Introduction: In chronic diseases such as diabetes and cancer, disease-related distress is known to impact disease management and health outcomes (Barry et al. J Health Psychol 2019). We sought to develop and validate an instrument to measure hemophilia-related distress (HRD).
Methods: Using themes raised during qualitative interviews, questions were written to assess HRD. Questions were revised after review by clinicians and patient focus groups. The final formatted HRD instrument comprised 24 Likert scale questions (response level 0-5) plus a numerical rating of current distress on a 1-10 scale. The HRD total score is the sum of all domain scores and could range from 0-120 with lower scores indicating less HRD.
Adults (≥18 years) with hemophilia receiving care at one of two hemophilia treatment centers were recruited to participate in the validation study. After informed consent, participants reported demographic and clinical information then completed the HRD instrument and questionnaires that measured characteristics similar to HRD including: the National Cancer Center Network (NCCN) Distress Thermometer, Kessler 6+ (K6), Patient Health Questionnaire (PHQ-9), Brief Pain Inventory (BPI), 5-level EuroQol-5D (EQ-5D-5L), Haem-A-Qol, Work Productivity and Activity Impairment Questionnaire plus Classroom Impairment (WPAI), and PROMIS-29.
Analysis included factor analysis and assessment of internal consistency using Cronbach's α, construct validity using Pearson's correlation coefficient and discriminant validity by comparing subgroups of patients. A subset of participants electronically completed the HRD instrument a second time within 7 days of initial assessment. Test-retest reliability was assessed using an interclass correlation coefficient (ICC).
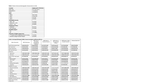
Results: Among 130 enrolled participants, 126 completed the HRD instrument in a median time of 5.4 minutes (Q1;Q3 3.5;14.4) with overall HRD scores ranged from 2-83 (median=31.5). Subject characteristics are shown in table 1. Factor analysis of 1-5 domains was undertaken with final selection of a 4-domain instrument (RMSEA 0.057 [90% CI 0.041,0.072]; CFI 0.97). The 4 domains are (# of items, Cronbach's α): Hemophilia Management Concerns (7 items, 0.81); Financial Concerns (3 items, 0.81); Perceived Self-efficacy (3 items, 0.79); Daily Function Concerns (7 items, 0.85).
Assessment of convergent validity (table 2) demonstrated a moderate correlation (>0.60) of the HRD total score with the NCCN Distress Thermometer, Haem-A-Qol total Score, and PROMIS social role domain. The HRD 0-10 scale correlated well with NCCN Distress Thermometer, PHQ-9 score, EQ-5D Index score, Haem-A-Qol total score, PROMIS anxiety, depression, and pain interference domains. Domain 4 (Daily Function Concerns) was well correlated with Haem-A-Qol total score as well as physical health and view of self domains, WPAI total activity impairment, and PROMIS pain interference. The HRD total score and domains 1-4 were mild to moderately correlated with the K6 measure of general psychological distress (0.3-0.54, p< 0.05).
Distress was higher among those with less education than standard college or graduate degree (median score 36 vs. 23, p=0.018), not employed (median total score 42 vs 26, p=0.002), and disabled (median score 43 vs 30, p=0.010). The total score was not significantly different among those with severe hemophilia compared with non-severe disease. However, domain 1 (hemophilia management concerns) was higher among those with non-severe disease (median 9 vs 6, p=0.033).
Test-retest reliability was assessed in 38 subjects. ICC values were 0.84 (95% CI 0.71-0.91) for the total score and 0.56 (95% CI, 0.30-0.75), 0.51 (95% CI 0.40-0.81), 0.67 (95% CI 0.45-0.81) and 0.72 (95% CI 0.53-0.85) for domains 1-4 respectively.
Conclusions: The HRD instrument measures the subjective emotional state associated with chronic management of hemophilia. The instrument demonstrates good internal consistency, construct and discriminant validity, and retest-reliability with a low responder burden. Interestingly HRD was not greater among those with severe disease, which in combination with results from analysis of domain 1, may reflect greater unease and less mastery in managing their disease among adults with non-severe hemophilia. Future studies can explore how HRD is associated with disease management and outcomes and healthcare utilization.
Kempton:Novo Nordisk: Research Funding; Octapharma: Honoraria; Genentech: Honoraria; Spark Therapeutics: Honoraria. Buckner:Genentech: Consultancy; Spark Therapeutics: Consultancy; Shire: Consultancy; Kedrion: Consultancy; Pfizer: Consultancy; Novo Nordisk: Consultancy.
Author notes
Asterisk with author names denotes non-ASH members.

This feature is available to Subscribers Only
Sign In or Create an Account Close Modal