Abstract
The therapeutic effect of arsenic trioxide (As2O3 ) in the treatment of acute promyelocytic leukemia (APL) was evaluated among 15 APL patients at relapse after all-trans retinoic acid (ATRA) induced and chemotherapy maintained complete remission (CR). As2O3 was administered intravenously at the dose of 10 mg/d. Clinical CR was achieved in nine of 10 (90%) patients treated with As2O3 alone and in the remaining five patients treated by the combination of As2O3 and low-dose chemotherapeutic drugs or ATRA. During the treatment with As2O3 , there was no bone marrow depression and only limited side effects were encountered. Pharmacokinetic studies, which were performed in eight patients, showed that after a peak level of 5.54 μmol/L to 7.30 μmol/L, plasma arsenic was rapidly eliminated, and the continuous administration of As2O3 did not alter its pharmacokinetic behaviors. In addition, increased amounts of arsenic appeared in the urine, with a daily excretion accounting for approximately 1% to 8% of the total daily dose administered. Arsenic contents in hair and nail were increased, and the peak content of arsenic could reach 2.5 to 2.7 μg/g tissue at CR. On the other hand, a decline of the arsenic content in hair and nail was observed after withdrawal of the drug. We conclude that As2O3 treatment is an effective and relatively safe drug in APL patients refractory to ATRA and conventional chemotherapy.
ARSENIC HAS BEEN considered to be a poison for a long time. Since the 1820s, it has been generally accepted as a potent environmental cocarcinogen for some human malignancies, especially for skin and lung cancers.1-5 However, arsenic compounds have also been used for medical purposes. In Traditional Chinese Medicine, arsenous acid or arsenic trioxide paste is often used to treat tooth marrow disease as a devitalizing agent. It has also been used against some other diseases such as psoriasis, syphilis, and rheumatosis with the principal of “using a toxic against another toxic.”6 In ancient Greek and Roman times, arsenic was used as both therapeutic agent and poison. In Western medicine, arsenic was used more recently (until the advent of penicillin) in the treatment of syphilis and as a tonic in Fowler's solution. Due to the known carcinogenic effect, its only therapeutic use today is in the treatment of trypanosomiasis involving the central nervous system.7 8
In the 1970s, arsenic trioxide (As2O3 ) was introduced into the treatment of acute promyelocytic leukemia (APL) and showed a striking effectiveness in the Northeastern region of China. The clinical complete remission (CR) rate with As2O3 treatment (10 mg/d, intravenous [IV] infusion for 28 to 60 days) was reportedly from 65.6% to 84%. Moreover, 28.2% (9/32) of the patients had a survival of over 10 years, and most patients showed neither bone marrow depression nor other severe clinical side effects during the treatment.9-11 In this report, we present clinical results and pharmacokinetics of As2O3 treatment among 15 cases of relapsed APL patients. The results showed that As2O3 is a very effective and relatively safe drug for remission induction in relapsed APL.
PATIENTS AND METHODS
Patients.Fifteen cases of relapsed APL entered into this study between December 1994 and April 1996. The diagnosis was based on clinical data (history, symptoms, and physical findings), examination of peripheral blood and bone marrow (BM) according to FAB classification, the karyotype, and RT-PCR analysis for PML-RARα transcripts, which was performed according to our previously described methods.12 All patients' main clinical data at diagnosis were summarized in Table 1.
Patients' Clinical Data at Diagnosis
| Patient No. . | Sex/Age . | HB . | WBC (×109/L) . | Platelet (×1012/L) . | APL Cell % in BM . | t(15; 17)/PML-RARα . | Previous Treatment Protocol . | |
|---|---|---|---|---|---|---|---|---|
| . | . | (g/L) . | . | . | . | . | CR-Induction . | Consolidation . |
| 1 | F/40 | 107.0 | 0.9 | 8.4 | 39.5 | +/ND | ATRA (40 mg × 30 d) | HA + DA |
| 2 | M/34 | 138.0 | 3.3 | 8.6 | 96.0 | +/L(+) | ATRA (40 mg × 22 d) | HA + DA + AA |
| 3 | M/41 | 84.0 | 0.8 | 52.0 | 19.5 | +/L(+) | ATRA (30 mg × 51 d) | HA + AA |
| 4 | M/43 | 76.0 | 3.4 | 56.9 | 32.0 | +/L(+) | ATRA (40 mg × 30 d) | HA + AA |
| 5 | M/34 | 126.0 | 1.5 | 7.7 | 70.0 | +/L(+) | ATRA (60 mg × 30 d) | AA |
| 6 | F/15 | 108.0 | 51.0 | 4.0 | 95.0 | +/L(+) | ATRA (30 mg × 30 d) | DA |
| 7 | M/53 | 75.0 | 4.0 | 5.0 | 85.0 | −/L(−)S(−) | ATRA (80 mg × 70 d) | HA + ATRA |
| 8 | F/15 | 75.0 | 3.8 | 76.0 | 72.0 | ND/L(+) | ATRA (15 mg × 30 d) | DA + ATRA |
| 9 | M/32 | 112.0 | 9.8 | 4.8 | 59.0 | ND | ATRA (60 mg × 47 d) | DA |
| 10 | M/14 | 127.0 | 3.1 | 23.6 | 90.0 | ND | ATRA (30 mg × 30 d) | HA |
| 11 | F/27 | 64.0 | 15.2 | 48.0 | 81.5 | +/S(+) | ATRA (80 mg × 30 d) | HA |
| ATRA (60 mg × 30 d)* | HA + AA + DA | |||||||
| 12 | M/42 | 115.0 | 4.0 | 13.6 | 12.5 | ND/L(+) | BHAC-DMP | MTX + Ara-c |
| BHAC-DMP* | MTX + Ara-c | |||||||
| ATRA (70 mg × 24 d)† | BHAC-DMP | |||||||
| 13 | F/53 | 122.0 | 4.6 | 10.8 | 44.0 | +/L(+) | ATRA (80 mg × 48 d) | DA + HA |
| ATRA (40 mg × 68 d)* | DA | |||||||
| 14 | M/49 | 65.0 | 0.6 | 4.0 | 71.0 | ND | BHAC-DMP | MTX + Ara-c |
| BHAC-DMP* | MTX + Ara-c | |||||||
| ATRA (70 mg × 24 d)† | BHAC-DMP | |||||||
| 15 | M/45 | 105.0 | 67.5 | 4.2 | 72.0 | +/L(+) | ATRA (30 mg × 50 d) | DA + HA |
| Patient No. . | Sex/Age . | HB . | WBC (×109/L) . | Platelet (×1012/L) . | APL Cell % in BM . | t(15; 17)/PML-RARα . | Previous Treatment Protocol . | |
|---|---|---|---|---|---|---|---|---|
| . | . | (g/L) . | . | . | . | . | CR-Induction . | Consolidation . |
| 1 | F/40 | 107.0 | 0.9 | 8.4 | 39.5 | +/ND | ATRA (40 mg × 30 d) | HA + DA |
| 2 | M/34 | 138.0 | 3.3 | 8.6 | 96.0 | +/L(+) | ATRA (40 mg × 22 d) | HA + DA + AA |
| 3 | M/41 | 84.0 | 0.8 | 52.0 | 19.5 | +/L(+) | ATRA (30 mg × 51 d) | HA + AA |
| 4 | M/43 | 76.0 | 3.4 | 56.9 | 32.0 | +/L(+) | ATRA (40 mg × 30 d) | HA + AA |
| 5 | M/34 | 126.0 | 1.5 | 7.7 | 70.0 | +/L(+) | ATRA (60 mg × 30 d) | AA |
| 6 | F/15 | 108.0 | 51.0 | 4.0 | 95.0 | +/L(+) | ATRA (30 mg × 30 d) | DA |
| 7 | M/53 | 75.0 | 4.0 | 5.0 | 85.0 | −/L(−)S(−) | ATRA (80 mg × 70 d) | HA + ATRA |
| 8 | F/15 | 75.0 | 3.8 | 76.0 | 72.0 | ND/L(+) | ATRA (15 mg × 30 d) | DA + ATRA |
| 9 | M/32 | 112.0 | 9.8 | 4.8 | 59.0 | ND | ATRA (60 mg × 47 d) | DA |
| 10 | M/14 | 127.0 | 3.1 | 23.6 | 90.0 | ND | ATRA (30 mg × 30 d) | HA |
| 11 | F/27 | 64.0 | 15.2 | 48.0 | 81.5 | +/S(+) | ATRA (80 mg × 30 d) | HA |
| ATRA (60 mg × 30 d)* | HA + AA + DA | |||||||
| 12 | M/42 | 115.0 | 4.0 | 13.6 | 12.5 | ND/L(+) | BHAC-DMP | MTX + Ara-c |
| BHAC-DMP* | MTX + Ara-c | |||||||
| ATRA (70 mg × 24 d)† | BHAC-DMP | |||||||
| 13 | F/53 | 122.0 | 4.6 | 10.8 | 44.0 | +/L(+) | ATRA (80 mg × 48 d) | DA + HA |
| ATRA (40 mg × 68 d)* | DA | |||||||
| 14 | M/49 | 65.0 | 0.6 | 4.0 | 71.0 | ND | BHAC-DMP | MTX + Ara-c |
| BHAC-DMP* | MTX + Ara-c | |||||||
| ATRA (70 mg × 24 d)† | BHAC-DMP | |||||||
| 15 | M/45 | 105.0 | 67.5 | 4.2 | 72.0 | +/L(+) | ATRA (30 mg × 50 d) | DA + HA |
Patients No. 11 and 13 were diagnosed at second relapse; patients No. 12 and 15 were diagnosed at third relapse; all other cases were at first relapse. For PML-RARα, L and S denote the long and short type isoforms of the fusion mRNA, respectively.12
Abbreviations: ND, not done; DA, Daunorubicin + Ara-C; HA, Harringtonin + Ara-C; AA, Aclamycin + Ara-C; BHAC-DMP, Benenoyl-Ara-C + daunomycin + 6-MP + Prednisone.
Protocol used for the second CR.
Protocol used for the third CR.
Protocol therapy.As2O3 solution, 0.1% (10 mg in 10 mL), was prepared by the Pharmacy of Traditional Chinese Medicine in the First Hospital affiliated to Harbin Medical University (Harbin, P.R. China). The bulk material used for the preparation of injectable solution was As2O3 , with a purity of more than 99%, made by Beijing Chemical Industry Company, China. For these 15 patients, the following treatment protocol was given: 10 mg As2O3 (10 mL 0.1% solution) was added into 500 mL 5% glucose-normal saline solution for IV drip over 2 to 3 hours once a day. The protocol was approved by the Ethic Committee of Rui-Jin Hospital, Shanghai Second Medical University and informed consent was obtained from all patients. Due to the need to control the hyperleukocytosis (WBC > 30 × 109/L) in three patients, low-dose chemotherapy was added for a few days (Table 2). In two cases, low-dose ATRA (30 mg/d) was added (Table 2). Blood counts were performed at least twice a week for all patients. Sequential measurements of coagulation and fibrinolysis, including factor VIII:C, von Willebrand factor, fibrinogen, plasminogen, D-D dimers, fibrin degradation product (FDP), tissue-plasminogen activator, plasminogen activator inhibitor (PAI), and antithrombin-III (AT-III), were performed in four patients. BM examination was performed every week and/or at the time of response evaluation. CR was defined by the percentage of APL blasts < 5% in the BM and the normalization of blood counts. After CR, the treatment was discontinued for 30 days. Then a second course of As2O3 was used for 28 days as consolidation therapy.
Remission Induction With As2O3
| Patient No. . | Treatment Results . | Total Doses of As2O3 Used . | Days to Achieve CR . | Additional Treatment . |
|---|---|---|---|---|
| 1 | CR | 280 | 28 | |
| 2 | CR | 410 | 41 | |
| 3 | CR | 280 | 28 | |
| 4 | CR | 280 | 28 | |
| 5 | CR | 280 | 28 | |
| 6 | CR | 300 | 30 | |
| 7 | NR | 540 | ||
| 8 | CR | 380 | 38 | |
| 9 | CR | 440 | 44 | |
| 10 | CR | 280 | 28 | |
| 11 | CR | 280 | 28 | Daunorubicin (40 mg/d × 3 d) + Ara-C (150 mg/d × 5 d) |
| 12 | CR | 390 | 39 | ATRA 30 mg/d, from day 11 to CR |
| 13 | CR | 530 | 53 | Hydroxyurea (3 g/d × 15 d) |
| 14 | CR | 420 | 42 | ATRA 30 mg/d, from day 3 |
| to CR | ||||
| 15 | CR | 540 | 54 | Harringtonine (4 mg × 25 d) + Ara-C (200 mg/d × 9 d) |
| Patient No. . | Treatment Results . | Total Doses of As2O3 Used . | Days to Achieve CR . | Additional Treatment . |
|---|---|---|---|---|
| 1 | CR | 280 | 28 | |
| 2 | CR | 410 | 41 | |
| 3 | CR | 280 | 28 | |
| 4 | CR | 280 | 28 | |
| 5 | CR | 280 | 28 | |
| 6 | CR | 300 | 30 | |
| 7 | NR | 540 | ||
| 8 | CR | 380 | 38 | |
| 9 | CR | 440 | 44 | |
| 10 | CR | 280 | 28 | |
| 11 | CR | 280 | 28 | Daunorubicin (40 mg/d × 3 d) + Ara-C (150 mg/d × 5 d) |
| 12 | CR | 390 | 39 | ATRA 30 mg/d, from day 11 to CR |
| 13 | CR | 530 | 53 | Hydroxyurea (3 g/d × 15 d) |
| 14 | CR | 420 | 42 | ATRA 30 mg/d, from day 3 |
| to CR | ||||
| 15 | CR | 540 | 54 | Harringtonine (4 mg × 25 d) + Ara-C (200 mg/d × 9 d) |
Abbreviation: NR, no remission.
To estimate the effect of As2O3 on normal hematopoiesis, in vitro culture of colony-forming unit granulocyte (CFU-G) and of CFU- erythrocyte (CFU-E) was performed according to standard procedures.
Pharmacokinetic studies.Plasma pharmacokinetic studies were performed in eight patients after the first IV administration of As2O3 solution. Blood samples were collected into covered heparinized tubes before drug administration and thereafter at 0.5, 1, 2, 3, 4, 6, 8, 12, and 24 hours. Plasma arsenic concentrations were measured as previously described.13 Pharmacokinetic parameters, including maximal plasma concentration (Cpmax ), area under the concentration-time curve (AUC), half-life (t1/2α and t1/2β), clearance rate [CL(s)], and apparent distribution volume (Vc), were calculated using computerized software PK-GRAPH made by the Department of Pharmacology, Shanghai Second Medical University.14
RESULTS
Treatment efficacy.Fourteen of 15 patients achieved CR with As2O3 treatment alone or in combination with other drugs (Table 2). Among 10 patients treated with As2O3 alone (Table 2, cases no. 1-10), nine (90%) obtained CR. The duration of As2O3 treatment needed to obtain the CR in these nine patients was between 28 and 44 days (median, 38 days). Hence, the total dose of the drug needed for remission induction was between 280 and 440 mg. It should be noted that in patient No. 7, who did not enter into CR after 53 days of continuous treatment, the leukemic cells obtained at the time of relapse had no t(15; 17) translocation nor PML-RARα transcripts, although the t(15; 17) and PML-RARα fusion gene were positive at the onset of the disease and the first CR was induced by ATRA.
In the remaining five patients, CR was achieved with the combination of As2O3 (28 to 54 days and hence a total dose of 280 to 540 mg) and other drugs. Three patients (nos. 11, 13, 15) with a WBC count over 30 × 109/L at diagnosis or during As2O3 treatment also received low-dose chemotherapy (daunorubicin, cytosine arabinoside [Ara-C], harringtonine or hydroxyurea, Table 2). When their WBC counts declined to near 10 × 109/L, chemotherapy was withdrawn. In addition, ATRA (30 mg/d) was administered in two cases (nos. 12 and 14) due to leukopenia.
Immediately after CR, PML-RARα transcripts were examined in 10 patients. All but one (no. 6) were still positive. In addition, all 14 patients were followed up clinically. Figure 1 shows that four patients relapsed at months 4, 5, 9, and 14. Among these four patients, two died at months 5 and 9, respectively. The other 10 patients were still in clinical CR.
Overall survival (top) and disease-free survival (bottom) curves of 14 relapsed APL patients after As2O3-induced CR.
Overall survival (top) and disease-free survival (bottom) curves of 14 relapsed APL patients after As2O3-induced CR.
Side effects.Among 15 APL patients, five presented increased peripheral WBC count with the peak values of 12.5 to 167 × 109/L. The time to reach the peak WBC numbers after the initiation of As2O3 treatment was 14 to 42 days (medium, 23 days, Fig 2). This situation seems to be similar to the clinical picture observed after ATRA treatment in APL patients, although the proportion of patients displaying hyperleucocytosis is much higher during ATRA remission induction (80% to 90%). No significant changes of hemoglobin (Hb) and platelet levels were observed in nine patients, but six patients including three cases (nos. 11, 13, 15) with low-dose chemotherapy had slightly decreased Hb and platelet. Therefore, treatment with As2O3 was not associated with significant BM suppression. In line with this, the in vitro culture of two normal BM samples showed relatively low inhibitory effects of As2O3 on hematopoietic progenitor cells. The average inhibition rate of CFU-GM was 31% and that of CFU-E was 28%.
Dynamic changes of peripheral WBC counts during As2O3 treatment in five patients presenting hyperleukocytosis.
Dynamic changes of peripheral WBC counts during As2O3 treatment in five patients presenting hyperleukocytosis.
Antigens and/or activities of some coagulation and fibrinolysis-related proteins were systematically measured during As2O3 remission induction in four patients. The results showed that FDP and D-D dimers were rapidly decreased in the first week of the treatment, and no significant alterations of other parameters were observed (data not shown).
The principal side effects of As2O3 treatment are summarized in Table 3. Results showed that the most common side effects were dermatologic symptoms such as itching or skin erythematous changes (26.7%) and gastrointestinal symptoms such as nausea, vomiting, and loss of appetite (26.7%). In addition, liver function tests presented moderate alterations such as increased serum hepatic enzyme levels in two patients. EKG changes including T-wave change and I° A-V block were seen in two patients. Other side effects, usually of mild nature, were encountered in isolated cases. All these manifestations, however, could be tolerated by the patients and/or disappeared rapidly with symptomatic treatment so that no discontinuation of the drug was needed during remission induction.
Main Side Effects With As2O3 Treatment
| Side Effects . | Frequency (%) . |
|---|---|
| Skin dryness, itching, or erythematous changes | 26.7 (4/15) |
| Headache | 6.7 (1/15) |
| EKG change | |
| (1) low-flat T-wave | 6.7 (1/15) |
| (2) sinal tachycardia and I0 A-V inductive block | 6.7 (1/15) |
| Nausea, vomiting, or loss of appetite accompanied with lassitude | 26.7 (4/15) |
| Liver function* | |
| GPT increased | 6.7 (1/15) |
| GOT increased | 13.3 (2/15) |
| AKP increased | 13.3 (2/15) |
| γ-GTP increased | 6.7 (1/15) |
| Total bilirubin increased | 6.7 (1/15) |
| Enlargement of salivary gland† | 6.7 (1/15) |
| Thyrophyma without thyroidism†‡ | 6.7 (1/15) |
| Arthralgia or musculogia | 13.3 (2/15) |
| Teeth ache | 13.3 (2/15) |
| Oral ulcer | 6.7 (1/15) |
| Hemorrhage of teeth, nose, or skin | 13.3 (2/15) |
| Side Effects . | Frequency (%) . |
|---|---|
| Skin dryness, itching, or erythematous changes | 26.7 (4/15) |
| Headache | 6.7 (1/15) |
| EKG change | |
| (1) low-flat T-wave | 6.7 (1/15) |
| (2) sinal tachycardia and I0 A-V inductive block | 6.7 (1/15) |
| Nausea, vomiting, or loss of appetite accompanied with lassitude | 26.7 (4/15) |
| Liver function* | |
| GPT increased | 6.7 (1/15) |
| GOT increased | 13.3 (2/15) |
| AKP increased | 13.3 (2/15) |
| γ-GTP increased | 6.7 (1/15) |
| Total bilirubin increased | 6.7 (1/15) |
| Enlargement of salivary gland† | 6.7 (1/15) |
| Thyrophyma without thyroidism†‡ | 6.7 (1/15) |
| Arthralgia or musculogia | 13.3 (2/15) |
| Teeth ache | 13.3 (2/15) |
| Oral ulcer | 6.7 (1/15) |
| Hemorrhage of teeth, nose, or skin | 13.3 (2/15) |
These signs were observed in *the same two patients, †the same patient, and ‡during consolidation.
Pharmacokinetics.Plasma pharmacokinetics was analyzed at the first day of As2O3 remission induction in eight relapsed APL patients. The results showed that plasma arsenic rapidly reached the peak level (Fig 3A), with the mean Cpmax 6.85 μmol/L (range, 5.54 to 7.30 μmol/L), t1/2α 0.89 ± 0.29 hours and t1/2β 12.13 ± 3.31 hours. Detailed pharmacokinetic parameters for every patient analyzed were summarized in Table 4.
Plasma pharmacokinetic curves after one dose (10 mg) of As2O3 in relapsed APL patients. (A) The mean plasma arsenic concentration time curve for eight patients. Bar, SD. (B) Pharmacokinetic curves obtained on day 1 and day 30 of As2O3 remission induction in patient no. 6. (C) Pharmacokinetic curves determined on day 1 of remission induction and day 1 of consolidation therapy in patient no. 13.
Plasma pharmacokinetic curves after one dose (10 mg) of As2O3 in relapsed APL patients. (A) The mean plasma arsenic concentration time curve for eight patients. Bar, SD. (B) Pharmacokinetic curves obtained on day 1 and day 30 of As2O3 remission induction in patient no. 6. (C) Pharmacokinetic curves determined on day 1 of remission induction and day 1 of consolidation therapy in patient no. 13.
Pharmacokinetic Parameters After Intravenous Drip of As2O3 in Relapsed APL Patients
| Patient No. . | Cpmax (μmol/L) . | t1/2α . | t1/2β . | Vc (L) . | CL(s) (L/h) . | AUC (μmol/h/L) . |
|---|---|---|---|---|---|---|
| . | . | (h) . | (h) . | . | . | . |
| 6 | 6.01 | 0.55 | 6.38 | 3.83 | 1.38 | 36.20 |
| 64-150 | 6.28 | 1.05 | 13.61 | 4.33 | 1.29 | 38.70 |
| 8 | 8.18 | 1.01 | 16.66 | 2.93 | 1.34 | 43.95 |
| 84-151 | 6.22 | 0.87 | 11.26 | 3.82 | 1.40 | 35.70 |
| 9 | 7.70 | 0.49 | 12.36 | 3.44 | 1.27 | 39.55 |
| 94-150 | 6.08 | 0.82 | 8.02 | 3.81 | 1.70 | 29.40 |
| 10 | 6.62 | 1.15 | 11.65 | 4.10 | 1.53 | 32.60 |
| 104-150 | 6.22 | 1.00 | 10.03 | 4.31 | 1.49 | 34.30 |
| 11 | 6.82 | 0.62 | 10.46 | 3.98 | 1.43 | 34.85 |
| 12 | 5.54 | 0.93 | 11.17 | 4.30 | 1.81 | 27.60 |
| 13 | 6.62 | 1.16 | 16.52 | 4.15 | 1.33 | 37.55 |
| 134-151 | 6.89 | 1.42 | 9.56 | 4.94 | 1.44 | 34.75 |
| 15 | 7.30 | 1.21 | 11.86 | 3.89 | 1.33 | 37.70 |
| Patient No. . | Cpmax (μmol/L) . | t1/2α . | t1/2β . | Vc (L) . | CL(s) (L/h) . | AUC (μmol/h/L) . |
|---|---|---|---|---|---|---|
| . | . | (h) . | (h) . | . | . | . |
| 6 | 6.01 | 0.55 | 6.38 | 3.83 | 1.38 | 36.20 |
| 64-150 | 6.28 | 1.05 | 13.61 | 4.33 | 1.29 | 38.70 |
| 8 | 8.18 | 1.01 | 16.66 | 2.93 | 1.34 | 43.95 |
| 84-151 | 6.22 | 0.87 | 11.26 | 3.82 | 1.40 | 35.70 |
| 9 | 7.70 | 0.49 | 12.36 | 3.44 | 1.27 | 39.55 |
| 94-150 | 6.08 | 0.82 | 8.02 | 3.81 | 1.70 | 29.40 |
| 10 | 6.62 | 1.15 | 11.65 | 4.10 | 1.53 | 32.60 |
| 104-150 | 6.22 | 1.00 | 10.03 | 4.31 | 1.49 | 34.30 |
| 11 | 6.82 | 0.62 | 10.46 | 3.98 | 1.43 | 34.85 |
| 12 | 5.54 | 0.93 | 11.17 | 4.30 | 1.81 | 27.60 |
| 13 | 6.62 | 1.16 | 16.52 | 4.15 | 1.33 | 37.55 |
| 134-151 | 6.89 | 1.42 | 9.56 | 4.94 | 1.44 | 34.75 |
| 15 | 7.30 | 1.21 | 11.86 | 3.89 | 1.33 | 37.70 |
On day 30 of remission induction.
On day 1 of consolidation treatment.
To evaluate the possible metabolic changes of arsenic after its long time use, pharmacokinetic parameters were compared between day 1 and day 30 of the remission induction in three patients, and between day 1 of remission induction and day 1 of consolidation therapy, which was administered 1 month after CR, in two patients. The results showed that continuous administration of arsenic did not alter its pharmacokinetic behaviors and did not result in the alteration of plasma concentration of arsenic (Fig 3B and C, Table 3).
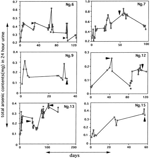
Arsenic excretion in the urine and accumulation of arsenic in peripheral tissues.To further investigate the in vivo metabolism of As2O3 , contents of arsenic in urine and in peripheral tissues (nail and hair) were measured in six patients. The results showed that urinary arsenic content was slightly increased during drug administration and the total amount of arsenic excreted daily in the urine accounted for approximately 1% to 8% of the total daily dose (Fig 4). Note that urinary excretion of arsenic persisted after withdrawal of the drug, although the amount excreted was slightly decreased. On the other hand, arsenic contents in both hair and nail increased gradually and the peak content of arsenic could reach 2.5 to 2.7 μg/g at CR in three of five patients tested, which was 5 to 7 times higher than that (0.35 to 0.40 μg/g) before the treatment. However, the arsenic content of hair and nail could be decreased in the interval between remission induction and consolidation, as well as after consolidation treatment (Fig 5A and B). Moreover, similar changes in urinary excretion and tissue accumulation were observed on consolidation therapy as compared with the remission induction (Figs 4 and 5).
Contents of As2O3 excreted every 24 hours in the urine among six patients. Arrows point out the time when drug was withdrawn. The sign “*” marks the time when consolidation therapy was begun.
Contents of As2O3 excreted every 24 hours in the urine among six patients. Arrows point out the time when drug was withdrawn. The sign “*” marks the time when consolidation therapy was begun.
DISCUSSION
In late 1960s and early 1970s, a group of doctors from Harbin Medical University, specialized in the integration of Traditional Chinese Medicine with the Western Medicine, were studying effective cancer treatment protocols among different Chinese medications in the countryside. In 1970, they got a remedy in a family practicing traditional medicine, which seemed to be effective in the treatment of skin cancer. Afterward, arsenic stone powder was found to be the effective component in the remedy. Since there were no other protocols available for cancer patients in that region during that period, arsenic was used in the treatment of different cancers. However, it was soon found that the oral administration of As2O3 was associated with severe gastrointestinal and liver side effects. To overcome this problem, the drug was further purified in order to make a solution suitable for IV administration. The side effects were significantly reduced and this form of As2O3 has been used, since March 1971 (where came the first name of the drug, 713) in the clinical trials for a number of human malignant diseases. After a lengthy study in more than 1,000 patients, with careful examination of the correlation between the clinical responses and different cancer types, a few cancers have been found to be good targets for the therapy; the most striking results were obtained in APL. Of note, a relatively long CR duration was observed in the first series of APL patients reported by Harbin group, with more than 5-year survival in half of the patients.9
In the present study, 14 of 15 relapsed APL patients, including two at second and two at third relapse, obtained CR after using As2O3 . This result is of particular clinical significance, since previous experiences suggest that relapsed APL patients have relatively poor prognosis. According to a recent multicentric study in China, the remission rate with ATRA and/or chemotherapy in patients at first relapse was <40%, and even the CR duration was generally short.15 As2O3 may have no significant cross-resistance to the currently used drugs for APL, because all these patients received ATRA and chemotherapy in the previous remission induction and/or postremissional therapy.
In nine patients, CR was obtained with As2O3 treatment alone. The therapeutic effect of As2O3 can thus be well established. In the remaining five patients, drugs other than As2O3 were also used to deal with some clinical problems. For example, chemotherapeutic agents were used in three cases when their WBC numbers were higher than 30 × 109/L at diagnosis or during As2O3 treatment. Being used at low dose or with a relatively short course, these agents were unlikely to induce CR in view of
Fig 5. Dynamic changes of As2O3 contents in hair (A) and nail (B) after As2O3 remission induction and/or consolidation treatment in APL patients. The number at the end of each curve indicates the patient case number. Solid lines represent the time when patients were under As2O3 treatment; dotted lines correspond to the days when drug was not used.
Fig 5. Dynamic changes of As2O3 contents in hair (A) and nail (B) after As2O3 remission induction and/or consolidation treatment in APL patients. The number at the end of each curve indicates the patient case number. Solid lines represent the time when patients were under As2O3 treatment; dotted lines correspond to the days when drug was not used.
the refractory status of the disease. In the two Japanese patients at third relapse, ATRA was used as “supportive” treatment throughout remission induction. Nevertheless, both patients were previously treated with ATRA (one case was also treated with AM-80, a retinoid derivative) and no response was observed. They were considered as being resistant to both conventional chemotherapy and ATRA when referred to us. Although there seems to be no evidence to suggest that these drugs played a decisive role in remission induction in these five cases, however, we cannot completely rule out their contribution. Therefore, it is concluded that CR rate should be 90% (9/10).
It may be interesting to note that the only patient in this study who did not respond to As2O3 had no t(15; 17) nor expression of the PML-RARα fusion gene transcripts at relapse, while his leukemic cells retained typical morphologic features of APL. This case was positive for t(15; 17) and PML-RARα at the onset of the disease and a first CR was successfully induced with ATRA. It is possible that the absence of the fusion gene transcript reflects either a secondary oncogenic activation, which makes the PML-RARα unnecessary for the maintenance of the malignant phenotype, or a selection of pre-existing subclone without PML-RARα. It remains to be clarified whether the poor response to As2O3 treatment is associated with the absence of the expression of PML-RARα fusion.
Clinical observations revealed that the currently used dose (10 mg) of As2O3 through IV administration resulted in only mild to moderate side effects. First, As2O3 treatment did not cause BM suppression and did not exacerbate bleeding. Instead it tended to improve the fibrinolytic activation status (either primary or secondary to the increased coagulability) in the patients as evidenced by the decreased D-D dimer and FDP levels. Second, no life-threatening acute toxicity was observed. It was reported that oral administration of 250 mg (twice daily or three times daily) synthetic or mineral arsenic compounds for 7 to 10 days was safe in the treatment of amebiasis.16 The lethal dose recorded in the literatures was a single dose of more than 100 mg. This is in agreement with our previous results demonstrating that LD50 of 0.1% As2O3 solution in ICR mice was 9.43 mg/kg body weight (not shown).
Pharmacokinetics showed that plasma arsenic was rapidly eliminated and continuous administration of As2O3 did not result in the accumulation of arsenic in plasma. It is known that 95% to 97% of blood arsenic is bound to hemoglobin and can be distributed rapidly into some tissues and organs. After entrance into human body, the accumulation of arsenic mainly occurs in tissues rich in sulfydryl group-containing proteins such as hair, nail, and bone marrow.1 To evaluate the in vivo excretion and accumulation of arsenic, arsenic contents in urine and peripheral tissues were measured in this study. The results suggest that the daily urinary excretion of arsenic accounted for only a very low percentage (approximately 1% to 8%) of the total daily dose used. It is still to be determined whether other pathways can make an important contribution to the elimination of the drug administered IV. According to the report by Nielsen and Uthus, the amount of arsenic excreted in the stool (900 μg/d) is far more than that excreted by urine (50 μg/d),1 suggesting that gastrointestinal tract may be one of the main pathways for in vivo arsenic excretion. As a matter of fact, in our series, although arsenic contents in hair and nail of the patients increased gradually during continuous administration and the contents of arsenic in these tissues were five to seven times that before treatment (0.35 to 0.40 μg/g), the peak levels (2.0 to 2.7 μg/g nail) were still below the upper limit reported in normal individuals (3 μg/g).1 In addition, the amount of arsenic in hair and nail tends to decrease, whereas the urinary excretion of the drug tends to continue after withdrawal of the drug. These observations may further explain why IV infusion of 10 mg/d As2O3 was relatively safe for the treatment of APL.
It should be pointed out that the long-term effect of As2O3 needs further investigation, despite the reports of long time survival. Therefore, at this time, we prefer to recommend As2O3 as a second line drug, and its use should be reserved for APL patients refractory to ATRA and conventional chemotherapy. If the relative safety of its long term use can be assured in the future, As2O3 may be incorporated into a multidrug protocol for de novo patients.
ACKNOWLEDGMENT
We thank Prof L. Degos from Saint-Louis Hospital, Paris, France; Prof R. Ohno from Hamamatsu University School of Medicine, Japan; and Prof S. Waxman from Mount Sinai Medical Center, NY, for constructive discussion.
Supported on part by National Natural Science Foundation of China (NSCF ), Shanghai Municipal Foundation for Science and Technology, National Ministry of Public Health, Shanghai Municipal Foundation for Outstanding Young Researcher, and Clyde Wu Foundation of Shanghai Institute of Hematology.
Z.-X.S. and G.-Q.C. should be considered as equal first authors.
Address reprint requests to Zhu Chen, MD, PhD, Shanghai Institute of Hematology, Ruijin Hospital, Shanghai Second Medical University, 197 Ruijin Road II, Shanghai, 200025, China.





This feature is available to Subscribers Only
Sign In or Create an Account Close Modal