Abstract
Despite myelosuppression, polycythemic (PV) patients greater than 65 years of age have a high risk of vascular complications, and the leukemic risk exceeds 15% after 12 years. Is the addition of low-dose maintenance treatment with hydroxyurea (HU) after radiophosphorus (32P) myelosuppression able to decrease these complications? Since the end of 1979, 461 patients were randomized to receive (or not) low-dose HU (5 to 10 mg/kg/d), after the first 32P-induced remission, and were observed until death or June 1996. Maintenance treatment very significantly prolonged the duration of 32P-induced remissions and reduced the annual mean dose received to one-third. However, despite this maintenance, 25% of the patients had an excessive platelet count and the rate of serious vascular complications was not decreased, except in the most severe cases with short-term relapse of polycythemia. Furthermore, the leukemia rate was significantly increased beyond 8 years and a significant excess of carcinomas was also observed. The continuous use of HU did not decrease the risk of progression to myelofibrosis (incidence of 20% after 15 years). Life expectancy was shorter (a median of 9.3 years v 10.9 years with 32P alone), except in the most severe cases (initial 32P-induced remission lasting <2 years) in which maintenance treatment moderately prolonged the survival by reducing the vascular risk. In most cases of PV, in which the duration of the first 32P-induced remission exceeded 2 years, the introduction of HU maintenance did not reduce the vascular risk. Although it considerably decreased the mean dose of 32P received, HU maintenance therapy significantly increased the leukemia and cancer risks and reduced the mean life expectancy by 15%. However, in cases with more rapid recurrence, the introduction of maintenance treatment reduced the vascular risks and moderately prolonged survival. The use of HU as a maintenance therapy is therefore only justified in this situation.
POLYCYTHEMIA VERA (PV) is not a rare disease. Statistical data indicate an incidence of 1 to 2 per 100,000 per year, which increases with age.1 2 The clinical risk associated with this disease is essentially vascular and is associated with a risk of mortality and sequelae that are serious both for the patient (quality of life) and for the community (high cost). This outcome justified an objective analysis of the therapeutic choices in PV.
The information provided by the preliminary analyses conducted by the Polycythemia Vera Study Group (PVSG; protocols 01 and 05) needed to be completed, in particular with reference to data concerning the long-term risk of vascular and malignant complications. We consequently proposed in the Ile-de-France region two treatment protocols adapted to age and therefore to the patient's life expectancy. The protocol presented here was thus proposed to PV subjects greater than 65 years of age and was designed to study the possible advantage of complementary treatment with hydroxyurea (HU), a reputedly nonradiomimetic drug, in addition to 32P radiotherapy.
If it is true that radiotherapy is the main cause for the increased risk of leukemia in well-treated polycythemia with long-term survival4 5 and if a maintenance treatment could reduce the total dose of 32P administered, a clinical benefit could then be expected. Other benefits could also be awaited, especially as a result of a possible better platelet maintenance:reduction of the vascular risk and of the risk of progression to myelofibrosis if the latter is related to megakaryocytic and platelet hyperplasia.
The present follow-up of 461 cases now allows us to answer these questions.
MATERIALS AND METHODS
Protocol.In 1969, the PVSG proposed a comparative study of various treatments for polycythemia (protocol 01) in which French hematologists participated. A second protocol (05) introduced in 1977 that was designed to compare the use of 32P and phlebotomies with aspirin3 was poorly received, because it did not take into account the patient's age or vascular risk factors.6 We consequently proposed at the end of 1979 to a group of French hematologists the following prospective protocol, the results of which are presented here after a maximal follow-up of 16 years.
In view of the potential leukemic risk of 32P (sodium phosphate administered intravenously), we proposed this treatment only for patients greater than 65 years of age, at the dose of 0.1 mCi/kg (3.7 MBq with a maximum of 7 mCi). Phlebotomies were used just before 32P as an emergency therapy when the hematocrit (Hct) level was greater than 55%, but not during the follow-up. Once complete remission (CR; normal hemoglobin [Hb] level and leukocyte and platelet counts) was obtained after 4 months, patients were randomized to either simple surveillance without treatment or maintenance treatment with low-dose HU (10 mg/kg/d). According to previous results of the PVSG (protocol 05), aspirin (100 to 250 mg/d) was only prescribed to patients with a history of thromboembolic events. The patients were observed every other month (blood examination) and twice a year (clinical examination). 32P was resumed when the Hct level increased to 50% and the red blood cell volume was more than 125% of the normal value. When patients were randomized to receive maintenance treatment after 32P-induced remission, this treatment was delayed until the Hb level was more than 120 g/L and the platelet count was more than 200 × 109/L.
This protocol was approved by the Ethics Committee of the University of Paris VII. The patients were precisely informed about the treatment modalities.7-9
Another treatment protocol was proposed to patients less than 65 years of age, who thus had a longer life expectancy, using nonradiomimetic chemotherapy; the results of this protocol will be presented in another report.10
Patients.Four hundred sixty-one PV cases were evaluated between autumn 1979 and spring 1996. No case was previously included in the 32P or chlorambucil arms of the 01 and 05 protocols of the PVSG, but 30 were previously phlebotomized and had been excluded from these protocols after 1979 because of intolerance, large platelet excess, extreme age, or vascular event. The diagnostic criteria (Table 1) were the same as those adopted by the PVSG. All the cases had an excess of red blood cell volume as adjusted to body height and weight.11 Bone marrow biopsy and cytogenetic analyses were not included as necessary for the initial evaluation. Some cases with a large excess of red blood cell volume without splenomegaly, leukocytosis, or thrombocytosis and a low erythropoietin level or autonomous growth of circulating burst-forming unit-erythroid (BFU-E) stem cells were accepted as valid for the diagnosis of autonomous myeloproliferative disease.12 As shown in Table 1, no significant differences in terms of age, hematologic criteria, or vascular risk were observed between the two groups. All cases were observed until death or until June 1996. Only 4 patients living in foreign countries were lost to follow-up. Information on the date of death or ongoing survival was obtained from the French Registry Office for the few French patients not observed for the long-term period.
Clinical Data of the Two Groups at Initial Evaluation
| . | 32P Alone (on 242 cases) . | 32P and Maintenance Therapy (on 219 cases) . |
|---|---|---|
| Sex ratio (M/F) | 1/1.29 | 1/0.97 |
| Median age (yr) | ||
| Male | 72 | 73 |
| Female | 75 | 75 |
| Hematologic criteria (% of the cases) | ||
| Splenomegaly | 37 | 35 |
| Excess of the three cell lines without splenomegaly | 35 | 36 |
| Excess of red blood cells and granulocytes only | 7 | 6 |
| Excess of red blood cells and platelets only | 16 | 15 |
| Excess of red blood cells only (with low Epo value and/or spontaneous BFU-E growth) | 5 | 8 |
| Vascular risk | ||
| High risk* | 36 | 35 |
| Relatively low risk† | 21 | 28 |
| No identified risk‡ | 43 | 37 |
| . | 32P Alone (on 242 cases) . | 32P and Maintenance Therapy (on 219 cases) . |
|---|---|---|
| Sex ratio (M/F) | 1/1.29 | 1/0.97 |
| Median age (yr) | ||
| Male | 72 | 73 |
| Female | 75 | 75 |
| Hematologic criteria (% of the cases) | ||
| Splenomegaly | 37 | 35 |
| Excess of the three cell lines without splenomegaly | 35 | 36 |
| Excess of red blood cells and granulocytes only | 7 | 6 |
| Excess of red blood cells and platelets only | 16 | 15 |
| Excess of red blood cells only (with low Epo value and/or spontaneous BFU-E growth) | 5 | 8 |
| Vascular risk | ||
| High risk* | 36 | 35 |
| Relatively low risk† | 21 | 28 |
| No identified risk‡ | 43 | 37 |
High risk is more frequent in male than in female patients (46% v 27%; P < .001).
Abbreviation: Epo, erythropoietin.
History of stroke, myocardial attack, severe leg arteritis, pulmonary embolism.
Angina, noncontrolled arterial hypertension, phlebitis without embolism, and diabetes.
No vascular antecedent.
Statistical analysis.The only difficulty in this analysis concerned the cases in which, rightly or perhaps wrongly, but as expected for a very chronic disease affecting elderly subjects, treatment changes were observed. During the first 2 years, 11 cases randomized in the maintenance group did not receive hydroxyurea (9 of them >80 years of age), 6 cases received maintenance treatment for no valid reason (the physician's decision), and another 5 cases received maintenance treatment because of rapid relapse after the first dose of 32P. However, after 2 years, 38 cases initially included in the 32P-alone arm were included in the maintenance arm: 20 between 2 and 5 years, 10 between 5 and 8 years, 5 between 8 and 12 years, and 3 after 12 years. The reason for this change of treatment was documented in every case: either excessive repetition of doses of 32P, isolated severe platelet relapse, or, in 3 cases, acquired resistance to 32P (all of them beyond 12 years). Only 2 cases abandoned maintenance treatment, due to their age, which shows the excellent cooperation between the specialist and the general practitioner and the good tolerance of low-dose HU.
The risks taking into account either the initial therapeutic allocation (intention to treat analysis) or the treatment actually received by the patient (main therapy) were calculated.13,14 This differential type of analysis has been also used in other therapeutic trials requiring long-term follow-up.15 Kaplan Meier estimates of survival were computed over the time interval such that a minimum of 10 patients were at risk.
RESULTS
Efficacy and safety of treatment.At the doses used (0.1 mCi/kg), which were slightly higher than those initially recommended by PVSG protocol 01 (2.3 mCi/m2) but similar to those generally used in Europe, CR was obtained by 3 or 4 months, without requiring an additional dose in 455 of the 461 cases. Moderate leukothrombocytopenia (approximately 3 × 109/L leukocytes and 100 × 109/L platelets) was generally observed at 4 to 6 weeks and resolved spontaneously by 4 months. More severe and prolonged pancytopenia (6 to 18 months), but without any clinical consequence, was observed in 6 elderly patients, which led us, as it did other investigators,16 to recommend a dose decrease of 25% after in patients greater than 80 years of age.
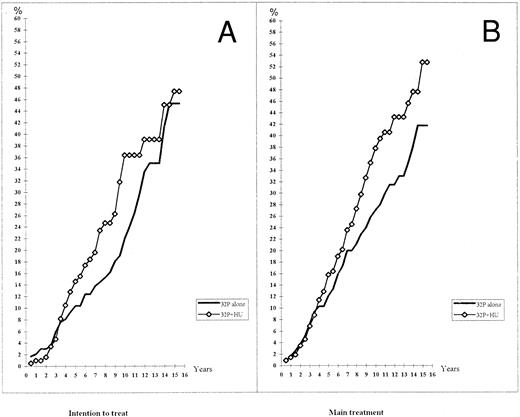
As indicated in Fig 1, the median duration of CR without maintenance treatment was 3 years. On maintenance therapy, 60% of the patients are still in remission at 14 years after the initial 32P infusion (P < .01).
Actuarial chance to remain in first remission after initial 32P infusion.
Maintenance treatment (low-dose hydroxyurea, 10 mg/kg) was generally well tolerated. Chronic gastrointestinal discomfort was reported in 7 cases, bothersome aphtous ulcers in 3 cases, and recurrent cystitis in 4 cases. However, these adverse effects did not require long-term discontinuation of treatment. The most bothersome complication was nonhealing leg ulcers. These ulcers were observed in 10 cases, all after 5 years of treatment. The responsibility of hydroxyurea was shown by healing of the ulcer either after temporary discontinuation of the drug or after its replacement by maintenance using low-dose pipobroman. However, these observations should not mask the fact that maintenance treatment with HU was perfectly well tolerated and accepted in greater than 90% of the cases.
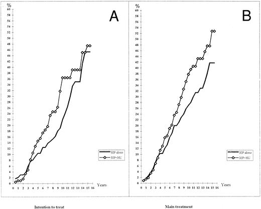
Survival.The actuarial survival calculated for all cases is presented in Fig 2. The life expectancy was slightly shorter for cases included in the maintenance group, ie, median survival of 9.1 years compared with 11.2 years (intention to treat, P = .10) and 9.3 versus 10.9 years (main therapy, P = .15). In any case, it is clear that maintenance treatment does not provide any advantage in terms of life expectancy. The age-matched French population17 has a median life expectancy of 11.4 years. This value is only slightly higher than that of our cohort.
Actuarial survival. The numbers of cases still living and studied are in brackets. (A) Intention to treat. (B) Main treatment.
Actuarial survival. The numbers of cases still living and studied are in brackets. (A) Intention to treat. (B) Main treatment.
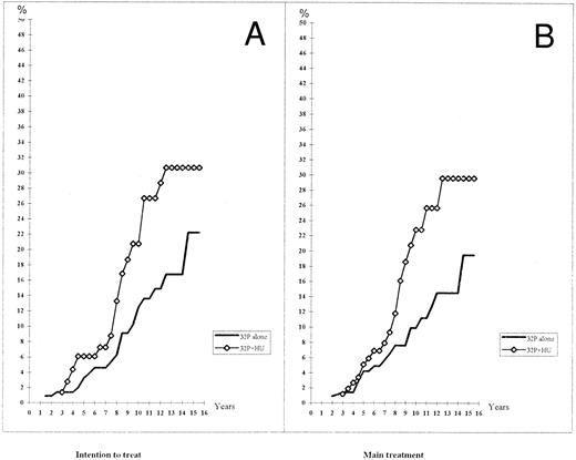
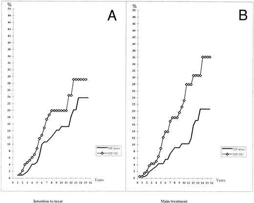
Vascular risk.One of the objectives of the protocol was to reduce the vascular risk by maintenance treatment. An advantage of maintenance treatment is to decrease the frequency of recurrence and perhaps to maintain a normal platelet count, which should reduce the vascular risk. No difference was observed between the two treatment groups (32P alone or 32P and HU) in terms of platelet count maintenance (χ2); despite a correct maintenance of the Hb rate and Hct level, the platelet count exceeded permanently 400 × 109/L in 25% of the cases. The risk of serious vascular accident was not reduced by maintenance treatment (Fig 3).
Actuarial risk of a documented vascular event, lethal or not. (The deaths due to great age are not included.) (A) Intention to treat. (B) Main treatment.
Actuarial risk of a documented vascular event, lethal or not. (The deaths due to great age are not included.) (A) Intention to treat. (B) Main treatment.
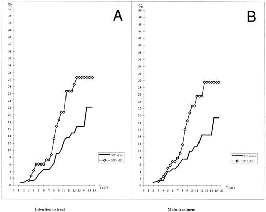
Leukemic risk.Another objective of maintenance treatment was to reduce the total dose of radiation received by the patients to achieve a lower risk of leukemia. The mean annual 32P dose in patients receiving maintenance treatment and observed for greater than 2 years was only 0.009 mCi/kg/yr versus 0.033 mCi/kg/yr for those not receiving maintenance treatment.
At the time of the present study, 41 patients developed, between 2 and 16 years, a malignant hematologic disease (17 myelodysplastic syndromes [refractory anemia with an excess of blasts], 3 chronic myelo-monocytic leukemias, 15 acute myeloid leukemias, 2 non-Hodgkin's lymphomas, 2 chronic lymphocytic leukemias, and 2 multiple myelomas, disorders possibly not related to the PV or its treatment18 ). Six of the acute leukemias (3 in each group) occurred after onset of myelofibrosis with myeloid metaplasia. Except for 3 recent myelodysplasias, all of these patients died generally within 1 year; however, the treatment was only symptomatic or based on 6-mercapto-purine and/or low-dose cytosine-arabinoside.19
Despite the potential advantage of maintenance therapy in reducing total 32P doses, the leukemic risk was increased (Fig 4). Statistical analysis (log-rank test) showed a significant increased risk for cases receiving maintenance treatment (P = .01 or P = .03, whether the cases were analyzed according to intention to treat or main therapy). This difference was confirmed by comparing, as suggested by Peto et al,14 the leukemic risk between groups of patients observed less than 5 years, 5 to 10 years, or greater than 10 years. The risk of leukemia in cases receiving maintenance treatment, observed and surviving for 5 to 10 years and greater than 10 years, was excessive (χ2 test, P = .03 and P = .05).
Actuarial risk of developing acute leukemia, myelodysplastic syndrome, or lymphoma. (A) Intention to treat. (B) Main treatment.
Actuarial risk of developing acute leukemia, myelodysplastic syndrome, or lymphoma. (A) Intention to treat. (B) Main treatment.
The dose of 32P received by patients who developed leukemia was moderately higher than that received by the other patients (0.044 v 0.032 mCi/kg/yr), but this difference is not statistically significant (P > .05, analysis of variance).
Carcinogenic risk.The carcinogenic risk of polycythemia or of its treatment is still a controversial subject. The findings observed in our study are indicated in Fig 5 and Table 2.
Actuarial risk of carcinoma (including skin carcinomas). (A) Intention to treat. (B) Main treatment.
Actuarial risk of carcinoma (including skin carcinomas). (A) Intention to treat. (B) Main treatment.
Site of the Carcinomas Observed in the Long-Term Follow-Up of 461 Elderly PV Patients According to the Treatment
| . | Patients on 32P Alone . | Patients on 32P and Maintenance . | Total No. of Cancer Patients . |
|---|---|---|---|
| Digestive tract | 4 | 5 | 9 |
| Prostate | 2 | 7 | 9 |
| Skin* | 2 | 7 | 9 |
| Lung and pleura† | 4 | 4 | 8 |
| Breast | 4 | 2 | 6 |
| Bladder-kidney | 3 | 3 | 6 |
| Uterus-ovary | 1 | 1 | 2 |
| Larynx-tongue | 0 | 2 | 2 |
| Thyroid | 0 | 1 | 1 |
| Metastases of nonidentified origin | 2 | 2 | 4 |
| . | Patients on 32P Alone . | Patients on 32P and Maintenance . | Total No. of Cancer Patients . |
|---|---|---|---|
| Digestive tract | 4 | 5 | 9 |
| Prostate | 2 | 7 | 9 |
| Skin* | 2 | 7 | 9 |
| Lung and pleura† | 4 | 4 | 8 |
| Breast | 4 | 2 | 6 |
| Bladder-kidney | 3 | 3 | 6 |
| Uterus-ovary | 1 | 1 | 2 |
| Larynx-tongue | 0 | 2 | 2 |
| Thyroid | 0 | 1 | 1 |
| Metastases of nonidentified origin | 2 | 2 | 4 |
Including multiple skin cancers in 2 patients receiving hydroxyurea.
Including 2 cases of lung cancer in women (1 in each branch).
The risk of cancer for the overall population was 1.3% per year, which is approximately similar to figures observed in France for subjects greater than 65 years of age (1.1%).17 The observed mortality (65% for all sites of tumors excluding skin) was similar to published results (69%).17,20 21 The most frequent cancers were those of the gastrointestinal tract, lung, breast, skin, and prostate (Table 2).
The major finding of this study is the excess risk of cancer in patients receiving maintenance treatment (significant difference at P = .05 when analyzing the cases according to intention to treat and P = .08 when analyzing the main treatment received). We also conducted a case-control analysis for cases observed for less than 5 years, 5 to 10 years, and greater than 10 years. The difference according to the treatment received was significant in the last two groups (P = .02 and P = .05, respectively).
In the group of patients not receiving maintenance treatment and in the group receiving this treatment, no significant difference in the total dose of 32P was observed between patients developing cancer and those not developing a cancer (comparison of means and analysis of variance).
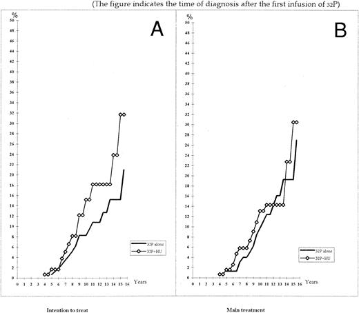
Risk of developing myelofibrosis.As shown in Fig 6, the development of spent phase (hypersplenism in the absence of myelofibrosis22 ) or overt splenic myeloid metaplasia23 did not occur before 5 years. The curves show that the use of maintenance treatment with hydroxyurea after 32P did not protect the patients from this evolution, which was observed in about 30% of the cases at 15 years (26 documented cases). A retrospective analysis of our charts show that the platelet count was, during the follow-up, generally greater than 400 × 109/L in 57% of the cases who will develop myelofibrosis and myeloid metaplasia against 31% of cases developing no such complication (difference of P < .02).
Actuarial risk of developing spent phase of myelofibrosis with splenic metaplasia. The figure indicates the time of diagnosis after the first infusion of 32P. (A) Intention to treat. (B) Main treatment.
Actuarial risk of developing spent phase of myelofibrosis with splenic metaplasia. The figure indicates the time of diagnosis after the first infusion of 32P. (A) Intention to treat. (B) Main treatment.
Note that these curves only indicate the time of diagnosis of the complication. The mean survival after diagnosis of spent phase (6 cases) is greater than 5 years. Fourteen of the 20 cases with myelofibrosis and splenic metaplasia died between 1 and 7 years after diagnosis (median, 3 years); 6 of them died from acute leukemia.
Analysis of cases according to the severity of polycythemia.Because the occurrence of malignant complication might be related not only to the treatment received, but also to the specific severity of the disease, this latter factor was analyzed a posteriori. Cases were considered to be severe when, in the absence of complementary treatment, two injections of 32P were required within 2 years or three injections were required in less than 4 years. Eighty-eight patients initially randomized in the nonmaintenance arm were included in this group, 38 of whom subsequently received maintenance treatment because of the need for repeated doses of 32P. One hundred seventeen less severe cases (no relapse during the first 2 years and still alive after 3 years) did not receive maintenance treatment. A significant survival difference (median, 8.2 years v 11.8 years, P = .015) was observed between severe and nonsevere cases treated using 32P alone. This difference was due to the excess of leukemic transformation (P = .05) and vascular events (P = .09) in the group classified as severe.
DISCUSSION
PV is a frequent myeloproliferative syndrome that justifies the search for the most appropriate treatment in terms of quantity and quality of life. PVSG protocols 01 and 05,3 although rigorous, were difficult to analyze because (1) the chemotherapy arm (chlorambucil) was rapidly suspended due to its leukemic risk3 and (2) because most of the patients included in the phlebotomy arm were rapidly submitted to myelosuppression with 32P or hydroxyurea.24 However, two conclusions could be drawn. Although approximately 10% of leukemia risk after 10 years was observed in cases treated with 32P, an excellent efficacy (especially on the vascular risk) and excellent safety of radiotherapy made it the treatment of choice for patients greater than 70 years of age.25 The EORTC series26 and some other reports27-30 suggest a similar efficiency and leukemic risk of radiomimetic chemotherapy (busulfan).
Three questions remained unsolved. (1) What is the best treatment to prevent the high vascular risk related to age, previous history of thrombosis (31% of cases in the present series), and the disease itself (blood hyperviscosity and thrombocytosis)? (2) What treatment should be adopted to reduce the risk of subsequent malignancy? (3) What is the long-term risk of myelofibrosis and what treatment can limit this risk?
This protocol proposed in France was designed to reduce the vascular risk by ensuring better hematologic maintenance, especially of the platelet count; to reduce the risk of malignancy attributed to the mutagenic effect of radiotherapy through a reduction of the 32P dose; and, finally, to reduce the risk of or at least to delay the occurrence of myelofibrosis.
The use of HU maintenance treatment does not significantly reduce the vascular risk. Well-controlled myelosuppression obtained by 32P on its own is sufficient to reduce this risk to approximately its normal level (French statistics) despite a frequent, but moderate, excess of the platelet count.31 However, in the most severe cases that rapidly relapse without maintenance treatment, myelosuppression by HU significantly reduces the risk of death from vascular accident.
The second risk, which can influence the choice of treatment, is the leukemic risk (acute myeloid leukemia, myelodysplastic syndrome, and non-Hodgkin's lymphoma). Despite previous publications suggesting that this risk was due to prolonged survival,32,33 more recent studies indicate that this risk may be treatment-related. The arguments in favor of this hypothesis are (1) the low incidence of leukemia in subjects treated by phlebotomy alone,3 (2) the dose-effect relationship observed in patients treated with 32P,4 and (3) the similarity of chromosome damages observed in the leukemias occurring in the 32P-treated polycythemias with those observed in secondary leukemias.34 However, no significant dose-effect relationship for the leukemic risk was observed in the present series, as also in other series.5,30,35 Likewise, few patients with documented PV have been observed on phlebotomies alone for a long term (half of the cases randomized to this arm were excluded after 5 years in our group24 ), and the remaining cases were younger and possibly less severe than the myelosuppressed ones. On the other hand, it is clear that the more severe cases of PV, ie, those that require repeated doses of 32P during the first few years, have an excess risk of leukemia, which means that a dose-effect relationship could be due, not to the treatment itself, but to the severity of the disease requiring repeated treatment.32 The leukemic potential of a drug has also been related to the specific risk of somatic mutation of the disease.36
The use of HU maintenance significantly reduces the annual mean dose of 32P received (by more than one third on average). However, despite this reduction, not only is the leukemic risk not decreased but it is even significantly increased. This constitutes an argument in favor of the hypothesis that, in PV, as in other chronic malignant diseases, the combination of radiotherapy and chemotherapy may increase the leukemic risk.37-39 This fact must be taken into consideration in the design of future protocols.
The risk of carcinoma was also studied in this large series. A possible excess could have been attributed to a second cancer, a classical event in carcinologic diseases, or to the treatment prescribed for the primary malignancy. In our overall population, the cancer risk does not appear to be significantly higher than in the reference population, the mortality of these cancers (two thirds of cases) does not differ from that observed in the reference population, and the sites of the cancers do not show any particular predominance, in contrast with what has been previously suggested.3 The cancer risk was not related to the mean dose of 32P. However, as for the risk of leukemia, an increased cancer risk was observed in subjects receiving both radiotherapy and chemotherapy. Such a long-term excess risk of carcinomas in combined therapies has already been observed in the long-term follow-up of other malignant diseases.37,40 41 This should also to be taken into account for the design of future protocols.
The risk of progression to myelofibrosis with myeloid splenomegaly, which may be considered to be part of the natural history of the disease,35,42 was the last question raised by this clinical investigation. In the present series, the actuarial risk is about 25% after 15 years, a result similar to that observed in PV patients treated by 32P alone before 1980 (protocols 01 and 05) but much lower than the occurrence observed in phlebotomized patients (50% after 10 years).24,35 This complication is generally attributed to the endocrine or paracrine secretion of fibroblastic growth factors, whose origin could be the hyperplastic megakaryocytic cell line.43-45 Thus, a well-conducted, long-term myelosuppression of the megakaryocytic line should prevent, or at least delay, this complication. However, with our current follow-up, the combination of HU and 32P does not decrease this risk. This could be due to the failure of low-dose HU to maintain an efficient platelet and megakaryocytic suppression; other agents, for instance anagrelide, a nonmutagenic drug,46 could be proposed to complement of 32P myelosuppression.
In summary, our analysis leads to several practical conclusions. The first is that 32P treatment is perfectly well tolerated and efficient in elderly patients with PV and induces a long survival with an excellent quality of life. The second is that the potential severity of the disease may be assessed by the occurrence of short-term relapse after the first 32P-induced remission. This appears as an important prognostic factor for the vascular risk and emergence of malignant complications. The third concerns the radiotherapy-chemotherapy combination. Except in severe cases, it does not reduce the vascular risk or the risk of progression to myelofibrosis. It even increases the risk of leukemia and cancer. It should therefore be reserved to the most severe cases requiring short-term repeated doses of 32P.
ACKNOWLEDGMENT
We are very grateful to R. Beaune and M. De Rosa for their secretarial assistance. We acknowledge Drs Saül and Chomienne for the translation of the present reports and Profs C. Chastang (Paris) and F. Gremy (Montpellier) for their advice concerning the statistical analysis. We also acknowledge the physicians who participated in the follow-up of the patients (we cite only those who observed 5 patients or more): Drs Goguel (Boulogne), Lejeune (Bondy), Grange (Paris-Bichat), Dupuy (Paris-Lariboisière), Castaigne and Gruyer (Versailles), Casassus (Aubervilliers), Fermand (Paris-Saint-Louis), Brouet (Paris-Saint-Louis), Gabreau (Auxerre), Mougeot-Martin (Creil), Mariette (Paris-Saint-Louis), Devergie (Paris-Saint-Louis), Echard (Montfermeil), Vallantin and Witte (Chartres), Marty (Paris-Saint-Louis), Dine and Brahimi (Troyes), Roussi (Garches), Baumelou (Suresnes), Bussel (Paris-Saint-Louis), Echard and Lenoble (Montfermeil), Godeau (Paris-La Pitié), Valleteau (Paris-SaintJoseph), Lepeu (Avignon), and Raynaud de Lage (Aurillac).
Supported by the National Institute of Health and Medical Research (Contract No. 93CN10).
Address reprint requests to Yves Najean, MD, DSc, Service de Médecine Nucléaire, Hôpital Saint-Louis, 1 avenue Claude Vellefaux, 75475 Paris Cedex 10, France.






This feature is available to Subscribers Only
Sign In or Create an Account Close Modal