Introduction: Acquired thrombotic thrombocytopenic purpura (aTTP) is a rare disease characterized by a severe deficiency of the enzymatic activity of ADAMTS13 caused by autoantibodies, with an incidence of 3-4 x106inhabitants per year according to the few published data available. Accurate estimates of the incidence of aTTP are important to assess the resources required for current treatments and to anticipate the need to develop new treatments. The aim of this study was to determine the actualincidence of aTTP in Spain, as well as its diagnosis, management, and associated complications.
Material and methods:A cross-sectional surveywascarried out among hematologists working in Spanish hospitals by means of an email that was sent to all members of the three main hematological scientificsocieties of Spain. All participants were asked to report the number of patients over the age of 16 years with a de novodiagnosis and relapses examined between Jan 2015 and Dec 2017. They were also asked about the number of patients that were known and alive in each hospital without having experienced any episode during such period. The population area of each participating hospital was consideredto calculate the incidence and prevalence of the disease. We also estimated the hospitalization service, mean hospital stay, percentage of ADAMTS13 activity at diagnosis and during follow-up, initial management, refractory cases and exacerbations (as defined by Scully et al.), treatment-related complications, and sequelae of aTTP. The median, interquartile ranges, and percentages were used for the descriptive analysis. Given that no personal data were treated, this study did not require the approval of a Research Ethics Committee.
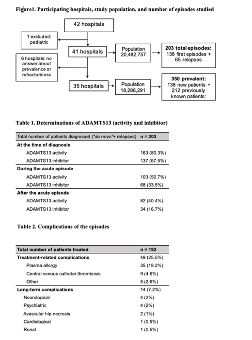
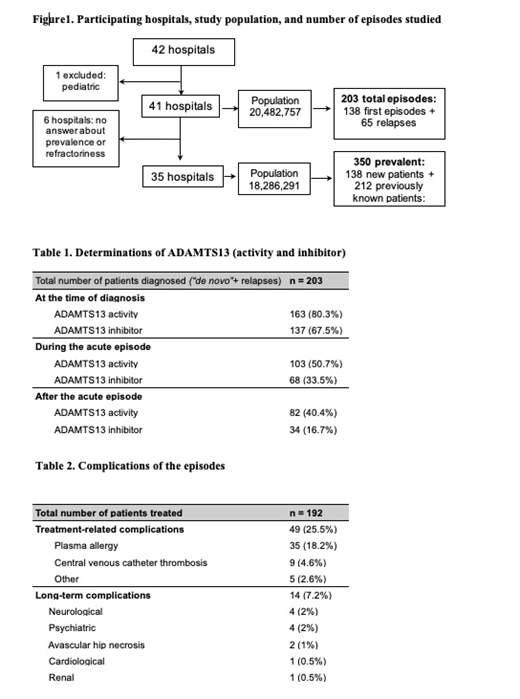
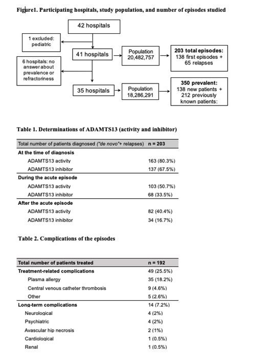
Results:A response was received from 42 centers (Figure 1). All hospitals except a private one belonged to the Spanish public health system, which provides health coverage to the entire Spanish population.A total of 203 episodes were reported (138 new episodes). The calculated population of the participating centers was nearly 21 x 106inhabitants. The incidence was 2.25 x106inhabitants per year, and the prevalence 19 x106inhabitants. Six patients died before they could start treatment (all but one in first episodes) and five were sent to other hospitals; thus, a total of 192 episodes were eventually treated. Table 1 and 2 show the data of the enzymatic activity of ADAMTS13 and the ADAMTS13 inhibitor at diagnosis, as well asthe complications.
Plasma exchange (PEX) was performed by the Hematology and Nephrology Departments of 29 (70.7%) and 12 (29.3%) hospitals, respectively. The median hospital stay was 14 days (IQR: 10-20). Seventy-five episodes (39.1%) required admission to the intensive care unit with a median stay of 4 days (IQR: 3-7). During first-time episodes, a median of 12 PEX procedures (IQR: 8-19) were performed per patient, whereas in the case of relapses, a median of 9 (7-10) PEX procedures were carried out per patient. One plasma volume (PV) was used in the PEX procedures performed in 34% of the episodes, while 1.5 PVs were used in 56% of the episodes, and other PVs were used in the remaining 9.8%. The median duration of the PEX procedures was 121 minutes (IQR: 118-180).
PEX and corticosteroids were the initial treatments administered in 98.4% of the episodes. Rituximab was used as a first-line treatment for new episodes in 18 of the 127 patients (14.1%), as a second-line treatment in 34 patients (26.6%), and as a prophylactic treatment (followingremission) in 4 patients (3.5%).
In addition to the 6 early deaths, 9 patients died despite receiving the treatment (15 of 203 episodes, accounting for a mortality rate of 7.3%). Refractoriness to the PEX + corticoids was observed in 31 episodes of the 192 ones treated (16.1%), and at least one exacerbation (26.5%) took place in 51 episodes.
Conclusion.Wecalculated the incidence ofclinically diagnosed aTTP associated with a severe ADAMTS13 deficiency inalmost half of the Spanish population which provided a high accuracy to our findings. These data are concordant with those published previously in other countries. Despite the currently available therapies, considerable rates of refractoriness and mortality still persist.Our data will be very useful for estimating the budget invested in this pathology and proposing standards for the diagnosis and treatment of this disease in our region.
Pascual Izquierdo:Novartis: Consultancy; Sanofi: Consultancy. De La Rubia:AMGEN: Consultancy; Celgene Corporation: Consultancy; Takeda: Consultancy; AbbVie: Consultancy; Janssen: Consultancy. Mingot-Castellano:Novartis: Consultancy; Novonordisk: Consultancy; Roche: Consultancy; Takeda: Consultancy; Bayer: Consultancy; Amgen: Consultancy; CSL Behring: Consultancy; Sobi: Consultancy.
Author notes
Asterisk with author names denotes non-ASH members.

This feature is available to Subscribers Only
Sign In or Create an Account Close Modal