Abstract
Background: Allogeneic hematopoietic cell transplantation (HCT) is a potential curative treatment for children and adults with acute lymphoblastic leukemia (ALL). However, relapse occurs in approximately 30% of patients with ALL after HCT, with even worse outcomes in patients with minimal residual disease (MRD) pre-transplant [1]. Lower relapse rates have been reported for patients undergoing cord blood transplantation (CBT) compared to unrelated donor transplant. In the present study we sought not only to evaluate outcomes for ALL patients undergoing a myeloablative CBT, but also to see if the outcomes varied according to MRD status.
Methods: Using prospectively collected data, we reviewed 67 consecutive patients with ALL who received a CBT between 2006 and 2016. The conditioning regimens consisted of either TBI (1320 cGy), Cytoxan and Fludarabine (FLU), (n=49) or Treosulfan (Treo), FLU and 200 cGY TBI (n=18). GVHD prophylaxis consisted of cyclosporine and mycophenolate mofetil (MMF). Donor units were selected to be at least a 4 out of 6 match to recipient at HLA-A and HLA-B antigens and HLA-DRB allele. Ten-color multiparameter flow cytometry studies on bone marrow aspirates were performed before HCT to determine the presence of MRD. Disease free-survival (DFS) was evaluated using the method of Kaplan and Meier. Probabilities of non-relapse mortality (NRM) and relapse were summarized using cumulative incidence estimates using the appropriate competing risks.
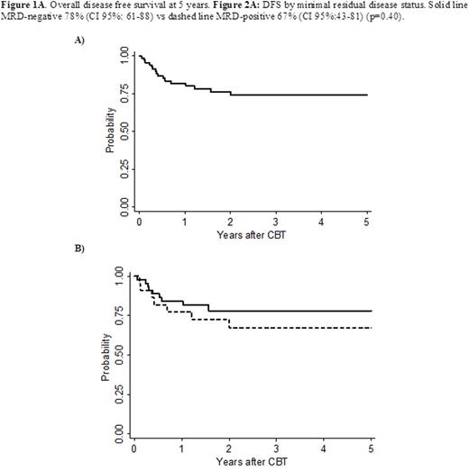
Results: Patient characteristics are shown in Table 1. The median age and weight was 22 years (range, 0.6-58 years) and 57 kg (range 8-99 kg), respectively. Thirty-nine patients (58%) were non-Caucasian. At the time of transplant 32 patients (47%) were in first complete remission (CR1), 28 (42%) in CR2 and 7 (11%) in CR≥3. Any level of residual disease was considered MRD-positive (n=22). Fifteen patients (22%) had Ph+ ALL. Nine patients (13%) had a prior allogeneic transplant. The majority of patients (n=48; 72%) received a double-CB graft; the rest received a single-CB graft. In addition, 14 patients (21%) received an ex-vivo-expanded CB unit as part of their graft, combined with an unmanipulated CB unit. Median time to engraftment was 31 days (range, 21-80 days). The overall DFS at 5 years was 74% (CI 95%: 60-83) with no difference between MRD-negative 78% (CI 95%: 61-88) and MRD-positive patients 67% (CI 95%:43-81) (p=0.40) [Figure 1A and 1B]. The overall cumulative incidence of relapse and NRM at 5 years post-transplant was 14% (CI 95%: 5-31) and 12% (95%: 3-26), respectively. The risk of relapse was not significantly higher in MRD-positive compared to MRD-negative (HR 1.80 (95 CI: 0.50-6.51) p=0.36), when adjusting for year of transplant, CMV serostatus, age, and disease risk. The cumulative incidence of acute GVHD grade II-IV and III-IV at day 100 was 86% (CI 95%: 75-92) and 16% (CI 95%: 8-26), respectively.
Conclusions: Our data suggest that outcomes in patients with ALL following myeloablative CBT are remarkable with 74% DFS at 5 years and very low rate of relapse. The implication of these results is particularly important for patients from racial and ethnic minorities. Indeed, because mismatches in CB units can be tolerated, it is possible to find suitable donors for nearly all patients, regardless of their race/ethnicity. Furthermore, the risk of relapse was similar between MRD-negative and positive patients, although this requires further study in larger populations given the relatively low number of MRD-positive patients.
References:
1. Bar M, Wood BL, Radich JP et al. Impact of minimal residual disease, detected by flow cytometry, on outcome of myeloablative hematopoietic cell transplantation for acute lymphoblastic leukemia. Leuk Res Treatment. 2014;2014:421723
Delaney:Nohla Therapeutics: Employment.
Author notes
Asterisk with author names denotes non-ASH members.


This feature is available to Subscribers Only
Sign In or Create an Account Close Modal