Abstract
We studied the cell kill induced by granulocyte-macrophage colony-stimulating factor (GM-CSF ) fused to Diphtheria Toxin (DT-GM-CSF ) in acute myeloid leukemia (AML) samples and in populations of normal primitive hemopoietic progenitor cells. AML samples from three patients were incubated in vitro with 100 ng/mL DT-GM-CSF for 48 hours, and AML cell kill was determined in a proliferation assay, a clonogenic assay colony-forming unit-AML (CFU-AML) and a quantitative long-term bone marrow (BM) culture ie, the leukemic-cobblestone area forming cell assay (L-CAFC). To measure an effect on cells with in vivo leukemia initiating potential DT-GM-CSF exposed AML cells were transplanted into immunodeficient mice. In two out of three samples it was shown that all AML subsets, including those with long-term abilities in vivo (severe combined immunodeficient mice) and in vitro (L-CAFC assay) were reduced in number by DT-GM-CSF. Cell kill induced by DT-GM-CSF could be prevented by coincubation with an excess of GM-CSF, demonstrating that sensitivity to DT-GM-CSF is specifically mediated by the GM-CSF receptor. Therefore, binding and internalization of GM-CSF probably occur in immature AML precursors of these two cases of AML. The third AML sample was not responsive to either GM-CSF or DT-GM-CSF. The number of committed progenitors of normal bone marrow (burst-forming unit-erythroid, colony-forming unit granulocyte- macrophage, and cobble stone area forming cell [CAFC] week 2) and also the number of cells with long-term repopulating ability, assayed as week 6 CAFC, were unchanged after exposure to DT-GM-CSF (100 ng/mL, 48 hours). These studies show that DT-GM-CSF may be used to eliminate myeloid leukemic cells with long-term potential in vitro and in immunodeficient mice, whereas normal hemopoietic stem cells are spared.
HUMAN ACUTE myeloid leukemia (AML) cells generally express receptors for hemopoietic growth factors. The granulocyte-macrophage colony-stimulating factor receptor (GM-CSFR) is expressed as a heteromeric complex containing an α and a β subunit.1-3 In AML this receptor is mostly of high affinity. The GM-CSFR of AML cells is functional, because cells from more than 80% of AML cases respond to GM-CSF with proliferation.4,5 Such receptors with a narrow tissue distribution and a high affinity are promising targets to selectively deliver toxins to malignant cells.6 7
A truncated form of the potent Diphtheria toxin DT has been fused to a number of cytokines.8-12 It has been shown before that such fusion proteins may be used for the elimination of malignant cells. The deleterious effects of DT-fusion proteins require receptor binding and subsequent internalization by receptor-mediated endocytosis. This is followed by processing of the DT into its active form and delivery of the NH2 -domain associated adenosine diphosphate (ADP)-ribosyltransferase to the cytoplasm. It kills the cell by catalyzing the irreversible ADP ribosylation and subsequent inactivation of elongation factor 2. The number of internalized DT molecules required for cell kill are quite low.13-16
Recently we established that DT-GM-CSF may be used to target primary human AML as determined in an in vitro proliferation assay.17 Limiting dilution experiments of AML cells in immunodeficient mice showed that the frequency of the cell with the ability to initiate leukemia in immunodeficient mice is low and varies between 0.2 and 100 per 106 AML cells.18 Whether these immature AML cells, with the ability to maintain AML in vivo, express functional GM-CSFR or respond to GM-CSF is unknown. Probably, the sensitivity of this AML subset determines the antileukemic efficacy of a therapeutic intervention. The immunodeficient mouse model is an established system for investigation of immature human AML cells19-21 and might serve as a useful tool to investigate the effect of DT-GM-CSF to AML cells with long-term repopulating capacity.
Applicability of DT-GM-CSF could be hampered by the toxic effect on normal hemopoietic cells. It has been shown that the GM-CSFR is probably not expressed by the phenotypically most immature subsets of CD34+ cells,22 and GM-CSFR mRNA was not observed in 5-Fluorouracil resistant bone marrow (BM) cells.23 This evidence suggests that normal hemopoietic stem cells may escape cell death induced by DT-GM-CSF.
Here we report on the efficacy of DT-GM-CSF for elimination of AML cells with long-term repopulating abilities in vivo, using transplantation of DT-GM-CSF exposed AML cells into severe combined immunodeficient mice (SCID) mice. In addition we used the cobblestone area forming cell L-CAFC assay, a quantitative long-term BM culture system that we have applied to the investigation of AML before.21,24 The toxicity of DT-GM-CSF to normal hemopoietic cells under identical conditions was determined in the clonogenic assay for committed progenitors, and in the CAFC assay for hemopoietic stem cell subsets.25
MATERIALS AND METHODS
Human AML cells. Samples were obtained, following informed consent, from untreated patients with AML. The cases were classified cytologically according to the criteria of the French-American-British Committee (FAB).26 Mononuclear cells were isolated as a buffy coat, without T-cell depletion and frozen using a controlled freezing apparatus followed by storage in liquid nitrogen. After thawing by stepwise dilution, cell viability assessed by trypan blue staining ranged from 62% to 91%.
Incubations with DT-GM-CSF. The construction and purification of DT-GM-CSF has previously been described.21 Normal BM (nBM) cells from healthy donors and AML cells were exposed to DT-GM-CSF (100 ng/mL) in serum free medium (SFM)27 at a density of 2.5 × 106 cells/mL at 37°C in a humidified 5% CO2 atmosphere for 48 hours. Control incubations in SFM without DT-GM-CSF and the incubation with a equimolar concentration of human GM-CSF (GM-CSF; a gift from Sandoz BV, Basel, Switzerland) were performed simultaneously. For competition experiments an excess of GM-CSF (2 μg/mL) was added to the cultures containing DT-GM-CSF. Equivalent proportions of the flasks based on the input values were used in the assays. No correction for cell loss or viability was applied.
3H-Thymidine (3H-TdR) incorporation assay. Cells (2 × 104) were cultured for 72 hours in 96-well round-bottom microtiter plates in 100 μL SFM containing DT-GM-CSF (100 ng/mL). The effects of DT-GM-CSF were tested in the absence of growth factors, and in the presence of the combination of human stem cell factor (SCF 0.1 μg/mL; a gift from Amgen Biologicals, Thousand Oaks, CA), human interleukin-3 (IL-3 0.025 μg/mL; a gift from Gist Brocades, Delft, The Netherlands) and human granulocyte colony-stimulating factor (G-CSF 0.1 μg/mL; Amgen). Eighteen hours before harvesting, 0.1 μCi 3H-TdR (2 Ci/mmol, Amersham International, Amersham, UK) was added to each well. Cells were collected using an automatic cell harvester (Skatron, Lier, Norway), and the cell-associated radioactivity was measured in a liquid scintillation counter (Pharmacia-LKB, Bromma, Sweden). In competition experiments an excess of GM-CSF (2 μg/mL) was added simultaneously with DT-GM-CSF. All cultures were performed in triplicate. Data are expressed as percentage of control.
SCID mice and transplantation of AML. Female specific pathogen-free CB17 SCID/SCID mice (5 to 8 weeks of age) were obtained from Harlan CPB (Austerlitz, The Netherlands) and housed under pathogen free conditions in a laminar air flow unit. The mice were supplied with sterile food and acidified drinking water with 100 mg/L ciprofloxacine (Bayer AG, Leverkusen, Germany). The mouse plasma Ig level was determined with an enzyme-linked immunosorbent assay using a sheep antimouse antibody reacting with mouse IgG and IgM (Boehringer Mannheim Biochemica, Penzberg, Germany). Mice with plasma Ig levels more than 40 μg/mL were excluded. SCID mice were pretreated with 0.2 mL dichloromethylene diphosphonate (CL2MDP) liposome stock solution, injected into the lateral tail vein, on the day before transplantation of the leukemic cells to eliminate the macrophages in spleen and liver.28 In addition, total body irradiation at a dose of 3.5 Gy was delivered by a 137Cs source (Gammacell, Atomic Energy of Canada, Ottawa) adapted for the irradiation of mice. The AML graft size was the equivalent of 30 × 106 AML input cells for all three samples. The grafts, suspended in 300 μL Hanks' balanced salt solution (GIBCO, Breda, The Netherlands), 16 U/mL Heparine and 0.1% bovine serum albumin (BSA; Sigma, St Louis, MO), were injected into the lateral tail vein.
Tissue collections. The experiments were performed after consent of the Institutional Ethics Committee for animal experiments. SCID mice were killed using CO2 inhalation followed by cervical dislocation in accordance with institutional animal research regulations. Cell suspensions were prepared from the BM and analyzed by flow cytometry.
Flow cytometric analysis of SCID mouse derived AML cells. To quantify AML growth and to compare the immunophenotype with the initial graft samples, cells recovered from the BM of SCID mice were incubated with the following (combinations of ) mouse monoclonal antibodies: CD34-fluorescein isothiocyanate (FITC), CD34-phycoerythrin (PE), CD38-PE, CD34-FITC/IgG1 -PE, CD34-FITC/HLA-DR-PE, CD34-FITC/CD38-PE, CD34-FITC/C-Kit-PE, CD34-FITC/CD33-PE, CD45-FITC/CD33-PE. All antibodies were obtained from Becton Dickinson, (San Jose, CA) with the exception of c-kit-PE (Immunotech, Marseille, France). Cells recovered from SCID mouse BM staining with two antibodies specific for human hemopoietic cells were counted as human cells.29 Mouse IgG1-FITC and mouse IgG1-PE conjugated antibodies and samples from nontransplanted SCID mice were used as controls. Samples were analyzed using the FACScan flow cytometer and Lysis II software (Becton Dickinson, Mountain View, CA). Erythrocytes and dead cells were excluded by gating on forward and orthogonal light scatter.
Serum-free colony assay for leukemic progenitors. Cells were plated in 35-mm dishes (Becton Dickinson) in 1 mL Dulbecco's modified Eagle's medium (GIBCO, Gaithersburg, MD) containing 0.9% methylcellulose, 1.5% BSA (Sigma), insulin (10 μg/mL, Sigma), linoleic acid (1.5 × 10−5 mol/L, Merck, Darmstadt, Germany), cholesterol (1.5 × 10−5 mol/L, Merck), sodium selenite (1 × 10−7 mol/L, Merck), β-mercaptoethanol (1 × 10−4 mol/L, Merck), human transferrin (0.62 mg/mL, Behring Werke, Marburg, Germany), penicillin (100 U/mL, GIBCO), and streptomycin (850 μg/mL, GIBCO). Assays were performed in triplicate in the presence of GM-CSF (5 ng/mL), IL-3 (10 ng/mL), and G-CSF (100 ng/mL). Colonies were scored after 14 days of incubation at 37°C in humidified 5% CO2 atmosphere.
Colony assay for normal hemopoietic progenitors. Colony-forming unit-granulocyte macrophage (CFU-GM) and burst-forming unit-erythroid (BFU-E) were enumerated to test toxicity of DT-GM-CSF to normal committed progenitor cells. DT-GM-CSF exposed nBM cells were plated at 1 × 104 cells per dish in 1 mL of semisolid medium, (1.2% methylcellulose in Iscove's modified Dulbecco's medium [IMDM]; GIBCO) containing 30% fetal calf serum (Hyclone, Logan, UT) supplemented with 0.75% BSA (Sigma), penicillin (100 U/mL), streptomycin (100 μg/mL), β-mercaptoethanol (5 × 10−5 mol/L), erythropoietin (Epo 1 U/mL; Boehringer, Mannheim, Germany), IL-3 (15 ng/mL), G-CSF (50 ng/mL), GM-CSF (5 ng/mL) and murine SCF (100 ng/mL; Genetics Institute, Cambridge, MA) all at final concentrations. Additional studies were performed in semisolid medium methyl cellulose cultures (MC), either serum containing (30% fetal calf serum [FCS]) or serum free, supplemented with only GM-CSF (5 ng/mL) for colony formation induction. Cultures were kept at 37°C and 5% CO2 in a humidified atmosphere. CFU-GM included CFU-G, CFU-M, and CFU-GM. CFU-GM and BFU-E colonies were counted on day 14 of culture in the same dish.
CAFC assay. The CAFC assay was performed as described,25 using similar conditions for normal and leukemic samples. Briefly, confluent stromal layers of FMBD-1 cells in 96-wells plates were overlaid with AML cells or normal BM cells in a limiting dilution setup. The cells were cultured in IMDM (GIBCO) supplemented with 20% horse serum (GIBCO) and hydrocortisone 21-hemisuccinate (10−6 mol/L, Sigma). IL-3 (12.5 ng/mL) and G-CSF (20 ng/mL) were added weekly to the cultures. Input values were the equivalent of 50,000 nucleated cells (NC) per well in the lowest dilution. Twelve dilutions twofold apart were used for each sample, with 15 replicate wells per dilution. The percentage of wells with at least one phase-dark hemopoietic clone of at least five cells beneath the stromal layer was determined about every 14 days and CAFC frequencies were calculated using Poisson statistics as described.30
RESULTS
Antiproliferative effects of DT-GM-CSF in a proliferation assay. The response of AML samples to GM-CSF or a mix of cytokines (G-CSF, IL-3, and stem cell factor [SCF ]) was determined in a proliferation assay (Table 1). AML cells from patients A and B proliferated when exposed to GM-CSF, indicating the presence of functional GM-CSFR. AML cells from patient C showed no proliferative response to GM-CSF. All samples proliferated when incubated with the combination of G-CSF, IL-3, and SCF.
Effect of DT-GM-CSF on AML Cells in the 3H-TdR Uptake Assay
| AML . | FAB . | 3H-TdR Uptake (cpm) . | ID50 (ng/mL) . | |||
|---|---|---|---|---|---|---|
| . | . | no GF . | GM-CSF . | SCF/IL-3/G-CSF . | Autonomous . | Stimulated . |
| . | . | . | . | . | Growth . | Growth . |
| A | M2 | 1,300 | 8,200 | 33,500 | 0.1 | 5 |
| B | M1 | 1,200 | 9,800 | 35,500 | 0.04 | 0.7 |
| C | M1 | 1,600 | 2,000 | 31,400 | >500 | >500 |
| AML . | FAB . | 3H-TdR Uptake (cpm) . | ID50 (ng/mL) . | |||
|---|---|---|---|---|---|---|
| . | . | no GF . | GM-CSF . | SCF/IL-3/G-CSF . | Autonomous . | Stimulated . |
| . | . | . | . | . | Growth . | Growth . |
| A | M2 | 1,300 | 8,200 | 33,500 | 0.1 | 5 |
| B | M1 | 1,200 | 9,800 | 35,500 | 0.04 | 0.7 |
| C | M1 | 1,600 | 2,000 | 31,400 | >500 | >500 |
Cells from 3 AML patients diagnosed according to the criteria of the FAB committee were incubated in serum-free medium with or without a mixture of SCF, IL-3, and G-CSF.
The ID50 is the concentration of DT-GM-CSF required for 50% inhibition of the autonomous proliferation or the proliferation under stimulatory conditions.
To determine the effect of DT-GM-CSF on unstimulated proliferation we incubated the AML cells for 72 hours at DT-GM-CSF concentrations ranging from 0.001 to 500 ng/mL without growth factors. Similar experiments were performed in the presence of the combination of G-CSF, IL-3, and SCF (Fig 1). Table 1 shows the ID50 , ie, the DT-GM-CSF dose required to induce a 50% inhibition of DNA synthesis of the AML cells. The AML cells from patients A and B were sensitive to the toxin under both conditions and the toxic effect could be inhibited by an excess amount of GM-CSF. The ID50 varied from 0.04 to 5 ng/mL. AML cells from patient C were insensitive to DT-GM-CSF; even a concentration of 500 ng/mL failed to induce an antiproliferative effect. These results correlated with AML cell viability after incubation with DT-GM-CSF for 48 hours as assessed by trypan blue staining: the numbers of viable cells were reduced to 18% for patient A and 3% for patient B as compared to the control incubations. The viability of AML cells from patient C was unchanged at 97%.
Proliferation inhibition of AML cells by DT-GM-CSF measured in the 3H-TdR incorporation assay. Cells were examined for inhibition of proliferation in cytokine-free medium (p) and in conditions of stimulated growth by SCF, IL-3, and G-CSF (m). Specificity of DT-GM-CSF was tested by adding an excess of GM-CSF (2 μg/mL) simultaneously with DT-GM-CSF in cytokine free medium (n) or SCF, IL-3, and G-CSF containing medium (l).
Proliferation inhibition of AML cells by DT-GM-CSF measured in the 3H-TdR incorporation assay. Cells were examined for inhibition of proliferation in cytokine-free medium (p) and in conditions of stimulated growth by SCF, IL-3, and G-CSF (m). Specificity of DT-GM-CSF was tested by adding an excess of GM-CSF (2 μg/mL) simultaneously with DT-GM-CSF in cytokine free medium (n) or SCF, IL-3, and G-CSF containing medium (l).
Restimulation of the AML cells of patients A and B recovered after incubation with DT-GM-CSF revealed that the cells surviving DT-GM-CSF exposure were unable to proliferate in response to GM-CSF or the combination of G-CSF, IL-3, and SCF. The proliferation pattern of AML cells from patient C was unchanged: no response to GM-CSF and proliferation in response to the combination of growth factors (data not shown). Culturing of the cells in a clonogenic assay revealed that after DT-GM-CSF incubation CFU-AML numbers were reduced to 2.2% (pat A) and 0.7% (pat B) as compared to controls. AML cells from patient C did not produce colonies at all.
The concentration of 100 ng/mL of DT-GM-CSF was selected as an effective dose in later experiments, because maximal efficacy in the proliferation assay was already achieved at considerably lower concentrations. Exposure for longer periods of time (up to 72 hours) did not result in a change in the viability of the exposed AML samples (data not shown).
Outgrowth of DT-GM-CSF exposed, GM-CSF exposed, and control AML cells in SCID mice. The effect of the described interventions on in vivo leukemia initiating capacity of the AML cells was investigated using transplantations into SCID mice. Groups of 5 SCID mice were evaluated 30 to 48 days after transplantation. The mice that had received a DT-GM-CSF treated graft of AML A and B, showed a much lower percentage of leukemic cells as compared to control mice (Table 2). In mice transplanted with DT-GM-CSF exposed cells from AML B, all grafts failed (graft failure was defined as less than 0.5% of AML cells proliferating in the SCID mouse BM). DT-GM-CSF treatment of AML cells from patient C did not lead to a significant reduction in leukemic cell load in the mice. The results also show that exposure of AML cells to GM-CSF (48 hours, SFM) did not result in an appreciable increase of the leukemic cell load in SCID mice (Table 2).
Outgrowth of DT-GM-CSF Exposed, GM-CSF Exposed, and Control AML Cell Populations in SCID Mice
| AML . | Incubation . | % Human Cells in SCID Mouse BM* . |
|---|---|---|
| A | Control | 75 ± 13 |
| GM-CSF | 64 ± 11 | |
| DT-GM-CSF | 12 ± 8.7 | |
| B | Control | 21 ± 9.2 |
| GM-CSF | 31 ± 21 | |
| DT-GM-CSF | 0 | |
| C | Control | 42 ± 9 |
| GM-CSF | 50 ± 19 | |
| DT-GM-CSF | 21 ± 7 |
| AML . | Incubation . | % Human Cells in SCID Mouse BM* . |
|---|---|---|
| A | Control | 75 ± 13 |
| GM-CSF | 64 ± 11 | |
| DT-GM-CSF | 12 ± 8.7 | |
| B | Control | 21 ± 9.2 |
| GM-CSF | 31 ± 21 | |
| DT-GM-CSF | 0 | |
| C | Control | 42 ± 9 |
| GM-CSF | 50 ± 19 | |
| DT-GM-CSF | 21 ± 7 |
Values calculated on the basis of data from five engrafted mice.
Mean number of percentage of human cells in SCID mouse BM ± SD.
Flow cytometric analysis of AML cells from the SCID mouse BM. Cells recovered from the SCID mouse BM were investigated for leukemic origin. Flow cytometry with the described panel of monoclonal antibodies showed that the phenotypes of the AML cells recovered from the SCID mice were identical to the grafts, except in AML case A (Fig 2). In case A the phenotype converted from 75% CD34− AML cells to a phenotype entirely negative for CD34 expression. Additional support for the leukemic nature of the cells proliferating in the SCID mice comes from the observation that nBM does not proliferate extensively in SCID mice under the experimental conditions used (unpublished observations, December 1993, January 1995, June 1995).
Double-labeling dot plots of three different AML's. The first lane shows the CD38 (Y-axis) versus CD34 (X-axis) and CD33 (Y-axis) versus CD45 (X-axis) of the original cell suspensions before incubation and injection into the SCID mice. Lanes 2, 3, and 4 show CD38/34 and CD33/45 double-labeling dot plots of BM derived from SCID mice that were killed around day 40 after injection of AML cells that were either incubated for 48 hours in serum-free medium (SFM) lane 2; in SFM containing GM-CSF only, lane 3; or in SFM containing DT-GM-CSF at 100 ng/mL, lane 4. Murine cells are found in the lower left quadrant and depending on the characteristics of AML A, B, or C, human cells are found in the other three quadrants.
Double-labeling dot plots of three different AML's. The first lane shows the CD38 (Y-axis) versus CD34 (X-axis) and CD33 (Y-axis) versus CD45 (X-axis) of the original cell suspensions before incubation and injection into the SCID mice. Lanes 2, 3, and 4 show CD38/34 and CD33/45 double-labeling dot plots of BM derived from SCID mice that were killed around day 40 after injection of AML cells that were either incubated for 48 hours in serum-free medium (SFM) lane 2; in SFM containing GM-CSF only, lane 3; or in SFM containing DT-GM-CSF at 100 ng/mL, lane 4. Murine cells are found in the lower left quadrant and depending on the characteristics of AML A, B, or C, human cells are found in the other three quadrants.
Proliferation assay of AML cells recovered from the SCID mouse BM. Cells recovered from SCID mice that had received a DT-GM-CSF exposed graft from patient A proliferated in response to GM-CSF. Renewed incubation with DT-GM-CSF reduced proliferation (data not shown). Because such AML cells could not be shown in the initial graft, directly after the incubation, these data indicates that GM-CSF and DT-GM-CSF responsive cells regenerated in the mouse.
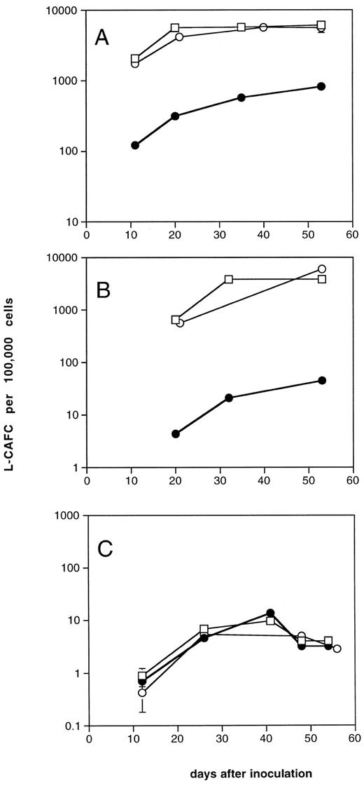
Outgrowth of DT-GM-CSF exposed AML cells in the CAFC assay. Long-term growth of the DT-GM-CSF exposed AML cells from patient A, B, and C was investigated in a quantitative long-term BM culture system, the L-CAFC assay. It was shown that the frequencies of week 7 L-CAFC were 6,060 ± 1,318 and 3,828 ± 834 per 105 NC in case A and B respectively (Fig 2), whereas this frequency in unfractionated nBM always varies between 0.1 and 10 per 105 NC. Therefore, the origin of the great majority of the cobblestone areas produced by case A and B must be leukemic. The frequency analysis of leukemic progenitors after 7 weeks of culture (late L-CAFCs) showed a sevenfold and 87-fold reduction in the DT-GM-CSF treated cell populations as compared to the control cells from patient A and B, respectively. The L-CAFC assay of the DT-GM-CSF exposed cell sample of patient C showed that week 7 L-CAFC frequencies were 3.2 ± 0.6/105 as compared to 4.0 ± 0.7/105 for control cells from patient C, and was therefore unchanged. The L-CAFC data indicates that the great majority of leukemic stem cells of patient A and B were sensitive to DT-GM-CSF, which is in agreement with the in vivo leukemia initiating capacity of these samples.
Coincubation of DT-GM-CSF with excess concentrations of GM-CSF. To test whether the toxicity of DT-GM-CSF is conferred by the GM-CSFR, we incubated AML cells of patient A with DT-GM-CSF in the presence of an excess amount of GM-CSF and compared the result of incubation with the effect of excess GM-CSF alone. The frequency of week 5 L-CAFC (1,254 ± 295/105 and 1,027 ± 41/105 [mean ± SEM]) and the engraftment in SCID mice (in groups of 5 mice 69 ± 14% and 64 ± 11% [mean ± SD]) of AML cells in the SCID mouse BM, respectively) were similar, showing that the toxicity of DT-GM-CSF could be blocked by coincubation with an excess of GM-CSF. This implies that the toxicity to the AML stem cells is mediated via the GM-CSFR. We showed earlier that the effect of DT-GM-CSF on AML cells as determined in 3H-TdR incorporation assay could be prevented by high concentrations of GM-CSF as well.21
Effect of DT-GM-CSF on normal hemopoietic progenitors. To investigate the cytotoxic effect of DT-GM-CSF to normal hemopoietic progenitor cells, five samples of nBM cells were exposed to 100 ng/mL DT-GM-CSF for 48 hours in liquid culture. The relative effect on committed progenitors was determined in clonogenic assays by enumerating the number of CFU-GM and BFU-E's, and compare this with nonexposed nBM cells. Cells with the ability to form CFU-GM colonies were found after incubation with DT-GM-CSF. To specifically test whether under these conditions CFU-GM that were responsive to GM-CSF only as the inducer of colony formation could survive, the following experiment was performed. Two additional nBM samples were incubated in serum-free liquid cultures in the presence or absence of DT-GM-CSF (100 ng/mL) and the survival of committed progenitor cells was measured using MC cultures in which colony formation was induced using three different conditions, 30% FCS plus G-CSF, IL-3, SCF, Epo and GM-CSF, 30% FCS plus GM-CSF only or GM-CSF only in a serum free MC culture (Fig 3). In the MC cultures supplemented with all GF's a moderate reduction in the number of CFU-C was found, ie, in the order of 25%. No differences in colony numbers were found in cultures supplemented with GM-CSF only, either under serum containing or under serum free conditions. This indicates that after an exposure period for 48 hours equal numbers of GM-CSF responsive CFU-C survive a concentration of DT-GM-CSF sufficient for the elimination of AML progenitor cells including the CFU-AML and the leukemia initiating cell in SCID mice (Table 3).
CFU-GM colony formation in MC cultures after an initial 48-hour period of exposure to DT-GM-CSF (100 ng/mL) of 2 normal BM samples. Culture condition 1 was MC supplemented with GM-CSF, G-CSF, IL-3, SF and Epo in 30% FCS; condition 2 is MC supplemented with FCS 30% and GM-CSF only, condition 3 is MC in SFM with GM-CSF only. The number of CFU-GM surviving in DT-GM-CSF containing medium is expressed relative to the number of CFU-GM that survived in the respective “medium only” control group. (□) sample no. 1; (▪) sample no. 2.
CFU-GM colony formation in MC cultures after an initial 48-hour period of exposure to DT-GM-CSF (100 ng/mL) of 2 normal BM samples. Culture condition 1 was MC supplemented with GM-CSF, G-CSF, IL-3, SF and Epo in 30% FCS; condition 2 is MC supplemented with FCS 30% and GM-CSF only, condition 3 is MC in SFM with GM-CSF only. The number of CFU-GM surviving in DT-GM-CSF containing medium is expressed relative to the number of CFU-GM that survived in the respective “medium only” control group. (□) sample no. 1; (▪) sample no. 2.
L-CAFC frequencies (mean ± SEM) of DT-GM-CSF exposed (l), GM-CSF exposed (m), and control AML cell populations (p). Frequencies are based on the number of input cells.
L-CAFC frequencies (mean ± SEM) of DT-GM-CSF exposed (l), GM-CSF exposed (m), and control AML cell populations (p). Frequencies are based on the number of input cells.
Relative Effect of DT-GM-CSF Exposure on Hemopoietic Progenitors
| . | CFU-GM3-150 . | BFU-E3-150 . | CAFC Wk 23-151 . | CAFC Wk 63-151 . |
|---|---|---|---|---|
| Mean | 90.2 ± 19.2 | 147.6 ± 32.5 | 119.2 ± 32.9 | 113.1 ± 14.8 |
| Range | 73-127 | 100-190 | 76-157 | 88-126 |
| . | CFU-GM3-150 . | BFU-E3-150 . | CAFC Wk 23-151 . | CAFC Wk 63-151 . |
|---|---|---|---|---|
| Mean | 90.2 ± 19.2 | 147.6 ± 32.5 | 119.2 ± 32.9 | 113.1 ± 14.8 |
| Range | 73-127 | 100-190 | 76-157 | 88-126 |
Data represent the mean relative effect as the percentage of control of DT-GM-CSF exposure on normal BM of five individuals.
Mean number of progenitors ± SEM.
Mean number of percentage ± SEM.
Hemopoietic stem cell subsets were evaluated in the CAFC assay (Fig 4) in which the week 2 CAFC correlates with the number of short-term repopulating progenitor cells25 30 and week 6 CAFC correlates with long-term repopulating stem cells. All frequencies of nBM subsets were unchanged after the in vitro DT-GM-CSF exposure. These data indicate that all hemopoietic progenitor cells, including the most primitive ones (week 6 CAFC), escape DT-GM-CSF induced cell kill.
DISCUSSION
Transplantation of AML cells into SCID mice may be used to determine in vivo growth of primitive leukemic cells.19,20,31 In this model we evaluated the sensitivity of human AML progenitor cells to in vitro treatment with DT fused to huGM-CSF. In two out of three AML samples, the long-term repopulating AML cells, defined as the leukemia initiating cells in SCID mice, were reduced in number by DT-GM-CSF. In one of the cases (case B) AML growth in SCID mice was completely prevented by DT-GM-CSF. Although the reduction of AML cell proliferation in case A and B was obvious, exact quantification of SCID mouse transplantation results requires limiting dilution experiments.18 In the L-CAFC assay the DT-GM-CSF induced a reduction in the number of AML cells with long-term abilities (CAFC week 6 to 7), eightfold and 87-fold in case A and B, respectively.
An excess of unlabeled GM-CSF blocked the toxic action of DT-GM-CSF, indicating that leukemic stem cell reduction was mediated by the specific binding of DT-GM-CSF to the GM-CSFR, which is consistent with the specificity observed in experiments with murine GM-CSF fused to DT12 and GM-CSF coupled to saporine.32 This suggests that elimination of the primitive AML cells from case A and B by DT-GM-CSF requires the expression of GM-CSFR's, that are at least able to bind DT-GM-CSF.
The applicability of growth factor toxins in vivo could be limited by side effects to nonleukemic cells bearing the same receptor, eg, cells from the normal hemopoietic system that express GM-CSFR. However, exposure of normal BM to a high dose of DT-GM-CSF for 48 hours did not result in a reduction of the numbers of erythroid (BFU-E), myeloid (CFU-GM), and CAFC week 2 progenitor cells. Moreover, primitive hemopoietic progenitors (CAFC week 6) remained unaffected by high concentrations of DT-GM-CSF.
The survival of BM progenitors that could be induced to form colonies upon stimulation with GM-CSF as the only GF in the serum-free culture medium containing high concentrations of DT-GM-CSF was somewhat surprising. This suggests that the number of receptors that are expressed on the progenitor cells are sufficiently high to induce a growth response, but apparently not high enough to achieve cell killing with DT-GM-CSF. The short duration of the culture ie, 48 hours and because the SFM culture only contains DT-GM-CSF makes it unlikely that the progenitors are derived from the immature stem fraction present in the culture.
In murine hemopoiesis the GM-CSF receptor is expressed on about 55% of the committed progenitor cells and estimated to be in the order of 560 receptors per cell which is about tenfold higher than on mature stem cells33; the GM-CSF-R is not expressed on immature stem cells. On maturing cells of the myeloid and macrophage lineages the number of receptors ranges from 500 to 1,500 which is in the same range as reported for AML blasts.1,4,33 This numerical difference might be the basis for the differential effect of DT-GM-CSF on normal and leukemic stem cells. On the other hand one should not exclude the possiblity that the efficacy of cellular processing of internalized toxins depends on the cellular kinetic activity which might be different for the various stem cell subpopulations. Based on the lack of toxicity induced by the DT-GM-CSF to these cells we conclude that primitive normal hemopoietic progenitor cells do not express functional GM-CSFR, which is consistent with data obtained by others.22,23,32 In addition to leukemic and normal hemopoietic cells, nonhemopoietic tissues might be affected by DT-GM-CSF. High-affinity complexes of the GM-CSFR have been identified on normal endothelial cells.34 Because GM-CSFR are also expressed on tumor cells eg, colon adenocarcinoma cells, small cell lung carcinoma cells, osteogenic sarcoma cells, and breast carcinoma cells,35-37 this might suggest that GM-CSFR is expressed on their normal counter parts. Therefore, it will be essential to evaluate the toxic side effects of DT-GM-CSF in preclinical animal models, as we described earlier.38
DT-GM-CSF could be clinically useful; it may induce sufficient cell kill when applied in vivo, while in vitro autologous BM grafts might be treated. DT-GM-CSF induces AML cell kill via an alternative mechanism than cytostatic drugs. This provides the means to eliminate leukemic cells that are resistant to cytostatic drugs. Experiments with 5-FU25 showed that AML stem cells are resistant to the antimetabolite 5-FU, whereas in the same system a substantial reduction of week 6 CAFC and SCID mouse leukemia initiating cells was observed as a consequence of exposure to DT-GM-CSF. The optimal conditions for the use of DT-GM-CSF and its maximal efficacy have yet to be determined.
In conclusion, these results show that DT-GM-CSF may be utilized to eliminate AML cells with the ability to initiate AML in vivo. The lack of toxicity to normal primitive progenitor cells suggests an exploitable therapeutic window. These preclinical studies warrant further investigations of DT-GM-CSF as a potential therapeutic agent in the treatment of AML.
ACKNOWLEDGMENT
We thank T. Visser for technical assistance and E. van Bodegem for taking care of the mice.
Supported by the Dutch Cancer Society, Grant No. EUR-93-663. The first two authors contributed equally to this manuscript.
Address reprint requests to Anton C.M. Martens, PhD, Institute of Hematology, Room Ee 1393, Erasmus University, PO Box 1738, 3000 DR Rotterdam, The Netherlands.




This feature is available to Subscribers Only
Sign In or Create an Account Close Modal