Key Points
The FVIII response profile to desmopressin in HACs is associated with large variability.
The FVIII response is strongly influenced by the F8 genotype and body weight.
Visual Abstract
Desmopressin (DDAVP) is often administered to correct factor VIII (FVIII) levels in female hemophilia A carriers (HACs). However, the post-DDAVP FVIII pharmacokinetic profiles have been reported only in small series in HACs. Therefore, this study analyzed the post-DDAVP FVIII and von Willebrand factor (VWF) response in 361 HACs. A population pharmacokinetic/pharmacodynamic model was developed to analyze the VWF and FVIII levels by taking into account the F8 gene variants (n = 143 [39.6%] with null; and n = 218 [60.4%] with non-null variants), demographic and laboratory covariates. The before/after DDAVP mean basal, peak and recovery FVIII activity (FVIII:C) levels were 0.34 IU/mL (0.08-0.65), 1.13 IU/mL (0.19-2.69), and 2.85 IU/mL (1.06-7.13), respectively. Peak FVIII:C was ≥0.5 IU/mL in 95.6% (345/361) and ≥0.8 IU/mL in 78.7% (284/361) of patients. The covariate analysis showed a poorer DDAVP FVIII:C response for null than non-null F8 variants: lower mean FVIII:C peak (1.04 vs 1.23 IU/mL; P < 5 × 10–5) and patients percentage with normalized FVIII:C (91.6% vs 98.1%; P = .0068), higher mean FVIII:C clearance (5898.83 vs 2704.06 IU/h; P = 1.58 × 10–15), lower mean FVIII:C area under the curve during the first 12 hours (AUC0-12h =7.73 vs 9.06 IU/mL per hour; P < 5 × 10–6), and shorter mean time with FVIII:C ≥0.8 IU/mL (1.9 vs 4.1 hours; P < 6 × 10–6). HAC with body weight <35 kg had lower peak FVIII:C, higher FVIII:C clearance, lower AUC0-12h, and shorter time with FVIII:C ≥0.8 IU/mL than HAC with body weight 35 to 70 kg. In HACs, the post-DDAVP FVIII response is strongly influenced by the F8 genotype and body weight.
Medscape Continuing Medical Education online

In support of improving patient care, this activity has been planned and implemented by Medscape, LLC and the American Society of Hematology. Medscape, LLC is jointly accredited with commendation by the Accreditation Council for Continuing Medical Education (ACCME), the Accreditation Council for Pharmacy Education (ACPE), and the American Nurses Credentialing Center (ANCC), to provide continuing education for the healthcare team.
Medscape, LLC designates this Journal-based CME activity for a maximum of 1.0 AMA PRA Category 1 Credit(s)™. Physicians should claim only the credit commensurate with the extent of their participation in the activity.
Successful completion of this CME activity, which includes participation in the evaluation component, enables the participant to earn up to 1.0 MOC points in the American Board of Internal Medicine's (ABIM) Maintenance of Certification (MOC) program. Participants will earn MOC points equivalent to the amount of CME credits claimed for the activity. It is the CME activity provider's responsibility to submit participant completion information to ACCME for the purpose of granting ABIM MOC credit.
All other clinicians completing this activity will be issued a certificate of participation. To participate in this journal CME activity: (1) review the learning objectives; (2) study the education content; (3) take the post-test with a 75% minimum passing score and complete the evaluation at https://www.medscape.org/journal/blood; and (4) view/print the certificate. For CME questions, see page 2007.
Disclosures
CME questions author Laurie Barclay, freelance writer and reviewer, Medscape, LLC, declares no competing financial interests.
Learning objectives
Upon completion of this activity, participants will:
Describe postdesmopressin factor VIII (FVIII) and von Willebrand factor (VWF) response in hemophilia A carriers (HACs), based on a retrospective cohort study of 361 HACs
Determine the impact of F8 gene variants and demographic and laboratory covariates on postdesmopressin FVIII and VWF response in HACs, based on a population pharmacokinetic/pharmacodynamic model
Identify the clinical implications of postdesmopressin FVIII and VWF response in HACs, based on a retrospective cohort study of 361 HACs and a population pharmacokinetic/pharmacodynamic model considering F8 gene variants and demographic and laboratory covariates
Release date: October 16, 2025; Expiration date: October 16, 2026
Introduction
Hemophilia A (HA) is a rare X-linked bleeding disorder caused by a deficiency in factor VIII (FVIII) that affects 1 in 5000 males.1 This coagulation factor circulates in the bloodstream bound to the von Willebrand factor (VFW) that protects it from excessive plasma clearance. HA carriers are female who are heterozygous for a pathogenic variant responsible for familial HA. About 30% of HA carriers have low FVIII levels and can present abnormal bleeding symptoms.2 Therefore, the International Society on Thrombosis and Haemostasis Scientific and Standardization Committee recently recommended to qualify HA carriers as patients with hemophilia when the FVIII plasma level is <40 IU/mL.3 Like in males with mild HA, bleeding in HA carriers can be treated or prevented with FVIII concentrates or desmopressin (1-desamino-8-d-arginine vasopressin [DDAVP]).4,5 This drug acts as a vasopressin type 2 receptor (V2R) agonist. Upon binding to V2R on endothelial cells, DDAVP rapidly induces the secretion of VFW from Weibel-Palade bodies into the bloodstream.6,7 Conversely, the mechanism underlying FVIII increase after DDAVP administration remains poorly understood in HA. Nevertheless, DDAVP increases the level of endogenous FVIII, thus avoiding the need of potentially immunogenic exogenous FVIII products. It is also cheaper than FVIII concentrates and is widely available in the pharmacy of hospitals with emergency rooms and surgical facilities.
The FVIII response profile to DDAVP in HA carriers is considered to be quite similar to that in males with mild HA8-11: a post-DDAVP increase in FVIII level by twofold to fourfold relative to the basal level that frequently leads to its normalization. However, the FVIII response presents important interindividual variations and DDAVP testing must be carried out before its use for the management of bleeding episodes, traumas, or invasive procedures.11 The intensity of the post-DDAVP FVIII peak is influenced by the basal FVIII level.10 However, as interindividual variations are also observed in patients with similar basal FVIII levels, other factors might influence this response. Unfortunately, only few studies on the FVIII response to DDAVP in HA carriers have been published and the included samples were too small to precisely analyze the factors that influence the post-DDAVP FVIII pharmacokinetics (PK).
Therefore, the Conductrices group of the French Society of Thrombosis and Hemostasis (Société Française de Thrombose et Hémostase) performed the Genetic Influence of Desmopressin Efficacy in Hemophilia A Carriers (GIDEHAC) study to (1) describe the post-DDAVP FVIII PK profiles in a large retrospective cohort of HA carriers, (2) identify patient-related factors that influence the post-DDAVP FVIII PK, and (3) build predictive population- and Bayesian-based PK models.
Patients and methods
Patients and DDAVP administration
The national, observational, retrospective multicenter GIDEHAC study was carried out at French hemophilia treatment centers (HTCs). Enrolled patients, children and adults, were HA carriers, who received DDAVP IV during the period from 2011 to 2023, with available pre- and post-DDAVP FVIII activity (FVIII:C) level measurements. In all included patients, F8 gene sequencing was performed to confirm their carrier status. F8 pathogenic variants were designed according to the Human Genome Variation Sequence nomenclature.12 They were compared to those listed in the European Association for Haemophilia and Allied Disorders F8 gene variant database (https://f8-db.eahad.org). DDAVP was exclusively administered IV at 0.2 to 0.4 μg/kg (minimum to maximum dose, 2-24 μg) diluted in 50 mL of saline solution over 30 minutes as recommended by the French guidelines for hemophilia.13 The study was approved by the Rennes University Hospital Ethics Committee (opinion 13-75). All patients received a letter with information about the study.
Data collected and first pharmacokinetic analyses
Each patient underwent a single pharmacokinetic study following 1 DDAVP administration. All blood samples used for pharmacokinetic analysis were collected during this single exposure. DDAVP administration and sample collection were performed in the nonbleeding state and were not associated with surgical procedures or active bleeding episodes. No patient received multiple or consecutive DDAVP doses, thereby eliminating the potential confounding effect of tachyphylaxis. FVIII and VWF levels were measured just before and at least 30 or 60 minutes after the infusion. Subsequent measurements performed at 2, 4, and 6 hours after the infusion were also collected when available. All participating HTCs followed the same DDAVP infusion procedure. FVIII:C was measured using plasma in 0.109 M sodium citrate (fresh or stored at −80°C) and a 1-stage clotting assay. For each patient, the following data were collected from the medical records: FVIII:C levels before and after the DDAVP infusion, VWF antigen (VWF:Ag) levels, ABO blood type, age and body weight at the time of DDAVP infusion, DDAVP dose, HA severity in male relatives, and F8 variant. F8 variants were classified in 2 groups (null and non-null) in function of their predicted deleterious effect on the FVIII synthesis. The database integrity was checked at the end of the data collection phase, by randomly monitoring 10% of the patients.
To assess the immediate response to DDAVP, peak and recovery FVIII were analyzed. Peak FVIII:C refers to the absolute plasma FVIII:C level measured at a defined time point after DDAVP administration (typically 30 minutes or 1 hour). In contrast, FVIII recovery is a normalized measure of the FVIII increase in relation to the baseline FVIII:C. It reflects the efficiency of response to DDAVP. The qualitative response to DDAVP was determined with both scores absolute and relative responses (AR and RR, respectively), previously reported by Stoof et al.14 The AR, based on peak FVIII:C, was classified as complete (≥0.50 IU/mL), partial (between 0.30 and 0.50 IU/mL) or absent (<0.30 IU/mL). The complete AR was further divided into 2 subgroups: <0.8 and ≥0.8, corresponding to a normalized FVIII:C level ≥0.50 but <0.80 and ≥0.80 IU/mL, respectively. The RR, based on FVIII:C recovery (ie, the peak-to-basal FVIII:C ratio), was defined as complete (≥3), partial (between 2 and 3) or absent (<2).
Descriptive characteristics were described using mean values and minimum to maximum values. The monovariate analysis to investigate factors influencing FVIII response to DDAVP used the unpaired parametric t test to compare continuous variables between groups and the Fisher exact test to compare AR and RR between groups. The 95% confidence interval was determined and a P value <.05 was considered significant. GraphPad 10.0 (Prism Software Inc, San Diego, CA) was used for the statistical analyses.
Pharmacokinetic modeling of the response to DDAVP
where is the observed level of VWF:Ag or FVIII:C in patient at time ; is the VWF:Ag or FVIII:C level predicted by the model for patient at time for the individual parameters , and that correspond to the constant and proportional error components models, respectively.
Structure of the post-DDAVP FVIII and VWF pharmacokinetic model. and represent the central volume of distribution of VWF and FVIII; and represent the zero-order synthesis constant of VWF and FVIII; and represent the first-order elimination rate of VWF and FVIII; represents the inhibitory effect of VWF:Ag on FVIII clearance (; represents the FVIII clearance to the baseline level.
Structure of the post-DDAVP FVIII and VWF pharmacokinetic model. and represent the central volume of distribution of VWF and FVIII; and represent the zero-order synthesis constant of VWF and FVIII; and represent the first-order elimination rate of VWF and FVIII; represents the inhibitory effect of VWF:Ag on FVIII clearance (; represents the FVIII clearance to the baseline level.
where is VWF inhibitory effect on FVIII clearance (, is the VWF:Ag level that leads to 50% reduction in FVIII clearance, and is the FVIII clearance for baseline VWF:Ag (). All the parameters were assumed to be log-normally distributed.
Covariate analysis
The analysis of covariates consisted in identifying the covariates with a significant effect on the interindividual VWF:Ag and FVIII:C PK variability after DDAVP infusion. The following patient characteristics were evaluated: age, body weight, ABO blood type, F8 genotype, and severity of the familial HA. To identify factors associated with interindividual variability in DDAVP response, a 2-step covariate analysis was performed. In the first step, an exploratory univariate analysis was conducted to assess potential associations between candidate covariates and key PK/pharmacodynamics (PD) parameters. In the second step, covariates identified as potentially relevant in the univariate analysis were incorporated into the population PK/PD model using a multivariate stepwise forward inclusion and backward elimination approach.
where , and denote the volume of distribution, body weight, and the random effect of patient i, respectively. The parameter corresponds to the regression coefficient.
where corresponds to the regression coefficient when genotype = null.
Covariates were kept in the model if they improved the fit, reduced interpatient variability and decreased the objective function, calculated as –2log likelihood, by at least 3.84 compared with the previous model (χ2 test, P < .05 for 1 degree of freedom). The statistical significance (P < .01) of each covariate was assessed during the stepwise deletion phase. Only covariates associated with an increase ≥10.83 in the objective function value were retained in the model. The effect of each retained covariate was quantified by its estimated β coefficient, representing the independent contribution of that covariate to the relevant PK or PD parameter.
Simulations
To better understand DDAVP effect on FVIII and VWF PK, Monte Carlo simulations were developed using the final model parameter estimates. Virtual populations of 1000 patients were generated according to the patients’ characteristics (age, body weight, ABO blood type, and F8 genotype).
Results
Population description
In total, 361 HA carriers issued from 349 families were included in the study by 14 HTCs. Their basal characteristics are presented in Table 1. Their median age was 25 (quartile 1 [Q1]-Q3, 13-36), and 125 patients (34.6%) were aged <18 years. Their median basal FVIII:C level was 0.34 IU/mL (Q1-Q3, 0.26-0.39) and 270 patients (74.8%) had a basal FVIII:C level <0.4 IU/mL. Familial HA in related males was severe (158 carriers [43.8%]), moderate (58 [16.1%]) or mild (145 [40.2%]; Table 1). They harbored 164 different F8 pathogenic variants, including 125 previously reported (n = 313 carriers) and 39 unknown (n = 48 carriers; supplemental Table 1, available on the Blood website). All variants were classified as null (n = 143 carriers [39.6%]) or non-null (n = 218 [60.4%]) in function of their predicted deleterious effect on FVIII production (Figure 2). The basal characteristics were not different in the 3 groups of familial HA severity and in the 2 gene variant groups (Table 1).
Characteristics of the included HA carriers
| . | Total . | Severe HA∗ . | Moderate HA∗ . | Mild HA∗ . | F8 null variant† . | F8 non-null variant‡ . |
|---|---|---|---|---|---|---|
| n (%) | 361 | 158 (43.8) | 58 (16.1) | 145 (40.2) | 143 (39.6) | 218 (60.4) |
| Age, mean (min-max), y | 25 (13-36) | 26 (12-36) | 20 (9-31) | 26 (16-38) | 25 (11-34) | 25 (14-37) |
| Weight, mean (min-max), kg | 67 (47-68) | 67 (40-68) | 63 (31-68) | 67 (50-67) | 67 (40-68) | 67 (48-68) |
| Basal levels, mean (min-max), IU/mL | ||||||
| FVIII:C | 0.34 (0.26-0.39) | 0.32 (0.25-0.39) | 0.35 (0.28-0.37) | 0.34 (0.27-0.40) | 0.32 (0.25-0.39) | 0.35 (0.28-0.40) |
| VWF:Ag§ | 0.76 (0.63-0.94) | 0.78 (0.64-0.98) | 0.73 (0.65-0.90) | 0.75 (0.59-0.90) | 0.77 (0.64-0.99) | 0.75 (0.62-0.91) |
| Ratio of FVIII:C to VWF:Ag,§ mean (min-max) | 0.31 (0.15-0.48) | 0.30 (0.12-0.46) | 0.22 (0.14-0.38) | 0.34 (0.20-0.51) | 0.30 (0.11-0.43) | 0.31 (0.17-0.50) |
| Blood type,‖n (%) | ||||||
| O | 195 (62.3) | 74 (37.9) | 26 (13.3) | 95 (48.7) | 68 (34.9) | 127 (65.1) |
| Non-O | 118 (37.7) | 62 (52.5) | 17 (14.4) | 39 (33.1) | 53 (44.9) | 65 (55.1) |
| DDAVP dose,¶ mean (min-max), μg/kg | 0.30 (0.30-0.30) | 0.30 (0.30-0.31) | 0.30 (0.30-0.30) | 0.30 (0.30-0.31) | 0.30 (0.30-0.32) | 0.30 (0.30-0.30) |
| . | Total . | Severe HA∗ . | Moderate HA∗ . | Mild HA∗ . | F8 null variant† . | F8 non-null variant‡ . |
|---|---|---|---|---|---|---|
| n (%) | 361 | 158 (43.8) | 58 (16.1) | 145 (40.2) | 143 (39.6) | 218 (60.4) |
| Age, mean (min-max), y | 25 (13-36) | 26 (12-36) | 20 (9-31) | 26 (16-38) | 25 (11-34) | 25 (14-37) |
| Weight, mean (min-max), kg | 67 (47-68) | 67 (40-68) | 63 (31-68) | 67 (50-67) | 67 (40-68) | 67 (48-68) |
| Basal levels, mean (min-max), IU/mL | ||||||
| FVIII:C | 0.34 (0.26-0.39) | 0.32 (0.25-0.39) | 0.35 (0.28-0.37) | 0.34 (0.27-0.40) | 0.32 (0.25-0.39) | 0.35 (0.28-0.40) |
| VWF:Ag§ | 0.76 (0.63-0.94) | 0.78 (0.64-0.98) | 0.73 (0.65-0.90) | 0.75 (0.59-0.90) | 0.77 (0.64-0.99) | 0.75 (0.62-0.91) |
| Ratio of FVIII:C to VWF:Ag,§ mean (min-max) | 0.31 (0.15-0.48) | 0.30 (0.12-0.46) | 0.22 (0.14-0.38) | 0.34 (0.20-0.51) | 0.30 (0.11-0.43) | 0.31 (0.17-0.50) |
| Blood type,‖n (%) | ||||||
| O | 195 (62.3) | 74 (37.9) | 26 (13.3) | 95 (48.7) | 68 (34.9) | 127 (65.1) |
| Non-O | 118 (37.7) | 62 (52.5) | 17 (14.4) | 39 (33.1) | 53 (44.9) | 65 (55.1) |
| DDAVP dose,¶ mean (min-max), μg/kg | 0.30 (0.30-0.30) | 0.30 (0.30-0.31) | 0.30 (0.30-0.30) | 0.30 (0.30-0.31) | 0.30 (0.30-0.32) | 0.30 (0.30-0.30) |
min-max, minimum to maximum.
Severity of the familial HA in males.
Null variants include large deletions, intron 1 or 22 inversions, small nucleotide insertions/deletions causing a frameshift with a premature stop codon, and nonsense substitutions.
Non-null variants include missense variants, nucleotide substitutions in the promoter or splice sites, and small deletions of 10 to14 nucleotides in intron 13.
VWF levels were available for 334 of 361 carriers (93%).
ABO blood type data were available for 313 of 361 carriers (86%).
DDAVP doses were available for 346 of 361 carriers (96%).
F8 pathogenic variants identified in the HA carrier cohort. In the GIDEHAC cohort (N = 361 HA carriers), 164 different pathogenic variants of the F8 gene were identified. Null and non-null variants were predicted to have a major and a mild deleterious effect on FVIII synthesis, respectively. The null variant group included inversions of introns 1 and 22, nonsense variants, large deletions or duplications, and small insertions/deletions creating a frameshift with a predicted premature stop codon. The latter included small insertions/deletions located in polyA runs, although some of these could be associated with an in-frame nucleotide repositioning mechanism, allowing only low FVIII synthesis and therefore moderate HA. The non-null variant group included missense variants, intron anomalies (nucleotides substitutions or deletions/insertions distant from exons), and nucleotide substitutions located in the promoter.
F8 pathogenic variants identified in the HA carrier cohort. In the GIDEHAC cohort (N = 361 HA carriers), 164 different pathogenic variants of the F8 gene were identified. Null and non-null variants were predicted to have a major and a mild deleterious effect on FVIII synthesis, respectively. The null variant group included inversions of introns 1 and 22, nonsense variants, large deletions or duplications, and small insertions/deletions creating a frameshift with a predicted premature stop codon. The latter included small insertions/deletions located in polyA runs, although some of these could be associated with an in-frame nucleotide repositioning mechanism, allowing only low FVIII synthesis and therefore moderate HA. The non-null variant group included missense variants, intron anomalies (nucleotides substitutions or deletions/insertions distant from exons), and nucleotide substitutions located in the promoter.
The median peak FVIII:C after DDAVP infusion was 1.09 IU/mL (Q1-Q3, 0.82-1.37) and the median FVIII recovery value was 2.80 (Q1-Q3, 2.33-3.58). In most patients (345/361 [95.6%]), DDAVP allowed the normalization of FVIII:C level (≥0.50 IU/mL) in 345 of 361 patients (95.6%), leading to a complete AR (Figure 3A). In 284 of 361 patients (78.7%), complete AR was ≥0.8 (ie, peak FVIII ≥0.8 IU/mL). The RR to DDAVP was complete in 158 of 361 patients (43.8%) and partial in 166 of 361 (46.0%) patients (Figure 3B).
DDAVP response scoring. (A) AS to DDAVP. (B) RR to DDAVP. The AS is a qualitative score based on the peak FVIII:C level: complete (peak ≥0.50 IU/mL), partial (peak ≥0.30 to <0.50 IU/mL), or absent (peak <0.30 IU/mL). The complete AS was further divided into 2 subgroups, <0.8 and ≥0.8, corresponding to FVIII normalization ≥0.50 but <0.8 IU/mL and ≥0.80 IU/mL, respectively. The RR is a qualitative score based on FVIII recovery (peak-to-basal FVIII:C ratio): complete (≥3), partial (≤2 to <3), or absent (<2).
DDAVP response scoring. (A) AS to DDAVP. (B) RR to DDAVP. The AS is a qualitative score based on the peak FVIII:C level: complete (peak ≥0.50 IU/mL), partial (peak ≥0.30 to <0.50 IU/mL), or absent (peak <0.30 IU/mL). The complete AS was further divided into 2 subgroups, <0.8 and ≥0.8, corresponding to FVIII normalization ≥0.50 but <0.8 IU/mL and ≥0.80 IU/mL, respectively. The RR is a qualitative score based on FVIII recovery (peak-to-basal FVIII:C ratio): complete (≥3), partial (≤2 to <3), or absent (<2).
Evaluation and validation of the PK/PD model
A total of 1471 VWF:Ag and 1918 FVIII:C measurements were included. The mean number of measurements per patient was 4.1 for VWF:Ag (1-5) and 5.3 for FVIII:C (1-7). Both VWF:Ag and FVIII:C were described in 2 1-compartment models linked by an indirect response model between VWF:Ag amount and FVIII:C clearance. The final parameter estimates are presented in Table 2. The population parameter for VWF:Ag were 0.87 IU/mL, 5875.28 mL, and 416.91 IU/h for baseline level, volume of distribution, and clearance, respectively. The population parameter for FVIII:C were 0.36 IU/mL, 5256.50 mL, and 2704.06 IU/h for baseline level, volume of distribution, and clearance, respectively. The mean time during which the FVIII:C level was maintained ≥0.5 IU/mL and ≥0.8 IU/mL was estimated at 17 hours (range, 0-47 hours) and 4.5 hours (range, 0-12 hours), respectively. The IC50 (the VWF:Ag level leading to a 50% reduction in FVIII clearance) was 1.1 IU/mL. The final model was evaluated and validated using the goodness-of-fit plots for both VWF:Ag and FVIII:C (Figure 4A). The data exhibited no apparent bias in model predictions. According to the visual predictive check plot (Figure 4B), the mean observed values were well predicted. Only extreme profiles were not within 90% of the simulated values, demonstrating the good predictive capacity of the models.
Final parameter estimates of the post-DDAVP FVIII and VWF PK
| Pharmacokinetic parameters of FVIII and VWF . | Typical value (RSE, %) . |
|---|---|
| Mean population parameters for VWF | |
| Scaling factor of VWF | 269.92 (1.89) |
| Volume of distribution of VWF (mL) (V_VWF) | 5875.28 (3.14) |
| VWF clearance (mL/h) (Cl_VWF) | 416.91 (6.47) |
| VWF baseline level (IU/mL) (base_VWF) | 0.87 (2.36) |
| Mean population parameters for FVIII | |
| Scaling factor of FVIII | 211.56 (1.12) |
| Volume of distribution of FVIII (mL) (V_FVIII) | 5256.5 (3.67) |
| FVIII clearance (mL/h) (Cl_FVIII) | 2704.06 (10.3) |
| FVIII baseline level (IU/mL) (base_FVIII) | 0.36 (2.10) |
| Parameters for the VWF-FVIII relationship | |
| Imax (IU/mL) | 1 (—) |
| IC50 (IU/mL) | 1.1 (0.0696) |
| Covariate effect for VWF | |
| β body weight on V_VWF | 1 (—) |
| β body weight on Cl_VWF | 0.75 (—) |
| β blood group 0 on base_VWF | −0.2 (15.1) |
| Covariate effect for FVIII | |
| β body weight on V_FVIII | 0.88 (6.79) |
| β body weight on Cl_VWF | 0.75 (—) |
| β null variant on Cl_FVIII | 0.78 (19.7) |
| β null variant on base_FVIII | −0.11 (31.2) |
| Interindividual variability for VWF | |
| ω V_VWF | 39.95 (5.32) |
| ω Cl_VWF | 71.62 (8.70) |
| ω base_VWF | 25.28 (4.28) |
| γ base_VWF | 14.06 (7.13) |
| Interindividual variability for FVIII | |
| ω V_FVIII | 47.28 (5.81) |
| ω Cl_FVIII | 129.99 (8.20) |
| ω base_FVIII | 28.4 (4.58) |
| γ base_FVIII | 10.18 (7.54) |
| Residual error model | |
| Proportional error for VWF:Ag | 0.092 (3.49) |
| Additive error for FVIII:C | 0.01 (22.0) |
| Proportional error for FVIII:C | 0.1 (4.51) |
| Pharmacokinetic parameters of FVIII and VWF . | Typical value (RSE, %) . |
|---|---|
| Mean population parameters for VWF | |
| Scaling factor of VWF | 269.92 (1.89) |
| Volume of distribution of VWF (mL) (V_VWF) | 5875.28 (3.14) |
| VWF clearance (mL/h) (Cl_VWF) | 416.91 (6.47) |
| VWF baseline level (IU/mL) (base_VWF) | 0.87 (2.36) |
| Mean population parameters for FVIII | |
| Scaling factor of FVIII | 211.56 (1.12) |
| Volume of distribution of FVIII (mL) (V_FVIII) | 5256.5 (3.67) |
| FVIII clearance (mL/h) (Cl_FVIII) | 2704.06 (10.3) |
| FVIII baseline level (IU/mL) (base_FVIII) | 0.36 (2.10) |
| Parameters for the VWF-FVIII relationship | |
| Imax (IU/mL) | 1 (—) |
| IC50 (IU/mL) | 1.1 (0.0696) |
| Covariate effect for VWF | |
| β body weight on V_VWF | 1 (—) |
| β body weight on Cl_VWF | 0.75 (—) |
| β blood group 0 on base_VWF | −0.2 (15.1) |
| Covariate effect for FVIII | |
| β body weight on V_FVIII | 0.88 (6.79) |
| β body weight on Cl_VWF | 0.75 (—) |
| β null variant on Cl_FVIII | 0.78 (19.7) |
| β null variant on base_FVIII | −0.11 (31.2) |
| Interindividual variability for VWF | |
| ω V_VWF | 39.95 (5.32) |
| ω Cl_VWF | 71.62 (8.70) |
| ω base_VWF | 25.28 (4.28) |
| γ base_VWF | 14.06 (7.13) |
| Interindividual variability for FVIII | |
| ω V_FVIII | 47.28 (5.81) |
| ω Cl_FVIII | 129.99 (8.20) |
| ω base_FVIII | 28.4 (4.58) |
| γ base_FVIII | 10.18 (7.54) |
| Residual error model | |
| Proportional error for VWF:Ag | 0.092 (3.49) |
| Additive error for FVIII:C | 0.01 (22.0) |
| Proportional error for FVIII:C | 0.1 (4.51) |
β represents the independent contribution of each covariate to DDAVP PK or pharmacodynamics parameters. ω and γ represent the variance of a distribution of some parameters in the model. Imax represents the maximal inhibitory effect of the VWF:Ag level on FVIII clearance.
CV, coefficient of variation; RSE, relative standard error.
Evaluation and validation of the final model for the post-DDAVP PK of FVIII and VWF. (A) Goodness-of-fit plots for the VWF and FVIII PK. The goodness-of-fit plots were used for the population-based model of VWF:Ag (left) and FVIII:C (right) PK. Observed vs population predictions (upper) and observed FVIII:C levels vs individual predictions (mode) (lower); the gray line corresponds to the identity line, and the red line to the regression line. (B) Visual predictive check plots. Blue points represent VWF:Ag and FVIII:C measurements (observed values in patients); pink bands represent the prediction intervals of the model for the 5th, 50th, and 95th percentiles of 1000 simulations, respectively.
Evaluation and validation of the final model for the post-DDAVP PK of FVIII and VWF. (A) Goodness-of-fit plots for the VWF and FVIII PK. The goodness-of-fit plots were used for the population-based model of VWF:Ag (left) and FVIII:C (right) PK. Observed vs population predictions (upper) and observed FVIII:C levels vs individual predictions (mode) (lower); the gray line corresponds to the identity line, and the red line to the regression line. (B) Visual predictive check plots. Blue points represent VWF:Ag and FVIII:C measurements (observed values in patients); pink bands represent the prediction intervals of the model for the 5th, 50th, and 95th percentiles of 1000 simulations, respectively.
Factors influencing the post-DDAVP VWF and FVIII PK
In the monovariate analysis, the body weight was directly correlated with the peak and recovery FVIII:C but with no effect on basal FVIII:C levels (Table 3). The basal FVIII:C level was directly correlated with the FVIII:C peak (slope, 2173; P < .0001) without effect on the FVIII:C recovery (supplemental Figure 1A). The lower the basal VWF:Ag levels, the lower the basal FVIII:C levels (slope, 0.054; P = .0242), but conversely, the higher post-DDAVP FVIII:C peaks (slope, −0.350; P = .0003) and FVIII:C recovery (slope, −0.012; P < .0001; supplemental Figure 1B-C). This influence of the basal VWF:Ag was also observed for levels <0.70 IU/mL vs ≥0.7 IU/mL regardless of the blood type (Table 3). F8 variants and the severity of the familial HA strongly influenced the immediate post-DDAVP PK of FVIII:C. So, null F8 variants and severe/moderate familial HA were significantly associated with lower basal level, FVIII:C peak and recovery than non-null F8 variants and mild familial HA, respectively. As a consequence, complete RR and AR were significantly less frequent in patients with a null F8 variant than with a non-null F8 variant (38.5% [55/143] vs 47.7% [104/218]; P = .0454 and 98.2% [214/218] vs 90.9% [130/143]; P = .0059, respectively; Tables 4 and 5). A complete AR ≥0.8 was also less frequent in patients with a null F8 variant vs with a non-null F8 variant (102/143 [71.3%] vs 83.0% [181/218]; P = .0092). Similar results were observed with the severity of the familial HA and the body weight. Finally, the highest DDAVP doses significantly increased the post-DDAVP FVIII:C recoveries, but with a lighter effect on FVIII:C peaks.
Factors influencing the immediate post-DDAVP FVIII:C response
| . | n . | Basal FVIII:C, mean (min-max), IU/mL . | P value . | FVIII:C peak, mean (min-max), IU/mL . | P value . | FVIII:C recovery, mean (min-max) . | P value . |
|---|---|---|---|---|---|---|---|
| All | 361 | 0.34 (0.08-0.65) | 1.13 (0.19-2.69) | 2.85 (1.06-7.13) | |||
| F8 variants | |||||||
| Null∗ | 143 | 0.32 (0.08-0.65) | .0115 | 1.01 (0.19-2.26) | <.0001 | 2.85 (1.06-5.14) | .0038 |
| Non-null† | 218 | 0.35 [0.10-0.64] | 1.21 (0.44-2.69) | 3.15 (1.25-7.13) | |||
| Severity of the familial HA‡ | |||||||
| Severe/moderate | 216 | 0.32 (0.08-0.65) | .0049 | 1.04 (0.19-2.34) | <.0001 | 2.84 (1.06-6.10) | <.0001 |
| Mild | 145 | 0.35 (0.16-0.64) | 1.27 (0.44-2.69) | 3.31 (1.25-7.13) | |||
| Basal VWF:Ag§ | |||||||
| <0.70 | 127 | 0.32 (0.09-0.55) | .0183 | 1.21 (0.35-2.60) | .0047 | 3.32 (1.25-7.13) | <.0001 |
| ≥0.70 | 207 | 0.35 (0.08-0.65) | 1.08 (0.19-2.69) | 2.85 (1.06-5.64) | |||
| Blood type|| | |||||||
| O | 195 | 0.34 (0.09-0.65) | ns | 1.15 (0.19-2.69) | ns | 3.07 (1.06-6.95) | ns |
| Non-O | 118 | 0.34 (0.08-0.64) | .9259 | 1.15 (0.38-2.60) | .9511 | 2.99 (1.41-6.84) | .4342 |
| Age (y) | |||||||
| <18 | 125 | 0.32 (0.08-0.56) | .0156 | 1.10 (0.34-2.60) | ns | 2.95 (1.25-7.13) | ns |
| ≥18 | 236 | 0.35 (0.09-0.65) | 1.15 (0.19-2.69) | .2188 | 3.08 (1.06-6.95) | .2161 | |
| Body weight (kg) | |||||||
| <35 | 72 | 0.32 (0.08-0.56) | 1.01 (0.35-1.72) | 2.68 (1.25-4.41) | |||
| 35-70 | 271 | 0.34 (0.10-0.64) | ns | 1.15 (0.19-2.69) | .0105 | 3.12 (1.06-7.13) | .0007 |
| ≥70 | 18 | 0.41 (0.24-0.65) | .2015 | 1.36 (0.81-1.86) | 3.25 (1.80-6.10) | ||
| DDAVP doses¶(μg/kg) | |||||||
| ≤0.3 | 263 | 0.34 (0.08-0.65) | ns | 1.11 (0.19-2.53) | ns | 2.94 (1.06-7.13) | .0005 |
| >0.3 | 83 | 0.32 (0.15-0.55) | .0795 | 1.21 (0.35-2.69) | .0625 | 3.36 (1.70-6.84) |
| . | n . | Basal FVIII:C, mean (min-max), IU/mL . | P value . | FVIII:C peak, mean (min-max), IU/mL . | P value . | FVIII:C recovery, mean (min-max) . | P value . |
|---|---|---|---|---|---|---|---|
| All | 361 | 0.34 (0.08-0.65) | 1.13 (0.19-2.69) | 2.85 (1.06-7.13) | |||
| F8 variants | |||||||
| Null∗ | 143 | 0.32 (0.08-0.65) | .0115 | 1.01 (0.19-2.26) | <.0001 | 2.85 (1.06-5.14) | .0038 |
| Non-null† | 218 | 0.35 [0.10-0.64] | 1.21 (0.44-2.69) | 3.15 (1.25-7.13) | |||
| Severity of the familial HA‡ | |||||||
| Severe/moderate | 216 | 0.32 (0.08-0.65) | .0049 | 1.04 (0.19-2.34) | <.0001 | 2.84 (1.06-6.10) | <.0001 |
| Mild | 145 | 0.35 (0.16-0.64) | 1.27 (0.44-2.69) | 3.31 (1.25-7.13) | |||
| Basal VWF:Ag§ | |||||||
| <0.70 | 127 | 0.32 (0.09-0.55) | .0183 | 1.21 (0.35-2.60) | .0047 | 3.32 (1.25-7.13) | <.0001 |
| ≥0.70 | 207 | 0.35 (0.08-0.65) | 1.08 (0.19-2.69) | 2.85 (1.06-5.64) | |||
| Blood type|| | |||||||
| O | 195 | 0.34 (0.09-0.65) | ns | 1.15 (0.19-2.69) | ns | 3.07 (1.06-6.95) | ns |
| Non-O | 118 | 0.34 (0.08-0.64) | .9259 | 1.15 (0.38-2.60) | .9511 | 2.99 (1.41-6.84) | .4342 |
| Age (y) | |||||||
| <18 | 125 | 0.32 (0.08-0.56) | .0156 | 1.10 (0.34-2.60) | ns | 2.95 (1.25-7.13) | ns |
| ≥18 | 236 | 0.35 (0.09-0.65) | 1.15 (0.19-2.69) | .2188 | 3.08 (1.06-6.95) | .2161 | |
| Body weight (kg) | |||||||
| <35 | 72 | 0.32 (0.08-0.56) | 1.01 (0.35-1.72) | 2.68 (1.25-4.41) | |||
| 35-70 | 271 | 0.34 (0.10-0.64) | ns | 1.15 (0.19-2.69) | .0105 | 3.12 (1.06-7.13) | .0007 |
| ≥70 | 18 | 0.41 (0.24-0.65) | .2015 | 1.36 (0.81-1.86) | 3.25 (1.80-6.10) | ||
| DDAVP doses¶(μg/kg) | |||||||
| ≤0.3 | 263 | 0.34 (0.08-0.65) | ns | 1.11 (0.19-2.53) | ns | 2.94 (1.06-7.13) | .0005 |
| >0.3 | 83 | 0.32 (0.15-0.55) | .0795 | 1.21 (0.35-2.69) | .0625 | 3.36 (1.70-6.84) |
A monovariate analysis was performed to investigate the influence of different factors on the FVIII response to DDAVP, using the unpaired parametric t test to compare continuous variables between groups.
ns, nonsignificant.
Null variants include large deletions, intron 1 or 22 inversions, small nucleotide insertions/deletions causing a frameshift with a premature stop codon, and nonsense substitutions.
Non-null variants include missense variants, nucleotide substitutions in the promoter or splice sites, and small deletions of 10 to 14 nucleotides in intron 13.
Severity of the familial HA known in male relatives.
VWF:Ag levels were available for 334 of 361 carriers (93%).
ABO blood type data were available for 313 of 361 carriers (86%).
DDAVP doses were available for 346 of 361 carriers (96%).
Scores of FVIII RR to DDAVP
| RR . | |||||
|---|---|---|---|---|---|
| . | Total . | Absent . | Partial . | Complete . | P value . |
| F8 variants, n (%) | |||||
| Null | 143 | 21 (14.7) | 65 (45.5) | 55 (38.5) | .0454 |
| Non-null | 218 | 16 (7.3) | 98 (45.0) | 104 (47.7) | |
| Severity of the familial HA, n (%) | |||||
| Severe/moderate | 216 | 27 (12.5) | 107 (49.5) | 82 (38.0) | .0170 |
| Mild | 145 | 10 (6.9) | 59 (40.7) | 76 (52.4) | |
| Basal VWF levels (IU/mL), n (%) | |||||
| <0.7 | 127 | 6 (4.7) | 49 (38.6) | 72 (56.7) | .0001 |
| ≥0.7 | 207 | 29 (14.0) | 106 (51.2) | 72 (34.8) | |
| Blood group, n (%) | |||||
| O | 195 | 20 (10.3) | 88 (45.1) | 87 (44.6) | .4704 |
| Non-O | 118 | 10 (8.5) | 62 (52.5) | 46 (39.0) | |
| Age (y), n (%) | |||||
| ≤18 | 125 | 17 (13.6) | 64 (51.2) | 44 (35.2) | .0331 |
| >18 | 236 | 20 (8.5) | 101 (42.8) | 115 (48.7) | |
| Body weight (kg), n (%) | |||||
| ≤35 | 72 | 13 (18.1) | 40 (55.6) | 19 (26.4) | .0130 |
| 35-70 | 271 | 22 (8.1) | 114 (42.1) | 121 (44.6) | |
| >70 | 18 | 1 (5.6) | 8 (44.4) | 9 (50.0) | |
| DDAVP doses (μg/kg), n (%) | |||||
| ≤0.3 | 263 | 31 (11.8) | 125 (47.5) | 107 (40.7) | .0498 |
| >0.3 | 83 | 5 (6.0) | 32 (38.6) | 46 (55.4) | |
| RR . | |||||
|---|---|---|---|---|---|
| . | Total . | Absent . | Partial . | Complete . | P value . |
| F8 variants, n (%) | |||||
| Null | 143 | 21 (14.7) | 65 (45.5) | 55 (38.5) | .0454 |
| Non-null | 218 | 16 (7.3) | 98 (45.0) | 104 (47.7) | |
| Severity of the familial HA, n (%) | |||||
| Severe/moderate | 216 | 27 (12.5) | 107 (49.5) | 82 (38.0) | .0170 |
| Mild | 145 | 10 (6.9) | 59 (40.7) | 76 (52.4) | |
| Basal VWF levels (IU/mL), n (%) | |||||
| <0.7 | 127 | 6 (4.7) | 49 (38.6) | 72 (56.7) | .0001 |
| ≥0.7 | 207 | 29 (14.0) | 106 (51.2) | 72 (34.8) | |
| Blood group, n (%) | |||||
| O | 195 | 20 (10.3) | 88 (45.1) | 87 (44.6) | .4704 |
| Non-O | 118 | 10 (8.5) | 62 (52.5) | 46 (39.0) | |
| Age (y), n (%) | |||||
| ≤18 | 125 | 17 (13.6) | 64 (51.2) | 44 (35.2) | .0331 |
| >18 | 236 | 20 (8.5) | 101 (42.8) | 115 (48.7) | |
| Body weight (kg), n (%) | |||||
| ≤35 | 72 | 13 (18.1) | 40 (55.6) | 19 (26.4) | .0130 |
| 35-70 | 271 | 22 (8.1) | 114 (42.1) | 121 (44.6) | |
| >70 | 18 | 1 (5.6) | 8 (44.4) | 9 (50.0) | |
| DDAVP doses (μg/kg), n (%) | |||||
| ≤0.3 | 263 | 31 (11.8) | 125 (47.5) | 107 (40.7) | .0498 |
| >0.3 | 83 | 5 (6.0) | 32 (38.6) | 46 (55.4) | |
Scores of FVIII AR to DDAVP
| AR . | |||||||
|---|---|---|---|---|---|---|---|
| . | Total . | Absent . | Partial . | Complete . | P value . | Complete ≥0.8 . | P value . |
| F8 variants, n (%) | |||||||
| Null | 143 | 1 (0.7) | 11 (7.7) | 130 (90.9) | .0059 | 102 (71.3) | .0092 |
| Non-null | 218 | 0 (0) | 4 (1.8) | 214 (98.2) | 181 (83.0) | ||
| Severity of the familial HA, n (%) | |||||||
| Severe/moderate | 216 | 1 (0.5) | 13 (6.0) | 202 (93.5) | .0416 | 160 (74.1) | .0091 |
| 124 (85.5) | |||||||
| Mild | 145 | 0 (0) | 2 (1.4) | 143 (98.6) | |||
| Basal VWF levels (IU/mL), n (%) | |||||||
| <0.7 | 127 | 0 (0) | 4 (3.1) | 123 (96.9) | .8592 | 103 (81.1) | .2804 |
| ≥0.7 | 207 | 1 (0.5) | 9 (4.3) | 197 (95.2) | 157 (75.8) | ||
| Blood group, n (%) | |||||||
| O | 195 | 1 (0.5) | 9 (4.6) | 186 (94.8) | .7162 | 154 (79.4) | .6641 |
| Non-O | 118 | 0 (0) | 3 (2.5) | 115 (97.5) | 96 (81.4) | ||
| Age (y), n (%) | |||||||
| <18 | 125 | 0 (0) | 10 (8.0) | 115 (92.0) | .0159 | 93 (74.4) | .1768 |
| ≥18 | 236 | 1 (0.4) | 5 (2.1) | 230 (97.5) | 191 (80.9) | ||
| Body weight (kg), n (%) | |||||||
| ≤35 | 72 | 0 (0) | 6 (8.3) | 66 (91.7) | .3182 | 51 (70.8) | .0180 |
| 35-70 | 271 | 1 (0.4) | 9 (3.3) | 246 (90.8) | 201 (74.2) | ||
| >70 | 18 | 0 (0) | 0 (0) | 18 (100.0) | 18 (100.0) | ||
| DDAVP doses (μg/kg), n (%) | |||||||
| ≤0.3 | 263 | 1 (0.4) | 13 (4.9) | 249 (94.7) | .6476 | 201 (76.4) | .2258 |
| >0.3 | 83 | 0 (0) | 2 (2.4) | 81 (97.6) | 69 (83.1) | ||
| AR . | |||||||
|---|---|---|---|---|---|---|---|
| . | Total . | Absent . | Partial . | Complete . | P value . | Complete ≥0.8 . | P value . |
| F8 variants, n (%) | |||||||
| Null | 143 | 1 (0.7) | 11 (7.7) | 130 (90.9) | .0059 | 102 (71.3) | .0092 |
| Non-null | 218 | 0 (0) | 4 (1.8) | 214 (98.2) | 181 (83.0) | ||
| Severity of the familial HA, n (%) | |||||||
| Severe/moderate | 216 | 1 (0.5) | 13 (6.0) | 202 (93.5) | .0416 | 160 (74.1) | .0091 |
| 124 (85.5) | |||||||
| Mild | 145 | 0 (0) | 2 (1.4) | 143 (98.6) | |||
| Basal VWF levels (IU/mL), n (%) | |||||||
| <0.7 | 127 | 0 (0) | 4 (3.1) | 123 (96.9) | .8592 | 103 (81.1) | .2804 |
| ≥0.7 | 207 | 1 (0.5) | 9 (4.3) | 197 (95.2) | 157 (75.8) | ||
| Blood group, n (%) | |||||||
| O | 195 | 1 (0.5) | 9 (4.6) | 186 (94.8) | .7162 | 154 (79.4) | .6641 |
| Non-O | 118 | 0 (0) | 3 (2.5) | 115 (97.5) | 96 (81.4) | ||
| Age (y), n (%) | |||||||
| <18 | 125 | 0 (0) | 10 (8.0) | 115 (92.0) | .0159 | 93 (74.4) | .1768 |
| ≥18 | 236 | 1 (0.4) | 5 (2.1) | 230 (97.5) | 191 (80.9) | ||
| Body weight (kg), n (%) | |||||||
| ≤35 | 72 | 0 (0) | 6 (8.3) | 66 (91.7) | .3182 | 51 (70.8) | .0180 |
| 35-70 | 271 | 1 (0.4) | 9 (3.3) | 246 (90.8) | 201 (74.2) | ||
| >70 | 18 | 0 (0) | 0 (0) | 18 (100.0) | 18 (100.0) | ||
| DDAVP doses (μg/kg), n (%) | |||||||
| ≤0.3 | 263 | 1 (0.4) | 13 (4.9) | 249 (94.7) | .6476 | 201 (76.4) | .2258 |
| >0.3 | 83 | 0 (0) | 2 (2.4) | 81 (97.6) | 69 (83.1) | ||
The covariate analysis issued from the post-DDAVP FVIII:C PK/PD model showed that body weight and F8 genotype significantly influenced the interindividual FVIII PK variability (supplemental Figure 2). The body weight influenced the volume of distribution (P < 2.2 × 10 –16) and clearance (P < 2.2 × 10–16) of VWF:Ag, and the volume of distribution (P < 2.2 × 10–16) and clearance (P < 2.2 × 10–16) of FVIII:C (P < .01). The regression coefficient of the size descriptor was fixed at 0.75 and 1 for the clearance and Vc parameters according to previous work.18 Compared to patients with body weight between 35 and 70 kg (n = 271), in patients with body weight <35 kg (n = 72), mean peak FVIII:C level was 10.2% lower (1.18 vs 1.05 IU/mL; P = .017), mean FVIII:C area under the curve during the first 8 hours (AUC0-8h) was 11.6% lower (8.8 vs 7.8 IU/mL per hour; P = 4 × 10–3) and mean time with FVIII:C >0.8 IU/mL was 36.1% shorter (3.6 vs 2.3 hours; P = .014). Compared to patients with body weight between 35 and 70 kg, in patients with body weight between 70 and 120 kg (n = 18), mean peak FVIII:C level was 19.0% higher (1.18 vs 1.40 IU/mL; P = .031), mean FVIII:C AUC0-8h was 19.3% higher (8.8 vs 10.5 IU/mL per hour; P = 8 × 10–3) and mean time with FVIII:C ≥0.8 IU/mL was 36.1% longer (3.6 vs 5.95 hours; P = 9 × 10–3). Although age was strongly correlated to the body weight before 18 years of age (P < .0001), it was not identified as an independent covariate in the model.
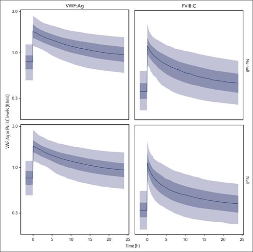
The F8 genotype (null vs non-null variants) affected all FVIII:C PK/PD parameters (Figure 5A). Compared to the non-null variants group, in the null variants group, the mean basal FVIII:C level was 10.4% lower (0.32 vs 0.36 IU/mL; P = 4.37 × 10–6), the mean peak FVIII:C level was 15.7% lower (1.04 vs 1.23 IU/mL; P < 5 × 10–5), the mean FVIII:C clearance was 118% higher in the null group than in the non-null group (5898.83 vs 2704.06 IU/h; P = 1.58 × 10–15), the mean FVIII:C AUC0-8h was 14.6% lower (7.73 vs 9.06 IU/mL per hour; P < 5 × 10–6), and the mean time with FVIII:C ≥0.8 IU/mL was 53.6% shorter (1.9 vs 4.1 hours; P < 6 × 10–6). These parameters are also shown for different F8 variants (Figure 5B). Finally, to determine the predicted effect of covariates on the HA carrier population, the FVIII:C and VWF:Ag level–time profiles were simulated using the Monte Carlo simulation of 1000 individual PK parameters based on the validated final population PK model after administration of 0.3 μg/kg DDAVP (Figure 6). The predicted exposure metrics (peak, clearance, AUC, and time ≥0.8 IU/mL) of VWF:Ag and FVIII:C were then compared in the null and non-null F8 genotype subgroups (Figure 6). Compared to patients with null F8 variants, in patients with non-null F8 variants, the mean peak FVIII:C level was 5.0% higher (1.14 vs 1.20 IU/mL), mean FVIII:C AUC0-8h was 17.2% higher (7.56 vs 8.86 IU/mL per hour) and mean time with FVIII:C ≥0.8 IU/mL was 61.1% longer (1.4 vs 3.6 hours).
Factors influencing the post-DDAVP pharmacokinetic parameters of the FVIII. (A) Influence of F8 genotype, body weight, and ABO blood type (O and non-O). (B) Influence of the different F8 variant types. F8 variants were divided in 2 groups: null variants predicted to be associated with no FVIII synthesis, and non-null variants with a less deleterious effect on FVIII synthesis.
Factors influencing the post-DDAVP pharmacokinetic parameters of the FVIII. (A) Influence of F8 genotype, body weight, and ABO blood type (O and non-O). (B) Influence of the different F8 variant types. F8 variants were divided in 2 groups: null variants predicted to be associated with no FVIII synthesis, and non-null variants with a less deleterious effect on FVIII synthesis.
Pharmacokinetic simulations of the post-DDAVP FVIII pharmacokinetic profile in function of the F8 genotype (non-null vs null variant). Based on our final population model from GIDEHAC data analyses, Monte Carlo simulations were developed to generate a virtual population of 1000 patients with predicted PK parameters of VWF:Ag and FVIII:C after administration of 0.3 μg/kg DDAVP. Predicted PK parameters were then determined separately for non-null F8 variants and null F8 variants.
Pharmacokinetic simulations of the post-DDAVP FVIII pharmacokinetic profile in function of the F8 genotype (non-null vs null variant). Based on our final population model from GIDEHAC data analyses, Monte Carlo simulations were developed to generate a virtual population of 1000 patients with predicted PK parameters of VWF:Ag and FVIII:C after administration of 0.3 μg/kg DDAVP. Predicted PK parameters were then determined separately for non-null F8 variants and null F8 variants.
Blood type influenced the baseline VWF:Ag level (P < 2.2 × 10–16) with a regression coefficient of −0.2, but without influence on the FVIII:C PK/PD parameters (Figure 5A). Compared to non-O blood types, the baseline VWF:Ag level was 18.1% lower in the O blood type (0.87 vs 0.71 IU/mL; P < 1.10–4). However, PK parameters of FVIII:C such as peak FVIII:C levels (P = .553), FVIII:C AUC0-12h (P = .304) and time with FVIII:C ≥0.8 IU/mL (P = .383) were not different between patients with O blood type (n = 234) and patients with A, B, or AB blood type (n = 123).
Discussion
DDAVP is recommended to treat or prevent bleeding in HA carriers with low FVIII levels.19 For this indication, it is considered to be very effective, generally allowing the normalization of FVIII level.20 However, the few studies published in the last 40 years that evaluated its efficacy included relatively small numbers of HA carriers.10,11 They found considerable interindividual variation, as observed in males with HA, but did not study the extent of this variation and the factors that influence it. Therefore, the GIDEHAC study thoroughly analyzed the FVIII PK profiles after IV DDAVP administration in a large national French multicenter cohort of HA carriers.
This study confirmed DDAVP efficacy, defined by a peak FVIII:C ≥0.5 IU/mL, in 95.6% of the included HA carriers with a mean time of FVIII:C ≥0.5 IU/mL maintained for 17 hours. This almost constant efficacy, which is most often maintained for several hours, allows DDAVP to be positioned as a first-line treatment in HA carriers in the event of bleeding, trauma, and/or surgery of severity deemed minor to moderate. Moreover, in 78.7% of patients, peak FVIII:C level was ≥0.8 IU/mL, suggesting that DDAVP could be considered for surgery associated with a major bleeding risk, in accordance with international recommendations.19 However, its use as a sole agent for major surgery could be limited due to its short duration of effect as observed in this study where the mean time with FVIII:C ≥0.8 IU/mL was only 4.5 hours, and the risk of tachyphylaxis with repeated dosing. Monitoring of FVIII:C levels in the days after surgery will then be necessary to determine whether a switch to FVIII concentrates is required. However, a very large interindividual variation in peak FVIII:C (from 0.19 to 2.69 IU/mL) was observed, as in males with mild/moderate HA.21 As expected, it was directly and strongly dependent on the basal FVIII:C level and FVIII:C recovery. However, the important interindividual variability in FVIII:C recovery (from 1.06 to 7.13) was unrelated to the basal FVIII:C level and indicate a significant interindividual variability in the increase of endogenous FVIII induced by DDAVP. Thus, in HA carriers, other factors influence the FVIII response to DDAVP.
VWF transports and protects FVIII in the bloodstream.22 Therefore, it greatly reduces FVIII clearance, leading to a plasma FVIII half-life of ∼12 hours.23 Song et al24 showed that each 1% change in VWF levels resulted in a 0.5% change in FVIII level. As observed for FVIII, plasma VWF levels increase by twofold to fourfold after DDAVP administration from the VWF pool stored in V2R+ endothelial cells.6 Therefore, we developed the first integrated population FVIII and VWF PK model for the response to DDAVP in HA carriers using a large number of laboratory data (1471 VWF:Ag and 1918 FVIII:C measurements) from 361 HA carriers who received DDAVP. The demographic, genetic and clinical features of this sample could be considered to be representative of HA carriers who have low basal FVIII:C and/or bleed more than others in clinical practice. The results of the model-based analysis showed that the response to DDAVP was strongly influenced by the F8 genotype and body weight. Age was not identified as an independent covariate in the model. Its effect remained indirect and linked to the relationship between age and body weight.
The FVIII response to DDAVP was evaluated using peak, AUC0-12h, and time with FVIII:C levels >0.8 IU/mL. Despite the important interindividual variation of these parameters, DDAVP normalizing effect on FVIII level persisted for several hours after its administration (mean time of 17 hours >0.5 IU/mL and 4.5 hours >0.8 IU/mL). These data confirmed that DDAVP can be indicated in female with HA to manage bleeding episodes, traumas and surgical interventions, including those with a major bleeding risk.19,25
Candy et al11 had previously reported that the F8 variant severity did not influence the response to DDAVP in 17 HA carriers. Conversely, our study in 361 HA carriers showed that the F8 pathogenic variant severity strongly influenced all the parameters of the FVIII response to DDAVP. Specifically, peak FVIII:C and FVIII:C recovery values were significantly lower in the group of HA carriers harboring null variants (ie, variants predicted to be associated with no FVIII synthesis) than in the non-null variant group. The lower peak FVIII:C was followed by significantly higher FVIII clearance, lower FVIII:C AUCs, and shorter time with normalized FVIII:C levels in the null variant group than in the non-null variant group. Similarly, severe or moderate familial forms of HA known in men relatives were associated with lower peak FVIII:C, FVIII:C recovery level, FVIII:C AUC0-12 and also shorter time with normalized FVIII:C levels. These results indicate that the decision to use DDAVP treatment for bleeding or surgery in HA carriers should take into account their F8 pathogenic variant and the severity of their familial HA. Although a statistically significant difference in baseline FVIII:C levels was observed between carriers of null and non-null F8 variants, the modest absolute difference is likely influenced by wide interindividual variability and by selection bias, as only individuals with clinically relevant FVIII deficiency requiring DDAVP were included. In the null variant group, 3 patients had exon 14 polyA indels. Despite 1 moderate familial HA case, FVIII levels and DDAVP responses were similar across all 3 women, suggesting minimal phenotypic impact of partial frame restoration in heterozygous female carriers.
In this study, basal VWF:Ag level was lower in HA carriers with O blood type, in agreement with the literature.24 However, blood type did not influence the post-DDAVP FVIII:C PK parameters, unlike studies reporting shorter half-lives of FVIII concentrates in patients with severe HA and O blood type.26
Body weight was found to significantly influence DDAVP clearance, consistent with established allometric principles, whereby heavier individuals exhibit higher drug clearance, potentially impacting exposure and response. Patients with body weight <35 kg (mainly children and teenagers) had lower peak FVIII:C, FVIII recovery and FVIII:C AUC0-12h and shorter time with normalized FVIII:C levels than patients with body weight >35 kg, although their basal FVIII:C levels were similar. This was never reported before for HA carriers. It is known that in patients with severe HA receiving infusions of standard or extended half-life FVIII concentrates, peak FVIII:C is lower and FVIII clearance is higher and consequently FVIII half-life is shorter in children than adults.26,27 This could be explained by an age-related increase in VWF.28,29 Furthermore, this body weight-related efficacy of the DDAVP on FVIII:C levels could lead to reducing DDAVP doses in female with overweight/obesity to improve the DDAVP tolerance, particularly if they are carriers of a familial mild HA due to a non-null F8 variant.
The main limitation of this study is the retrospective collection of PK data after DDAVP administration. This could have led to a bias related to how DDAVP testing was performed. However, all DDAVP tests were performed at hemophilia expert centers that are recognized as reference centers and that precisely follow the DDAVP administration procedure recommended by the French guidelines for hemophilia.13 In addition, FVIII assay results may vary depending on the used method. However, in this study, only chronometric assays were used to assess FVIII activity, and all assays were performed at specialized hemostasis laboratories associated with the GIDEHAC investigating hemophilia centers even if they still retain a large interlaboratory variability. Regardless, this work encourages further studies on the efficacy of DDAVP in HA carriers, according to the factors identified here, with the exploration of other variables such as the possible influence of DDAVP PK, DDAVP response profiles of relatives, or the medical context (surgeries, inflammation, or bleeding). On the other hand, this study could lead to recommendations for medical practice. To aid clinical interpretation, our model indicates that patients with higher body weight and higher baseline VWF levels are more likely to exhibit an increased FVIII:C response to DDAVP, whereas carriers of null F8 variants may show a reduced response. These readily available clinical and laboratory parameters can help clinicians anticipate DDAVP efficacy when full pharmacokinetic profiling is not available. It could thus be suggested not to carry out a prior therapeutic test of DDAVP in female with a basal FVIII:C level that is not too low and who are carriers of a familial mild HA and/or of a HA due to a non-null F8 variant.
In clinical practice, when F8 genotyping is unavailable, practical predictors such as higher baseline VWF levels and bodyweight may help identify patients likely to respond to DDAVP. These routinely available parameters can guide treatment decisions without the need for full PK profiling. Furthermore, the development of Bayesian forecasting tools based on population PK/PD models could allow for individualized dose optimization using sparse sampling strategies, thereby improving feasibility in routine care.
Conclusions
The results of the GIDEHAC study show that DDAVP administration is associated with a large interindividual response variation. However, DDAVP allows FVIII normalization in most HA carriers that is maintained for several hours. This response appears to be strongly influenced by the patient’s body weight, F8 variant, and the severity of the HA known in her male relatives.
Acknowledgment
The authors thank Elisabetta Andermarcher, freelance editor, for proofreading the manuscript.
Authorship
Contribution: B.G. and X.D. designed the study, analyzed data, and drafted the initial version of the manuscript. B.G., R.d.'O, M.T., B.W., B.P.-P., B.F., F.V., L.A., S.D., C.F., C.B.-A., V.C., B.T., Y.H., H.C., S.B., and S.-M.C. provided and reviewed the patient data; and all authors critically reviewed and revised the manuscript and approved the final version.
Conflict-of-interest disclosure: B.G. has been a consultant for Baxter/Baxalta/Shire/Takeda, CSL Behring, LFB Biopharmaceuticals, Novo Nordisk, Octapharma, Roche-Chugai, and Sobi. R.d'O. reports honoraria for lectures or advisory boards from BioMarin, CSL Behring, LFB, NovoNordisk, Octapharma, Pfizer, Roche/Chugai, Sobi/Sanofi, and Takeda. M.T. has been a consultant for Takeda, LFB Biopharmaceuticals, Novo Nordisk, and Sobi. B.W. has been a consultant for CSL Behring, Novo Nordisk, and Sobi. B.P.-P. has been a consultant for Shire/Takeda, CSL Behring, LFB Biopharmaceuticals, Novo Nordisk, Roche-Chugai, Sobi, BioMarin, and Pfizer. B.F. has been a consultant for CSL Behring, Novo Nordisk, Sobi, and Takeda. F.V. has been a consultant for Sobi, Roche, Pfizer, LFB Biopharmaceuticals, and Takeda. L.A. has received honoraria for participation in the Sobi advisory board; has received hospitality fees from CSL Behring, Octapharma, Takeda, Sobi, and Bayer; and received training from LFB Biopharmaceuticals. C.F. has been a consultant for CSL Behring, LFB Biopharmaceuticals, Novo Nordisk, Octapharma, Roche-Chugai, and Sobi. V.C. has been a consultant for Novo Nordisk, Octapharma, and Takeda. B.T. has received funds for research from Baxalta, CSL Behring, Novo Nordisk, Octapharma, Pfizer, Roche, and Sobi and honoraria from Pfizer, Novo Nordisk, and Sobi. Y.H. has been a consultant for Shire/Takeda, Roche-Chugai, and Sobi. H.C. has been a consultant for BioMarin, CSL Behring, Novo Nordisk, Pfizer, Roche-Chugai, and Sobi. S.-M.C. has been a consultant for Shire/Takeda, CSL Behring, LFB Biopharmaceuticals, Novo Nordisk, Roche-Chugai, Sobi, and Pfizer. X.D. has received honoraria for participation in symposia from CSL Behring, Shire, Octapharma, LFB Biopharmaceuticals, and Sobi. The remaining authors declare no competing financial interests.
Correspondence: Benoît Guillet, CRTH, Hémostase Clinique, Hôpital Pontchaillou, 2, rue Henri Le Guilloux, 35033 Rennes, France; email: benoit.guillet@chu-rennes.fr.
References
Author notes
Data are available upon reasonable request from the corresponding author, Benoît Guillet (benoit.guillet@chu-rennes.fr).
The online version of this article contains a data supplement.
There is a Blood Commentary on this article in this issue.
The publication costs of this article were defrayed in part by page charge payment. Therefore, and solely to indicate this fact, this article is hereby marked “advertisement” in accordance with 18 USC section 1734.







This feature is available to Subscribers Only
Sign In or Create an Account Close Modal