Background:
Inotuzumab ozogamicin (InO) is an antibody-drug conjugate composed of anti-CD22 antibody conjugated to the cytotoxic agent calicheamicin, which is approved for relapsed/ refractory (RR) B-cell acute lymphocytic leukemia (ALL), based on efficacy demonstrated in a randomized control trial. We sought to investigate the safety and efficacy of InO in the "real world" setting.
Methods:
We conducted a retrospective multicenter study in collaboration with 11 U.S. academic institutions, and evaluated the outcome of patients (pts) with RR B-cell ALL, who received InO outside of clinical trials. These pts were evaluated for response to InO, duration of response, overall survival (OS) and toxicity. Demographic and disease characteristics were summarized using descriptive statistics. Survival curves were estimated using the Kaplan-Meier method and compared via log-rank test. Duration of response was estimated among pts who achieve complete remission (CR)/CR with incomplete count recovery (CRi).
Results:
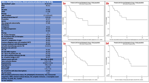
From June 2016 to May 2019, 84 pts with RR-B cell ALL were identified. Baseline characteristics are summarized in Table 1. The median age of pts at InO initiation was 50 years (yrs) (range, 20-87). Twenty-two (27.5%) pts had t(9;22) (Ph+ve) and 6 (7.5%) pts had t(4;11) (MLL gene) chromosomal abnormalities. Nine (11%) and 20 (25%) pts had CNS disease at diagnosis and at relapse, respectively. Median number of therapies prior to InO was 2 (range, 0-7), 40 (48%) pts had ≥ 3 therapies and 23 (27%) pts had allogeneic stem cell transplantation (allo-HCT) prior to InO. Forty (48%) pts received blinatumomab prior to InO. Fourteen (17%) pts received InO in combination with chemotherapy and/ or tyrosine kinase inhibitor (TKI). Overall response rate (CR/CRi) was 63%; 44% had CR with minimal residual disease (MRD) negativity by flow cytometry. Response rate in Ph+ve B-cell ALL was 73%. Twenty-three (27%) pts were successfully bridged to allo-HCT. Median response duration with InO was 11.5 months (mo); 32.5% had sustained response at 2 yrs (Fig. 1a). Median response duration post InO, censored at allo-HCT was not reached (NR) (51% in remission at 2 yrs) (Fig. 1b). Median OS after InO was 11.6 mo and 32% were alive at 2 yrs (Fig. 1c). Median OS post InO, censored at of allo-HCT was 13.6 mo (Fig. 1d). Median OS after InO in Ph+ve pts was NR (71% alive at 1 yr). Forty-nine percent, 27%, 6% and 5% of pts discontinued InO due to progression, allo-HCT, adverse events and maintenance therapy, respectively. Nineteen (30%) pts had dose interruptions. In terms of toxicities, 14 (17%) and 7 (8%) pts had grade (G)1-2 and G3 transaminases secondary to InO, respectively. One pt each had G2 and G3 pancreatitis, respectively. One (1%) and 2 (2%) pts had G2 and G4 veno-occlusive disease secondary to InO, respectively. Two of these pts were treated with defibrotide. Two (2%) pts died due to InO toxicity. A complete description of adverse events are summarized in Table 1.
Conclusion:
Our real-world data obtained by multicenter collaboration suggest that InO was well tolerated and had significant efficacy in this heavily treated patient population of RR B-cell ALL.
Liedtke:Celator: Research Funding; Celgene: Membership on an entity's Board of Directors or advisory committees, Research Funding; Genentech/Roche: Research Funding; Gilead: Membership on an entity's Board of Directors or advisory committees, Research Funding; IQVIA/Jazz: Membership on an entity's Board of Directors or advisory committees; Janssen: Membership on an entity's Board of Directors or advisory committees, Research Funding; Pfizer: Honoraria, Membership on an entity's Board of Directors or advisory committees, Research Funding; Prothena: Membership on an entity's Board of Directors or advisory committees, Research Funding; Takeda: Membership on an entity's Board of Directors or advisory committees, Research Funding; Caelum: Membership on an entity's Board of Directors or advisory committees; BlueBirdBio: Research Funding; Adaptive: Membership on an entity's Board of Directors or advisory committees; Agios: Research Funding; Amgen/Onyx: Consultancy, Honoraria, Research Funding. Aldoss:Jazz Pharmaceuticals: Honoraria, Other: travel/accommodation/expenses, Speakers Bureau; Agios: Consultancy, Honoraria; AUTO1: Consultancy; Helocyte: Consultancy, Honoraria, Other: travel/accommodation/expenses. Curran:Incyte: Research Funding; Merck: Research Funding; Gilead: Research Funding. Podoltsev:Celgene: Other: Grant funding, Research Funding; Genentech: Research Funding; AI Therapeutics: Research Funding; Agios Pharmaceuticals: Consultancy, Honoraria, Membership on an entity's Board of Directors or advisory committees; Blueprint Medicines: Consultancy, Honoraria, Membership on an entity's Board of Directors or advisory committees; Incyte: Consultancy, Honoraria, Membership on an entity's Board of Directors or advisory committees; Novartis: Consultancy, Honoraria, Membership on an entity's Board of Directors or advisory committees; Boehringer Ingelheim: Research Funding; Astellas Pharma: Research Funding; Daiichi Sankyo: Research Funding; Sunesis Pharmaceuticals: Research Funding; Jazz Pharmaceuticals: Research Funding; Pfizer: Research Funding; Astex Pharmaceuticals: Research Funding; CTI Biopharma: Research Funding; Samus Therapeutics: Research Funding; Arog Pharmaceuticals: Research Funding; Kartos Therapeutics: Research Funding; Alexion: Consultancy, Honoraria, Membership on an entity's Board of Directors or advisory committees; Pfizer: Consultancy, Honoraria, Membership on an entity's Board of Directors or advisory committees. Yang:AstraZeneca: Research Funding; Agios: Consultancy. Mattison:Pfizer: Membership on an entity's Board of Directors or advisory committees. Advani:Pfizer: Honoraria, Research Funding; Amgen: Research Funding; Macrogenics: Research Funding; Glycomimetics: Consultancy, Research Funding; Kite Pharmaceuticals: Consultancy; Abbvie: Research Funding. Atallah:Takeda: Consultancy, Research Funding; Jazz: Consultancy; Helsinn: Consultancy; Novartis: Consultancy; Pfizer: Consultancy; Jazz: Consultancy; Helsinn: Consultancy.
Author notes
Asterisk with author names denotes non-ASH members.

This feature is available to Subscribers Only
Sign In or Create an Account Close Modal