Abstract
Acute graft versus host disease (aGvHD) represents the first complication after allogeneic stem cell transplantation (allo-HCT). During conditioning regimen (CR) intestinal damage induces microbial translocation, which primes macrophage reactivity and leads to donor-derived T cells alloreactivity. To date, little is reported on intestinal status and macrophage reactivity prior to CR. This study aimed to assess citrulline, an amino acid reflecting intestinal damage, and circulating monocytes-derived macrophage reactivity 30 days before CR.
Blood samples from consecutive patients undergoing allo-HCT for hematological malignancies and from 10 healthy donors were analyzed. Citrulline levels were assessed by high performance liquid chromatography associated to spectrometry. Monocytes were isolated and stimulated with pathogen-associated molecular patterns as LPS, PAM, flagelline, MDP, curdlan and PBS as control. In each condition, cytokines (TNF-α, IL-1β, IL-6, IL-10) releasing was evaluated by multiplex fluorescent immunoassay. Citrulline and cytokine levels were analyzed relatively to aGvHD onset within 100 days post-transplant.
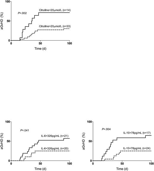
Forty-seven patients underwent allo-HCT for different indications, including acute leukemia (n=26) and myelodysplastic syndrome (n=11). Twenty patients developed an aGvHD I-IV. Among the groups, differences were depicted for levels of citrulline, IL-1β, IL-6 and IL-10. Citrulline levels were lower in aGvHD group than in no-aGvHD group (p<0.05). Among all cytokines, only IL-6 and IL-10 were greater in aGvHD group than no-aGvHD group, especially after curdlan stimulation (p<0.05). Citrulline levels below the normal value (<20 μmol/L), IL-6 and IL-10 above thresholds (326 pg/ml and 78pg/ml after curdlan stimulation respectively) were associated with the aGvHD development (log rank test, p<0.05). Any patients with citrulline>20 µmol/L, IL-6<326 pg/ml and IL-10<78 pg/ml (n=10) declared aGvHD within the 100-days post-transplant.
Our results highlight the role of intestinal damage and macrophage reactivity in aGVHD development. Pretransplant plasmatic citrulline level and monocyte-derived-macrophage reactivity are promising accessible surrogate markers suitable for identifying patients likely to develop aGvHD.
No relevant conflicts of interest to declare.
Author notes
Asterisk with author names denotes non-ASH members.

This feature is available to Subscribers Only
Sign In or Create an Account Close Modal