Abstract
Introduction: Bruton's tyrosine kinase (BTK) is a downstream intermediary of B cell receptor (BCR) signaling. As revealed by ibrutinib, disruption of BCR signaling results in significant anti-tumor activity in various B cell malignancies. BGB-3111 is a potent, specific and irreversible BTK inhibitor. In biochemical and cellular assays, BGB-3111 was more selective than ibrutinib for BTK vs. EGFR, FGR, FRK, HER2, HER4, ITK, JAK3, LCK, BLK and TEC. Activity against these other kinases is implicated in ibrutinib-associated toxicities such as diarrhea, bleeding, and atrial fibrillation. In preclinical animal studies, BGB-3111 demonstrated superior oral bioavailability, achieving higher exposure and more complete target inhibition in the tissues than ibrutinib. We report here the initial results of an ongoing phase 1 trial of BGB-3111 in patients (pts) with advanced B cell malignancies.
Patients/Methods: This first-in-human, open label phase 1 study comprised a dose-escalation (DE) component, followed by an ongoing safety, schedule and efficacy expansion component. The results of the planned interim analysis performed at the end of DE are reported here. During DE, pts with relapsed or refractory World Health Organization (WHO) classification defined B-lymphoid malignancies were enrolled to 1 of 5 dose cohorts of BGB-3111 (40, 80, 160, 320mg PO QD; 160mg PO BID) in a modified 3+3 dose escalation design. Adverse events (AEs) were reported per CTCAE v4.03 (patients with baseline cytopenias remained evaluable for neutropenia and thrombocytopenia) and responses per histology-specific standard criteria (NHL IWG criteria 2014; modified CLL IWG criteria 2015; WM IWWM criteria 2013). BGB-3111 pharmacokinetics (PK) was analyzed by dose level, and BTK occupancy determined using an irreversible binding assay in PBMCs.
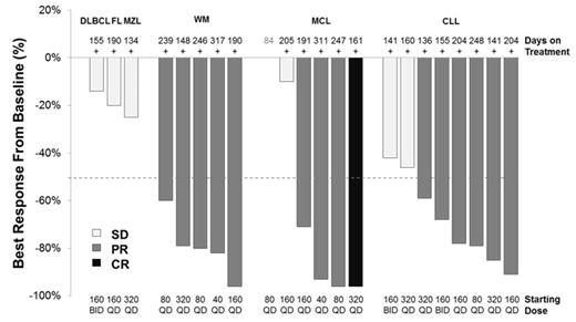
Results: 25 pts were enrolled in DE: 40mg (n=4), 80mg (n=5), 160mg (n=6) and 320mg (n=6) QD, and 160mg BID (n=4). Pts had received a median 2 (range: 1-7) prior therapies, for diagnoses listed in Table 1. As of 30 July 2015, all were evaluable for AE and response. BGB-3111 exposure increased in a dose-proportional manner from 40mg to 320mg daily. The Cmax and AUC0-24h of BGB-3111 at 80mg QD was comparable to that reported for ibrutinib at 560mg QD, and the free drug concentration of BGB-3111 at 40mg QD was comparable for that reported for ibrutinib 560mg QD. Sustained 24 hour BTK occupancy in PBMCs was demonstrated in all pts at 40mg QD (24 hour BTK occupancy 98.6 +/-1.1%), and at all higher dose levels. No dose limiting toxicities (DLT) were encountered, and the maximum tolerated dose (MTD) was not reached. The recommended phase 2 dose (320mg daily) was determined based on the pharmacokinetics, pharmacodynamics, safety and efficacy of BGB-3111. Three pts discontinued BGB-3111 due to disease progression. There were no drug-related SAEs, AEs leading to drug discontinuation, or AE-related deaths. Of 21 ≥grade 3 AEs, 3 were assessed by investigators as potentially drug-related - all were self-limiting neutropenia in CLL pts, two of whom had neutropenia at baseline. No G3/4 bleeding events were recorded. Four pts had a baseline history of atrial fibrillation/flutter (AF); no exacerbation or new event of AF was reported. 16 responses, including 1 complete remission, have been observed. Response by histology is summarized in Table 1 and Figure 1. 22/25 pts remain on study treatment, free of progression, at a median of 204 days (range 138-321).
Response by Histology to BGB-3111
| Histology . | n . | Objective Response (no. in CR) . | SD . | Continuing Treatment (as of 30th July 2015) . | Days on treatment (median; range) . |
|---|---|---|---|---|---|
| CLL | 8 | 6 (0) | 2 | 8 | 199 (140-252) |
| MCL | 6 | 4 (1) | 1 | 5 | 227 (165-315) |
| Waldenström's | 6 | 5 (0) | 0 | 5 | 232 (152-321) |
| DLBCL | 2 | 0 (0) | 1 | 1 | 159 |
| FL | 1 | 0 (0) | 1 | 1 | 194 |
| MZL | 1 | 0 (0) | 1 | 1 | 138 |
| HCL | 1 | 1 (0) | 0 | 1 | 285 |
| Histology . | n . | Objective Response (no. in CR) . | SD . | Continuing Treatment (as of 30th July 2015) . | Days on treatment (median; range) . |
|---|---|---|---|---|---|
| CLL | 8 | 6 (0) | 2 | 8 | 199 (140-252) |
| MCL | 6 | 4 (1) | 1 | 5 | 227 (165-315) |
| Waldenström's | 6 | 5 (0) | 0 | 5 | 232 (152-321) |
| DLBCL | 2 | 0 (0) | 1 | 1 | 159 |
| FL | 1 | 0 (0) | 1 | 1 | 194 |
| MZL | 1 | 0 (0) | 1 | 1 | 138 |
| HCL | 1 | 1 (0) | 0 | 1 | 285 |
Conclusions: These preliminary Phase 1 results suggest that the selective BTK inhibitor BGB-3111 is safe and highly clinically active. Complete blockade of BTK in PBMC at low doses and excellent tolerability at higher doses raises the possibility that BTK blockade in deep tissue sites will be complete. This question is currently being explored in the expansion phase.
Best response in 22 pts evaluated by CT scan (SPD, CLL and NHL) or IgM levels (WM). Not included here are 1 responder with HCL (PR), and 2 pts who progressed before restaging.
Best response in 22 pts evaluated by CT scan (SPD, CLL and NHL) or IgM levels (WM). Not included here are 1 responder with HCL (PR), and 2 pts who progressed before restaging.
Tam:Janssen: Consultancy, Honoraria, Research Funding. Off Label Use: BGB-3111 is not licensed for treatment of B-cell malignancies. Grigg:BMS: Honoraria, Membership on an entity's Board of Directors or advisory committees; Pfizer: Honoraria, Membership on an entity's Board of Directors or advisory committees; Novartis: Honoraria, Membership on an entity's Board of Directors or advisory committees; Amgen: Honoraria, Membership on an entity's Board of Directors or advisory committees; Takeda: Honoraria, Membership on an entity's Board of Directors or advisory committees; Merck: Honoraria, Membership on an entity's Board of Directors or advisory committees; Roche: Honoraria, Membership on an entity's Board of Directors or advisory committees; Gilead: Honoraria, Membership on an entity's Board of Directors or advisory committees. Opat:Janssen Pharmaceuticals: Other: Provision of subsidized medications only. Seymour:Phebra: Consultancy, Honoraria, Membership on an entity's Board of Directors or advisory committees; Gilead: Honoraria, Membership on an entity's Board of Directors or advisory committees; Roche: Consultancy, Honoraria, Membership on an entity's Board of Directors or advisory committees, Other: Travel support, Research Funding; AbbVie: Consultancy, Honoraria, Membership on an entity's Board of Directors or advisory committees, Other: Travel support, Research Funding, Speakers Bureau; Infinity: Honoraria, Membership on an entity's Board of Directors or advisory committees; Genentech, Inc.: Membership on an entity's Board of Directors or advisory committees; Celgene: Consultancy, Honoraria, Membership on an entity's Board of Directors or advisory committees, Other: Travel support, Speakers Bureau; Janssen: Honoraria, Membership on an entity's Board of Directors or advisory committees, Research Funding; Incyte: Honoraria, Membership on an entity's Board of Directors or advisory committees; Takeda: Honoraria, Membership on an entity's Board of Directors or advisory committees. Hedrick:Beigene: Employment. Yang:Beigene: Employment, Equity Ownership. Wang:Beigene: Employment, Equity Ownership. Luo:Beigene: Employment, Equity Ownership. Xue:Beigene: Employment, Equity Ownership. Roberts:Walter and Eliza Hall Institute of Medical Research: Employment; AbbVie: Research Funding; Servier: Research Funding; Genentech: Research Funding.
Author notes
Asterisk with author names denotes non-ASH members.

This feature is available to Subscribers Only
Sign In or Create an Account Close Modal