Abstract
Introduction: With the widespread adoption of novel agents (NA) in all lines of therapy patients are being exposed to both proteosome inhibitors (PIs) and immunomodulatory drugs (IMiDs) early in their treatment course. This has lead to marked improvements in survival in the frontline setting. Data is limited with respect to patient outcomes after exposure to both these drug classes in the real world setting. Here we present our experience examining outcomes after each line of therapy whereby bortezomib-based induction followed by lenalidomide-based therapy at first relapse has become the standard of care. We further explored the outcomes of patients who were exposed to both active classes of drugs within their first 2 lines of therapy.
Patients and methods: This series includes patients seen through the provincial Alberta Myeloma and Dysproteinemia Program in Canada. Only patients treated between 2005-2013 were included to allow at least 2 years of follow-up beyond first line therapy. Only those treated with a NA-containing regimen as part of their first line treatment were examined. The cohort was split based on eligibility for autologous stem cell transplant (ASCT). Double exposed patients were those who had been treated with, but were not necessarily refractory to both an IMiD and PI within the first 2 lines of treatment. Outcomes were measured after first, second and third line therapy. Survival outcomes were measured in months (m). OS was measured from the start of each line of therapy until death or last follow-up. PFS was from the start of each line of therapy to relapse, death or last follow-up. Response was measured as per the most recent International Myeloma Working Group criteria. Near complete response (nCR) was used when the monoclonal protein disappeared on protein electrophoresis but was not confirmed by immunofixation.
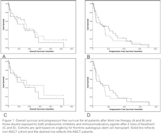
Results: Two hundred forty eight patients had received upfront therapy (non-ASCT = 113 and ASCT = 135). One hundred twenty seven had received second line therapy (non-ASCT = 62 and ASCT = 65). Sixty-four had received third line therapy (non-ASCT = 31 and ASCT = 33). The median OS and PFS after each line of therapy are shown in table 1. After first line therapy the OS (p < 0.001) and PFS (p< 0.001) were significantly better in the ASCT cohort. There were no significant differences in survival outcomes based on transplant eligibility in subsequent lines of therapy (figure 1A and B). The overall response rate to third line therapy was 45% (VGPR = 14% and nCR = 7%) for non-ASCT patients and 52% (VGPR = 15% and nCR = 6%) for ASCT patients. Fifty-five percent of non-ASCT patients failed to respond during third line therapy (34% with progressive (PD) and 21% with stable disease (SD)). Forty-eight percent of ASCT patients failed to respond (PD = 27% and SD = 21%). Forty-seven patients were double exposed within the first 2 lines of therapy (non-ASCT = 26 and ASCT = 21). In this cohort, the OS and PFS after double exposure (i.e. third line therapy) was 15m and 5m respectively with no significant difference based transplant eligibility (figure 1C and D). The response rate to third line therapy was 46% (VGPR = 17% and nCR = 8%) for ASCT patients and 43% (VGPR = 14% and nCR = 5%) for non-ASCT patients. Fifty-five percent failed to respond (PD = 38% and SD = 17%) in the non-ASCT group. Fifty-seven percent failed to respond (PD = 38% and SD = 19%) in the ASCT group.
Summary: The introduction of NAs earlier in the management of patients with myeloma has improved OS. This is driven by improvements in PFS to frontline therapy and after first relapse. However, with current therapeutic approaches patients will be exposed to both IMiDs and PIs much earlier in their disease. In many jurisdictions, the limited treatment options in third line and beyond, especially in double exposed patients, poses a significant therapeutic challenge. Durable responses are limited in this setting with most patients relapsing after only 6 months. In addition, approximately a third of patients have overtly progressive disease. Interestingly, front-line ASCT eligibility had no impact on outcome with subsequent relapses, emphasizing the fact that ASCT only improves the outcome for the line in which it is employed. Further study regarding resistant mechanism and clonal evolution after exposure to both IMiDs and PIs will be important in developing rationally designed therapeutic regimens for this population.
Venner:J&J: Honoraria, Research Funding; Amgen: Honoraria; Celgene: Honoraria, Research Funding. Off Label Use: Some patients in this series will have received frontline lenalidomide which is not yet an approved indication for this drug in Canada.. Bahlis:Johnson & Johnson: Speakers Bureau; Johnson & Johnson: Consultancy; Amgen: Consultancy; Celgene: Consultancy, Honoraria, Research Funding, Speakers Bureau; Johnson & Johnson: Research Funding. Neri:Celgene: Research Funding. Sandhu:Amgen: Consultancy, Honoraria; Novartis: Consultancy, Honoraria; Janssen: Consultancy, Honoraria; Celgene: Consultancy, Honoraria. Duggan:Jansen: Honoraria; Celgene: Honoraria. Belch:Janssen-Cilag: Consultancy. Jimenez-Zepeda:Celgene: Honoraria; J&J: Honoraria; Amgen: Honoraria.
Author notes
Asterisk with author names denotes non-ASH members.


This feature is available to Subscribers Only
Sign In or Create an Account Close Modal