable to synthesize vitamin K de novo, vitamin K epoxide must be recycled to its hydroquinone form to complete the vitamin K cycle (Figure 1). The reductive branch of the cycle in hepatocytes is predominantly catalyzed by the vitamin K epoxide reductase (VKOR) encoded by VKORC1.6,7 The electrons to reduce vitamin K are supplied by the reduced dithiol motif within thioredoxin-like proteins.8-11 Vitamin K antagonists such as warfarin inhibit VKOR to disrupt the vitamin K cycle, resulting in undercarboxylation of vitamin K–dependent proteins and lowering the functional levels of vitamin K–dependent blood coagulation proteins.
Vitamin K cycle. Vitamin K hydroquinone (KH2) is oxidized to vitamin K epoxide (KO) by the vitamin K-dependent γ-glutamyl carboxylase (GGCX) with concomitant carboxylation of glutamic acid to γ-carboxyglutamic acid (GLA) in PT and other vitamin K–dependent proteins. VKOR uses electrons from a thioredoxin-like protein dithiol to reduce vitamin K epoxide to vitamin K quinone (K) and then vitamin K hydroquinone to complete the vitamin K cycle. VKOR is sensitive to inhibition by warfarin, brodifacoum, and other vitamin K antagonists. A NADPH-dependent pathway catalyzed by NQO1 and related enzymes may help to rescue blood coagulation after coumarin poisoning. NAD(P)+, NAD phosphate.
Vitamin K cycle. Vitamin K hydroquinone (KH2) is oxidized to vitamin K epoxide (KO) by the vitamin K-dependent γ-glutamyl carboxylase (GGCX) with concomitant carboxylation of glutamic acid to γ-carboxyglutamic acid (GLA) in PT and other vitamin K–dependent proteins. VKOR uses electrons from a thioredoxin-like protein dithiol to reduce vitamin K epoxide to vitamin K quinone (K) and then vitamin K hydroquinone to complete the vitamin K cycle. VKOR is sensitive to inhibition by warfarin, brodifacoum, and other vitamin K antagonists. A NADPH-dependent pathway catalyzed by NQO1 and related enzymes may help to rescue blood coagulation after coumarin poisoning. NAD(P)+, NAD phosphate.
The differential diagnosis at this stage in both cases is limited to: (1) vitamin K deficiency; (2) hereditary deficiency of either the vitamin K–dependent carboxylase or the vitamin K epoxide reductase; or (3) accidental or surreptitious ingestion of a vitamin K antagonist, either pharmacologic (eg, warfarin, phenprocoumon) or a potent rodenticide (“superwarfarin”).
Vitamin K deficiency from inadequate intake or malabsorption
Vitamin K deficiency is usually obvious from a patient’s clinical history. Bleeding from vitamin K deficiency during days 2 to 7 after birth represents the classic hemorrhagic disease of the newborn for which it is now routine practice to administer prophylactic vitamin K at birth.12 In the developed world, frank malnutrition is seen in vulnerable populations including children and the elderly, but clinically significant vitamin K deficiency presenting with bleeding is rare because the daily requirement for vitamin K is very low (only about 100 μg). Healthy subjects who maintained a diet devoid of vitamin K for up to 40 days had subtle accumulation of des-γ-carboxyprothrombin, an undercarboxylated nonfunctional form of prothrombin,13,14 but no prolongation of the prothrombin time despite depletion of serum vitamin K.15,16 A variety of gastrointestinal malabsorption disorders, including pancreatic insufficiency, sprue, and short gut syndrome, may result in malabsorption of vitamin K, a fat-soluble vitamin, despite adequate nutrition. Prolongation of the prothrombin time may be seen in chronically ill and hospitalized patients with nutritional deficiency who are concurrently treated with antibiotics. Broad-spectrum antibiotics decrease production of menaquinone (vitamin K2) by the commensal bacteria of the gut17 and contribute to significant hypoprothrombinemia.18,19 Decreased activity of vitamin K–dependent proteins is observed in liver disease resulting from decreased protein synthesis. Additional coagulation protein activities such as factor V are also depressed.20 An accompanying minor defect in γ-carboxylation of the vitamin K–dependent proteins is of no hemostatic significance.13
Hereditary deficiency of either vitamin K–dependent carboxylase or VKOR
Inherited defects must be considered, but can usually be eliminated by prior history of normal coagulation studies or surgical challenge (including tooth extraction) without bleeding or the absence of a significant bleeding history. Although deficiency of individual blood clotting factors may result in prolongation of routine coagulation assays, these defects do not result in deficiency of all vitamin K–dependent proteins. Combined vitamin K–dependent clotting factor deficiency, a rare genetic disorder, is not characterized by a familial bleeding history because it is an autosomal recessive disorder. Congenital deficiency exists in 2 complementation groups: those with mutations in the gene GGCX encoding the vitamin K–dependent γ-carboxylase (VKDCFD type I)21 and those with mutations in the VKORC1 gene encoding the vitamin K epoxide reductase paralog most highly expressed in liver (VKDCFD type II).6,7
Overdose, accidental, or surreptitious ingestion of a vitamin K antagonist
The most common cause of isolated deficiency of vitamin K–dependent coagulation proteins is the presence of a vitamin K antagonist. There are 2 classes of vitamin K antagonists: (1) pharmacologic agents used as oral antithrombotics and (2) rodenticides used to control mouse and rat populations. Both groups carry risks to human health. Pharmacologic agents such as warfarin are widely used for chronic anticoagulation of patients with a variety of cardiovascular diseases. Either from difficulties in compliance, errors in INR monitoring, exacerbation of heart failure with concomitant hepatic congestion, or concurrent ingestion of alcohol or drugs that enhance the pharmacologic action of oral anticoagulants, patients taking warfarin or other oral vitamin K antagonist medications can demonstrate excessive levels of the INR above that considered therapeutic. This results in marked deficiency of vitamin K–dependent blood coagulation proteins. Rates of major bleeding are estimated at about 1% annually in all patients taking warfarin therapeutically,22 and those with an excessively high INR have a much higher rate of bleeding.23 Given the broad availability of warfarin, accidental ingestion among children and the elderly is also common. “Factitious purpura” is a clinical variant of Munchausen’s syndrome resulting from intentional ingestion of coumarin agents for secondary gain, and warfarin is frequently ingested by psychiatric patients attempting suicide.24 Poisoning with warfarin itself accounted for 3777 reports to poison control centers in 2012, although these ingestions are underreported because of the delay between exposure and presentation.25
Warfarin is also used as a rodenticide. Because rodent populations have developed increasing resistance to warfarin through mutations in VKORC1, “superwarfarins” have been developed that are potent VKOR inhibitors with longer half-lives.26,27 Brodifacoum (the active ingredient of D-Con) is the most commonly encountered rodenticide in the United States, but there are many superwarfarins including coumatetralyl and a growing family of indanediones (eg, bromadiolone, diphenadione). These superwarfarins are not for human use and have the potential to induce a profound and sustained coagulopathy when ingested. Nevertheless, there were 9555 reported superwarfarin poisonings in 2012.25
Differential diagnosis of vitamin K–dependent protein deficiency
Reviewing cases 1 and 2, we can consider the various diagnostic possibilities and focus on the most likely issue. Given their age and absence of malabsorption, recent hospitalization, and medication history, it is apparent that neither of these patients is deficient in vitamin K. The absence of a bleeding history despite surgical intervention argues strongly against a hereditary basis for the deficiency of vitamin K–dependent proteins. This leads to a focus on the ingestion of a vitamin K antagonist. Neither patient had been prescribed an anticoagulant, so the ingestion must be either accidental or surreptitious. In case 1, given the deficiency of the vitamin K–dependent coagulation factors and persistence of coagulopathy despite 30 mg of vitamin K, the presence of a long-acting vitamin K antagonist rodenticide was presumed. This patient was then started empirically on high-dose oral vitamin K of 75 mg by mouth twice daily, with partial correction to an INR <2 after 1 week and a normal INR of 1.1 after 4 months of oral vitamin K therapy. Toxicologic studies subsequently confirmed the presence of serum brodifacoum. Despite extensive investigation and psychiatric evaluation, the basis of brodifacoum ingestion was never identified.
In case 2, supportive care involved transfusion of fresh frozen plasma given the severe anemia and significant bleeding. Superwarfarin ingestion was again suspected, and the patient was treated with vitamin K1, 100 mg orally daily, with correction of PT and PTT within 2 days. The results of an anticoagulant poisoning panel were positive for brodifacoum and negative for warfarin, dicumarol, chlorophacinone, difenacoum, and bromadiolone. The basis of brodifacoum ingestion was also never identified.
Treatment of isolated deficiency of vitamin K–dependent proteins
Step 1: Initiate steps toward making the diagnosis.
With knowledge of the prolonged PT and PTT, mixing studies to rule out an inhibitor of blood coagulation and a screen for disseminated intravascular coagulation (fibrinogen, d-dimer, complete blood count including platelet count) should be followed sequentially by an assay of prothrombin, factor X, factor VII, factor IX, and then factor V. With deficiency of only vitamin K–dependent proteins and preservation of factor V and fibrinogen, the diagnosis of specific deficiency of vitamin K–dependent proteins is secure. Fibrinogen and its degradation products will be normal, distinguishing disruption of the vitamin K cycle from liver failure. The thrombin time is also not affected. Mixing studies will not demonstrate an inhibitor. Complete blood counts and peripheral blood smear will be normal unless there is anemia to parallel significant bleeding. It is helpful to know the vitamin K antagonist used, but it is rarely possible to elicit this information from the patient. A serum warfarin level should be sent to a reference laboratory and an additional sample should be frozen for later evaluation with an anticoagulant poisoning panel. If warfarin is undetectable, it should be assumed that a superwarfarin is responsible.
Step 2: Manage severe bleeding.
If clinically significant major bleeding is present,28 then 10 mg of vitamin K should be administered intravenously in conjunction with prothrombin complex concentrate, fresh frozen plasma, or frozen plasma because even modest elevation of vitamin K–dependent proteins may control hemorrhage. However, even partial correction of the prothrombin time requires de novo synthesis of vitamin K–dependent proteins, with alterations of the prothrombin time measured in days even in the absence of vitamin K antagonists. If a superwarfarin is suspected, then empiric high-dose oral vitamin K should also be initiated (refer to step 3). In those with severe or life-threatening bleeding, a 4-factor prothrombin complex concentrate such as Kcentra (Kcentra in the United States; Beriplex in other jurisdictions; Octaplex is another similar prothrombin complex concentrate with Food and Drug Administration approval) should be administered.29 Frozen plasma is an alternative if the prothrombin complex concentrates are not readily available. There is little evidence to support the use of recombinant factor VIIa for this indication.30 In the absence of bleeding, a prolonged prothrombin time is not an indication for fresh frozen plasma or frozen plasma. In the bleeding patient, these agents will help to achieve hemostasis and provide time for vitamin K to reverse the effect of the antagonist.
Step 3: Reverse the effect of the vitamin K antagonist with vitamin K.
The treatment of vitamin K–dependent protein deficiency resulting from warfarin and that resulting from brodifacoum or superwarfarins is dramatically different. Unless there is a clear history of specific ingestion or access to a rapid toxicology screen, one must usually initiate treatment on suspicion of the diagnosis even before it is confirmed.
Several guidelines are available to guide reversal of the supratherapeutic INR resulting from warfarin intoxication.29,31,32 The approach to reversal should depend upon the urgency and the degree of INR elevation. In the absence of clinically significant bleeding and an elevated INR between 5 and 9, discontinuing the vitamin K antagonist with or without administration of 1 to 2.5 mg oral vitamin K is generally sufficient. Oral vitamin K (5 to 10 mg) may be considered if the INR is >9. The administration of vitamin K, however, will interfere with getting the patient back into a stable therapeutic range. In the case of accidental or surreptitious ingestion, high-dose oral therapy is preferable because there is no subsequent need to establish a therapeutic INR. Although 5 mg oral vitamin K and 1 mg intravenous vitamin K are generally equivalent at 24 hours,33 intravenous vitamin K has a more rapid effect, making it preferable when bleeding is present or urgent intervention is required. There is a risk of anaphylaxis from intravenous vitamin K, but this risk has been mitigated in modern preparations and can be further reduced by diluted administration over 30 minutes.34
Superwarfarins are far more resistant to reversal of their effects. Furthermore, the actual agent and the amount ingested are rarely known on presentation. The goal is to administer vitamin K orally and at the lowest dose possible to maintain a PT in the normal range. However, the long-term effects of large doses of vitamin K are unknown. Often, in the case of serious bleeding manifestations, after control of the bleeding with prothrombin complex concentrate or frozen plasma, intravenous vitamin K is administered at doses of 50 mg/day or higher divided into 4 infusions over 30 min/day. After obtaining a response, with significant shortening of the prothrombin time, intravenous vitamin K1 can be replaced with oral vitamin K1. The dose of oral vitamin K necessary to rescue blockade of VKOR will vary by case and must be empirically determined in each patient via titration based on the prothrombin time. A low total daily dose of oral vitamin K1 may be 25 mg daily, a typical dose on the order of 100 mg daily35 ; to our knowledge the highest reported dose is 400 mg daily.36 Measurements of the plasma half-life of brodifacoum in humans vary, but estimates range from 16 to 36 days.35,37 Because brodifacoum is fat-soluble, has a very large volume of distribution, is concentrated in hepatocytes, and is 2 orders of magnitude more potent than warfarin,27,38,39 disruption of the vitamin K cycle can exist far beyond the detection of serum levels, with hemostatic defects extending in some cases beyond a year of ingestion of the superwarfarin.35 Serial serum brodifacoum levels can be used to approximate elimination kinetics,36 but these levels do not necessarily correlate with tissue levels. Based on a longitudinal study of 3 cases in which the prothrombin time and vitamin K epoxide:vitamin K1 ratio were measured for months to years until a “cure” was achieved,35 we favor initiating a slow taper of vitamin K dose with close monitoring of the PT to keep the PT normal or near normal—to eliminate increased bleeding risk. Vitamin K can be discontinued as soon as it is no longer required to maintain a near-normal PT, but typically treatment will extend from 3 to 6 months and sometimes more than a year.
Step 4: Long-term evaluation.
With the serum samples obtained at presentation, the evaluation can be completed by assay for superwarfarins, specifically brodifacoum. The finding of brodifacoum in the serum establishes the diagnosis. When warfarin, brodifacoum, and other superwarfarins are undetectable, one of the less commonly ingested superwarfarins must be assumed to be the culprit.
Additional testing is desirable for academic interest, but not required. An especially sensitive measure of vitamin K deficiency or the presence of a vitamin K antagonist is the accumulation of the nonfunctional, abnormal prothrombin des-γ-carboxy prothrombin, also known as protein induced by vitamin K absence or PIVKA-II.13,14 γ-Carboxyglutamic acid–containing peptides are stoichiometrically excreted in urine, and a decrease in γ-carboxyglutamic acid–containing peptides can be readily detected when a vitamin K antagonist is present.40
Determination of serum vitamin K1 quinone levels by high-performance liquid chromatography is available in reference laboratories to discriminate states of vitamin K deficiency (eg, malnutrition, malabsorption, antibiotic use) from genetic or chemical blockade of the vitamin K cycle. The reference range for serum vitamin K is 0.10 to 2.20 ng/mL, but it remains unclear what lower limit should be recommended.41 Disruption of the vitamin K cycle by vitamin K antagonists results in a dramatically increased vitamin K1 epoxide to vitamin K1 quinone ratio in serum, but currently there is no commercially available assay for measurement of the epoxide form.
Step 5: Psychosocial evaluation.
Evaluation of a patient with suspected vitamin K antagonist ingestion must include a thorough psychosocial assessment. Psychiatry should be consulted because attempted suicide and factitious purpura must be considered. Social services or law enforcement should also be involved to evaluate abuse, intentional poisoning, home living conditions, home safety for both young children and the elderly, and other potential sources of exposure.
Biochemistry of vitamin K rescue
Vitamin K is an effective antidote for poisoning with a vitamin K antagonist.42,43 There are 2 distinct enzymatic activities capable of reducing vitamin K1 quinone to the hydroquinone form.44,45 Pathway I is the dithiol-driven activity now known to be catalyzed by VKOR,6,7 whereas pathway II is a reduced NAD phosphate (NADPH)-dependent activity contributed in part by the flavoprotein NADPH:quinone oxidoreductase 1 (NQO1).46-48 NQO1 is inhibited by dicoumarol49 and is much less sensitive to warfarin or superwarfarin inhibition than is VKOR.47,50,51 Although pathway II does not appear to play a significant role in vitamin K metabolism under physiologic conditions, it remains a critical mechanism by which hemostasis is rescued by high-dose vitamin K therapy in the setting of vitamin K antagonist poisoning.47 NQO1-deficient mice have no hemostatic defect and warfarin-induced coagulopathy in these animals can be corrected with vitamin K,52 suggesting that the actual rescue pathway to generate vitamin K hydroquinone may be partially catalyzed by a still unknown coumarin-resistant, NADPH-dependent vitamin K reductase.48
Conclusion
Coagulopathy resulting from ingestion of potent vitamin K antagonist rodenticides is a common and reversible condition. Clinicians and in particular hematologists must be aware and consider this diagnosis early to prevent inadequate treatment that exposes the patient to serious bleeding risk and potentially death.
Acknowledgments
The authors thank Drs Judith Ratzan and Daniel Dammrich (University of Miami) and Dr Maureen Okam (Brigham & Women’s Hospital) for bringing these cases to our attention and Drs Judith Ratzan and Gregg Furie for critical comments on the manuscript.
Authorship
Contribution: S.S. and B.F. wrote and edited the manuscript.
Conflict-of-interest disclosure: The authors declare no competing financial interests.
Correspondence: Bruce Furie, Beth Israel Deaconess Medical Center, Harvard Medical School, Center for Life Science, Room 903, 3 Blackfan Circle, Boston, MA 02115; e-mail: bfurie@bidmc.harvard.edu.

This feature is available to Subscribers Only
Sign In or Create an Account Close Modal