Introduction APL in the elderly is rare and about 5% of patients with APL are older than 70 years at diagnosis; compared to young adults, prognosis of older patients with APL remains poorer, due to the presence of severe comorbidities and the higher rate of mortality related to induction or consolidation therapy.
Aim To evaluate in an unselected real-life cohort of APL patients aged ≥ 70 years the true efficacy of targeted treatments and follow-up of disease.
Methods A retrospective cohort of 45 consecutive APL patients (M/F 27/18), aged ≥ 70 years and diagnosed at 8 different hematologic institutions in Lazio, Italy, from July 1991 to May 2019 was analyzed. To avoid possible selection bias, particular attention was given to consider also patients managed outside of clinical trials because of comorbidities at diagnosis and patients dead immediately after APL diagnosis before starting any treatment.
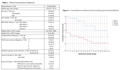
Results The median age at diagnosis was 76.6 years (range 70 - 87.1). The main clinical features at diagnosis are shown in Table 1. As to major comorbidities, 28 patients(62.2%) had concomitant cardiologic diseases, 13 (28.8%) had a clinical history of cancer and 11 (24.4%) were affected by diabetes. Forty-three patients (95.5%) started therapy after diagnosis, 2 (4.4%) died before starting treatment from early hemorrhagic complications. Twenty-two patients (51.1%) (Group A) were enrolled in clinical controlled trials or were treated according to clinical controlled trials [13 pts (59.0%) according to AIDA-like regimen, 9 (40.9%) according to APL0406 study], while 21 patients (48,8%) (Group B) received an ATRA-based personalized approach. Overall, complete morphologic remission (CR) after induction therapy was achieved in 33 patients (76.7%); all patients in the Group A achieved CR compared to 11 patients (52.3%) in the Group B (p<0.001). Median time to morphological CR was 41 days [interquartile range (IQR) 30 - 50]. Molecular CR was documented in 30 patients (69.7%) [20/22 (90.9%) in the Group A and 10/21 (47.6%) in the Group B (p=0.002)]. Median time to molecular CR was 102 days (IQR 63 - 174). Infective complications during induction therapy were observed in 31/43 patients (72.0%) (4 episodes of FUO, 8 sepsis, 3 cystitis, 12 pneumonitis, 1 oral abscess, 1 spondylodiscits, 1 abdominal infection, 1 hepatitis C reactivation). ATRA syndrome occurred in 14/43 patients (32.5%); in addition, there were 4 episodes of respiratory failure, 5 episodes of arrhythmia, and 4 episode of cardiac ischemia. Ten patients (23.2%) died during induction therapy, all in the Group B. Twenty-seven patients in CR received consolidation therapy (18 in the Group A, 9 in the Group B); 18/27 patients received also a maintenance therapy (11 in the Group A, 7 in the Group B). In addition, 4 patients (2 in each Group) underwent maintenance therapy without a previous consolidation phase. Nine patients out of 33 achieving CR (27.2%) (3 in the Group A and 6 in the Group B) had a relapse, after a median time of 13.9 months (IQR 9.4 - 27.5). At the last follow-up, 15 patients (33.3%) were still alive, 24 (53.3%) died (20 patients from early deaths or progressive disease, 4 patients from senectus or other unrelated causes while in CR) and 6 patients (13.3%) were lost to follow-up while in molecular CR. Five-year overall survival (OS) of the entire cohort was 46.1% (95%CI 28.2 - 64.0). Five-year OS of patients in the Group A was 72.6% (95%CI 42.9 - 100) compared to 27.2% (95%CI 7.5 - 46.9) in the Group B (p=0.001) (Figure 1).
Conclusions: The present analysis of an unselected cohort of APL patients aged ≥ 70 years highlights that almost half of the patients were not considered eligible for a standard approach as in youngers, and received sub-optimal induction treatments, with a very high rate of early death and dismal rates of CR and OS compared to patients treated with standard therapy. As a consequence, it is mandatory, whenever possible, to adopt standard therapies instead of modified/reduced personalized approaches also in frail elderly patients with APL, to improve their outcome.
Breccia:BMS: Honoraria; Novartis: Honoraria; Pfizer: Honoraria; Incyte: Honoraria; Celgene: Honoraria. Trawinska:Novartis: Consultancy, Honoraria. Foà:Celltrion: Membership on an entity's Board of Directors or advisory committees; Roche: Consultancy, Speakers Bureau; Janssen: Consultancy, Membership on an entity's Board of Directors or advisory committees, Speakers Bureau; Abbvie: Consultancy, Speakers Bureau; Celltrion: Membership on an entity's Board of Directors or advisory committees; Pfizer: Membership on an entity's Board of Directors or advisory committees, Speakers Bureau; Novartis: Consultancy, Membership on an entity's Board of Directors or advisory committees, Speakers Bureau; Amgen Inc.: Consultancy, Membership on an entity's Board of Directors or advisory committees, Speakers Bureau; Shire: Consultancy, Membership on an entity's Board of Directors or advisory committees, Speakers Bureau; Pfizer: Membership on an entity's Board of Directors or advisory committees, Speakers Bureau; Janssen: Consultancy, Membership on an entity's Board of Directors or advisory committees, Speakers Bureau; Incyte: Consultancy, Membership on an entity's Board of Directors or advisory committees, Speakers Bureau; Novartis: Consultancy, Membership on an entity's Board of Directors or advisory committees, Speakers Bureau; Abbvie: Consultancy, Speakers Bureau; Roche: Consultancy, Speakers Bureau; Shire: Consultancy, Membership on an entity's Board of Directors or advisory committees, Speakers Bureau; Amgen Inc.: Consultancy, Membership on an entity's Board of Directors or advisory committees, Speakers Bureau; Incyte: Consultancy, Membership on an entity's Board of Directors or advisory committees, Speakers Bureau. Latagliata:Novartis: Honoraria; Celgene: Honoraria; Janssen: Honoraria; Pfizer: Honoraria.
Author notes
Asterisk with author names denotes non-ASH members.

This feature is available to Subscribers Only
Sign In or Create an Account Close Modal