Key Points
161519 TriKE induces NK cell–mediated killing of primary CD19+ CLL tumor cells while also inducing NK cell proliferation.
161519 TriKE enhances interferon γ production on CLL patient NK cells.
Abstract
Chronic lymphocytic leukemia (CLL) is characterized by chronic clonal expansion of mature CD19-expressing B lymphocytes and global dysfunction of immune effectors, including natural killer (NK) cells. CLL remains incurable, and novel approaches to refractory CLL are needed. Our group has previously described trispecific killer engager (TriKE) molecules that redirect NK cell function against tumor cells. TriKE reagents simultaneously bind an activating receptor on NK cells, CD16, and a tumor antigen while also providing an NK cell expansion signal via an interleukin-15 moiety. Here we developed the novel CD19-targeting 161519 TriKE. We demonstrate that 161519 TriKE induced killing of a CD19-expressing Burkitt’s lymphoma cell line and examined the impact on primary CLL targets using healthy donor and patient NK cells. 161519 TriKE induced potent healthy donor NK cell activation, proliferation, and directed killing. Furthermore, 161519 TriKE rescued the inflammatory function of NK cells obtained from CLL patient peripheral blood samples. Finally, we show that 161519 TriKE induced better directed killing of CLL in vitro when compared with rituximab. In conclusion, 161519 TriKE drives a potent activating and proliferative signal on NK cells, resulting in enhanced NK cell expansion and CLL target killing. Our findings indicate the potential immunotherapeutic value of 161519 TriKE in CLL.
Introduction
Chronic lymphocytic leukemia (CLL) is the most common leukemia in Western countries.1 The biology, genetics, and clinical behavior of this malignancy are highly variable.2 Although recent novel targeted therapies, such as Bruton tyrosine kinase inhibitor ibrutinib, PI3-kinase inhibitor idelalisib, BCL-2 inhibitor venetoclax, and monoclonal antibodies obinutuzumab and ofatumumab, have demonstrated potent antitumor activity and some remarkably prolonged remissions, safer and more effective therapies for refractory CLL are still needed.3 Allogeneic donor transplantation (alloHCT) is the only known therapy with curative potential.3 The graft-versus-leukemia effect facilitated by donor T cells and NK cell effectors often leads to permanent eradication of CLL clones.4 However, alloHCT is often not feasible for CLL patients because of their older age or declining overall fitness.5 Novel therapies with capacity to revert immune dysfunction in CLL patients and harness immune effector–mediated CLL targeting are particularly attractive. CAR T-cell therapies are being explored in this setting, but they are associated with toxicities, and CAR T exhaustion has proven to be a major obstacle in this approach.6,7 Natural killer (NK) cell–based immunotherapies represent an alternative approach to this problem.8 Most CLL patients exhibit low numbers of NK cells compared with healthy individuals, indicating that an NK cell immunotherapeutic approach would have to involve methodologies to drive expansion of a patient’s NK cell population or to add allogeneic NK cells, as well as methodologies to improve NK cell–specific targeting of the tumor.9,10
NK cells are innate immune effectors comprising 5% to 15% of blood lymphocytes that are characterized by expression of CD56 and absence of surface CD3 and B-cell receptors. In their ontogeny, NK cells acquire inhibitory (killer immunoglobulin-like receptors [KIRs] and NKG2A) and activating receptors, which regulate their function.11 NK cells mediate tumor control by secreting inflammatory cytokines that bridge the innate and adaptive immune responses and trigger Fas- or Trail-mediated tumor cell death. NK cells can also directly lyse the tumor via recognition of activating stress ligands on the surface of the tumor that trigger natural cytotoxicity receptors on NK cells or via CD16-mediated recognition of antibody-coated tumors through a process called antibody-dependent cell-mediated cytotoxicity.12,13 CD16, 1 of the most powerful NK-activating receptors, binds the Fc portion of monoclonal antibodies and mediates cytotoxicity by inducing the release of cytotoxic granules containing perforin and granzyme (degranulation) and by inducing production of proapoptotic cytokines like interferon γ (IFNγ) and tumor necrosis factor α.14,15 NK cell function, survival, and proliferation are physiologically regulated and can be therapeutically enhanced by cytokines, particularly interleukin-2 (IL-2) and IL-15.16 Because IL-2 can potently induce regulatory T-cell expansion, recent clinical approaches leveraging NK cell immunotherapy have focused on treatment with different modalities of IL-15.17-20 NK cells in CLL are reported to be hypofunctional, with impaired direct cellular cytotoxicity and cytokine production, a defect that can be partially bypassed by cytokine signaling.21 CLL cells express several pan–B-cell proteins, including CD19, CD22, and CD20, which can be therapeutically targeted with antibodies or cellular therapies such as CAR19 T cells.
Our group has previously designed and described novel trispecific killer engager (TriKE) molecules that induce specific NK cell–mediated killing of tumor targets while also providing a cytokine signal to drive NK cell expansion.22-27 These molecules are composed of 2 single-chain variable fragments (scFvs), 1 engaging the CD16 activating receptor on NK cells and 1 engaging a tumor associated antigen, connected by small linkers and the cytokine IL-15. Here, we describe a novel TriKE targeting the CD19 tumor antigen (termed 161519). We present data on preclinical efficacy of 161519 TriKE in vitro including testing against primary CLL samples using autologous NK cells from patients with CLL and healthy donor NK cells. Our findings indicate that this molecule potently leverages the immunotherapeutic value of NK cells for CLL.
Methods
161519 TriKE construct
A hybrid gene encoding 161519 TriKE was synthesized using DNA shuffling and ligation techniques. The fully assembled gene (from 5′ end to 3′ end) consisted of NcoI restriction site, ATG start codon, anti-human CD16 scFv,28 20–amino acid segment (PSGQAGAAASESLFVSNHAY), N72D-mutated human IL-15,29 7–amino acid linker (EASGGPE), anti-CD19 scFv,30 and XhoI restriction site. The resulting 1914–base pair NcoI/XhoI fragment gene was spliced into the pET28c expression vector under the control of an isopropyl-β-D-thiogalactopyranoside–inducible T7 promoter. DNA sequence has been validated to confirm sequence and location of gene insertion (Biomedical Genomics Center, University of Minnesota, Minneapolis, MN).
TriKE production and isolation
Plasmid was transfected into Escherichia coli strain BL21 (DE3). Culturing and harvest conditions have been previously described.22 The pellet was extracted using a solution of 0.3% deoxycholate, 5% Triton X-100, 10% glycerin, 50 mmol/L of Tris and sodium chloride (NaCl), and 5 mmol/L of EDTA at pH 8.0 and then washed. Refolding procedure was done by first dissolving inclusion bodies in solubilization buffer at a 20:1 ratio and incubating at 37°C. Solubilization buffer consisted of 7 M of guanidine hydrochloride, 50 mM of Tris, 50 mM of NaCl, 5 mM of EDTA, and 50 mM of dithiothreitol at pH 8.0. After incubation, supernatant was harvested and diluted at a 20:1 ratio in refolding buffer (50 mM of Tris and hydrogen chloride [HCl], 50 mM of NaCl, 0.8 mM of L-arginine, 20% glycerin, 5 mM of EDTA, and 1 mM of glutathione disulfide at pH 8.0). This buffer was later removed with 10-fold dialysis using 20 mM of Tris and HCl at pH 9.0 in 20 mM of Tris and HCl at pH 9.0 at 4-column volume. Purification was carried out using a Fast Flow Q ion exchange column in a 3-step elution process as previously described.22-25 Purity was determined running sodium dodecyl sulfate polyacrylamide gel electrophoresis using Simply Blue Life Stain (Invitrogen, Carlsbad, CA). The size of 161519 TriKE was 67.62 kDa.
Cell culture, isolation of NK cells, and patient samples
The cancer cell lines Raji (Burkitt’s lymphoma) and K562 (chronic myelogenous leukemia) were obtained from the American Type Culture Collection. They were maintained in suspension using RPMI 1640 supplemented with 10% fetal bovine serum in 5% carbon dioxide at 37°C.
Peripheral blood mononuclear cells (PBMCs) were isolated from buffy coats of healthy donors obtained by Memorial Blood Bank (Minneapolis, MN) after written consent was provided. PBMCs were separated from blood using density gradient Ficoll-Paque (GE Healthcare), underwent red blood lysis, and then were either used directly or controlled-rate frozen and maintained in liquid nitrogen. NK cell enrichment was carried out by magnetic bead isolation using kits from STEMCELL Technologies (catalog #19055) as suggested by the company’s protocol to enrich NK cell products from fresh buffy coat products.
Viably cryopreserved CLL patient blood samples were obtained through the Translational Therapy Shared Resource of Masonic Cancer Center, University of Minnesota. Use of PBMCs from patients was approved by the Committee on the Use of Human Subjects in Research at the University of Minnesota in accordance with the Declaration of Helsinki.
Real-time tumor cell killing assay
Raji cells were stably transduced using red fluorescent protein NucLight Red lentiviral reagent (Essen Bioscience). NucLight Red Raji target cells were plated into 96-well plates, with caspase 3/7 added at 5 μM per well. Enriched NK cells were added at a 2:1 effector/target ratio, along with the appropriate treatments (at 30 nM for 161519 and rituximab and 0.3 nM for equifunctional concentration of IL-15) and cocultured for 44 hours in RPMI media supplemented with 10% fetal bovine serum. The normalized percentage of live Raji cells was calculated from the number of caspase 3/7− NucLight Red+ target cells acquired using IncuCyte Zoom software, at noted time points (every 15 minutes), normalized against targets alone and against 0 hours in coculture groups. A normalized killing count graph was generated using GraphPad Prism software.
Phenotypic flow cytometry
CLL patient samples and PBMC products from healthy donors were phenotyped for NK cell characteristics with the Live/Dead Fixable Aqua Staining Kit (catalog #L-34966; Thermo Fisher Scientific), to gate on live cells, and the following fluorochrome-conjugated antibodies: phycoerythrin (PE)-Cy7–conjugated CD56 (clone HCD56; BioLegend); PE-CF594–conjugated CD3 (clone UCHT1; BD Biosciences); APC-Cy7–conjugated CD16 (clone 3G8; BioLegend); Pacific Blue–conjugated CD57 (clone HCD57; BioLegend); PE-conjugated KIRs CD158, CD158b, and CD158e1 (clones HP-MA4, DX27, and DX9, respectively; BioLegend); and APC-conjugated CD159a (NKG2a; clone Z199; Beckman Coulter). NK cells were identified as CD56+/CD3−/live cells and gated into CD56 brights and CD56 dims. Cells were run on LSRII (BD Biosciences) for 60 seconds per sample, analyzed via FlowJo software (Tree Star Inc.), and graphed on GraphPad Prism software.
Proliferation assay
Enriched NK cells were labeled using CellTrace Violet Cell Proliferation Kit (catalog #C34557; Thermo Fisher Scientific) according to the company’s protocol. The cells were incubated for 7 days with noted treatments (0.5 nM for IL-15 and 50 nM for the rest); 50 nM was used instead of 30 nM because of the length of the assay to preserve stability in vitro. Cells were stained with CD56, CD3, and Live/Dead Near IR (catalog #L34976; Thermo Fisher Scientific). The CD56+/CD3−/live NK cells were then measured for the amount of CellTrace diluted.
CD107a degranulation and IFNγ cytokine production assay
PBMCs and CLL patient cells were plated overnight and then cocultured for 4 hours with target cells (Rajis, K562s, or CLL patient cells) at an effector/target ratio of 2:1 with the noted treatments (30 nM for everything but IL-15 [used at equifunctional 0.3 nM]). Alternatively, enriched NK cells were plated and incubated overnight with treatments (30 nM for everything but IL-15 [used at 0.3 nM]) and washed in the morning before incubation with target cells at a 2:1 ratio, followed by replenishment of treatments. FITC-conjugated anti-CD107a (clone H4A3; BioLegend), used to evaluate NK cell degranulation, was added at the start of the 4-hour incubation period. After a 1-hour incubation, Golgi Stop and Golgi Plug (BD Biosciences) were added for the last 3 hours. At the end of the 4 hours, the cells were stained using the Live/Dead Fixable Aqua Staining Kit (Thermo Fisher Scientific), surface stained with anti-CD56 and anti-CD3, fixed with 2% paraformaldehyde, and permeabilized with intracellular staining buffer (BioLegend). The cells were then stained for BV650-conjugated IFNγ (clone 4S.B3; BioLegend).
Flow-based killing assay
CLL patient cells were labeled using CellTrace Violet dye (Thermo Fisher Scientific). Enriched NK cells were incubated with noted treatments (30 nM for everything but IL-15 [used at 0.3 nM]) in a 96-well plate for 18 hours. After the incubation period, NK cells were washed and then cocultured with CellTrace-labeled target cells at a 2:1 effector/target ratio. Immediately after the addition of target cells, the wells were replenished with the noted treatments. After 4 hours of incubation, cells were harvested and stained with BV785-conjugated CD19 (clone HIB19; BioLegend), APC-conjugated CD5 (clone UCHT2; BioLegend), and Live/Dead Near IR. The killing percentage was obtained by calculating the percentage of CellTrace+/CD19+/CD5+/dead cells in treatment groups vs effectors plus CLL targets alone (baseline/no treatment).
Statistical analysis
Statistical tests were conducted using GraphPad Prism (GraphPad Prism Software, Inc., La Jolla, CA).
Results
NK cells from CLL patients exhibit diminished maturation and cytokine production
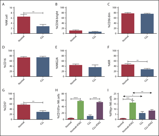
To explore the level of NK cell dysfunction in CLL patients, we compared NK cells from 9 patients with CLL with NK cells from 9 healthy donors. The frequency of circulating NK cells was 2.3-fold lower in CLL patients compared with healthy participants (Figure 1A). Expression of maturation markers such as CD56 bright, CD56 dim, CD16, and NKG2A was similar between CLL patient NK cells and healthy donors NK cells (Figure 1B-E). In contrast, expression of receptors associated with later stages of NK cell maturation, such as KIR and CD57, was decreased in CLL patient cells compared with healthy donor cells (Figure 1F-G). NK cell cytotoxicity against K562 targets measured by NK cell degranulation was similar in CLL patient NK cells and healthy donor NK cells (Figure 1H); however, unlike healthy donor NK cells, those from CLL patients showed no increase in IFNγ production upon encountering K562 targets (Figure 1I). This defect was accompanied by a higher baseline IFNγ production on NK cells from CLL patients. In summary, these data indicate that NK cells from CLL patients are less abundant and exhibit developmental and functional defects, including impaired cytokine production; however, the normal expression of CD16 suggests preserved capacity to degranulate in response to CD16 ligation.
Phenotypic and functional characteristics of CLL patient vs healthy donor NK cells. Frozen PBMCs obtained from CLL patients (n = 9) and healthy donors (n = 9) were thawed and rested overnight and then used for flow cytometric analysis. (A) Pooled data showing proportion of CD56+/CD3− NK cells within the lymphocyte gate in CLL patients vs healthy donors. While gating on NK cells, further subgating was carried out to evaluate the proportions of CD56bright (B) vs CD56dim (C) NK cells, as well as the proportions of NK cells expressing CD16 (D), NKG2A (E), KIR (F), and CD57 (G). NK cell degranulation via CD107a expression (H) and IFNγ production (I) were evaluated in CLL patient samples and healthy donors upon triggering natural cytotoxicity by incubation with K562 targets (n = 9 for CLL and for healthy donors, respectively). (A-G,I) Unpaired Student t test used for comparison between CLL samples and normal donor samples. (H-I) Paired Student t test used for internal group comparisons. Error bars indicate the mean ± standard error of the mean. Statistical significance are determined as *P < .05, **P < .01, ***P < .001, and ****P < .0001.
Phenotypic and functional characteristics of CLL patient vs healthy donor NK cells. Frozen PBMCs obtained from CLL patients (n = 9) and healthy donors (n = 9) were thawed and rested overnight and then used for flow cytometric analysis. (A) Pooled data showing proportion of CD56+/CD3− NK cells within the lymphocyte gate in CLL patients vs healthy donors. While gating on NK cells, further subgating was carried out to evaluate the proportions of CD56bright (B) vs CD56dim (C) NK cells, as well as the proportions of NK cells expressing CD16 (D), NKG2A (E), KIR (F), and CD57 (G). NK cell degranulation via CD107a expression (H) and IFNγ production (I) were evaluated in CLL patient samples and healthy donors upon triggering natural cytotoxicity by incubation with K562 targets (n = 9 for CLL and for healthy donors, respectively). (A-G,I) Unpaired Student t test used for comparison between CLL samples and normal donor samples. (H-I) Paired Student t test used for internal group comparisons. Error bars indicate the mean ± standard error of the mean. Statistical significance are determined as *P < .05, **P < .01, ***P < .001, and ****P < .0001.
161519 TriKE efficiently drives NK cell activation against a B-cell lymphoma cell line
To target CLL, we generated a novel TriKE, termed 161519 (Figure 2A), containing an scFv against CD16, IL-15 cytokine, and an scFv against CD19 as described.25,31 Before functionally testing the TriKE, we evaluated the activity of the IL-15 moiety in 161519 TriKE using a 48-hour bioassay and discovered that IL-15 activity in 161519 TriKE was 100-fold lower than in monomeric IL-15 (supplemental Figure 1A). Therefore, all assays used equifunctional IL-15. When healthy donor PBMCs were incubated for 4 hours with 161519 TriKE in the absence of CD19+ targets, low levels of NK cell CD107a degranulation and little to no intracellular IFNγ were induced (Figure 2B-C). The low basal induction of degranulation was similar to that seen by incubation with equimolar amounts of the anti-CD20 monoclonal antibody rituximab or anti-CD16/CD19 bispecific killer engager (BiKE),31 lacking the IL-15 moiety. To model the effect of these different treatments on CD19/CD20+-expressing B-cell malignancies, we used the Raji (Burkitt’s lymphoma) cell line. Incubation of PBMCs for 4 hours with Raji cells in the presence of 161519 TriKE, rituximab, or 1619 BiKE induced significantly higher NK cell degranulation compared with no drug or equifunctional amounts of monomeric IL-15 (Figure 2D). NK degranulation in the presence of Raji targets was similar among 161519 TriKE, 1619 BiKE, and rituximab; however, IFNγ production was significantly higher with TriKE treatment (Figure 2E). Addition of equifunctional amounts of IL-15 to rituximab or 1619 treatments mitigated the differential in IFNγ production (supplemental Figure 1B).
Functional validation of 161519 TriKE. (A) Simplified schema of 161519 TriKE construct, cloned into the pET28c vector via NcoI and XhoI restriction sites. The construct consists of 3 arms: an anti-CD16 scFv arm, IL-15 arm, and anti-CD19 scFv arm joined by 2 linkers (HMA and EASGGPE). Frozen PBMCs from healthy donors (n = 6) were incubated with noted treatments (30 nM for everything but IL-15 [used at 0.3 nM]) to evaluate background CD107a expression (degranulation) (B) or intracellular IFNγ production (C) on CD56+/CD3− NK cells in a 4-hour assay. CD107a expression (D) and intracellular IFNγ (E) were also evaluated under the same conditions as stated before on NK cells within the PBMCs but in the presence of Raji targets at a 2:1 effector/target ratio. To evaluate the priming effects of the molecules on NK cells before target encounter, noted treatments (30 nM for everything but IL-15 [used at 0.3 nM]) were incubated overnight with enriched NK cells, and then CD107a (F) or IFNγ (G) was assessed after a 4-hour coculture with Raji targets on the next day (n = 5). One-way analysis of variance (ANOVA) with repeated measures was used to calculate differences against the 161519 group. Error bars indicate the mean ± standard error of the mean. Statistical significance are determined as *P < .05, **P < .01, ***P < .001, and ****P < .0001. NT, no treatment; Ritux, rituximab.
Functional validation of 161519 TriKE. (A) Simplified schema of 161519 TriKE construct, cloned into the pET28c vector via NcoI and XhoI restriction sites. The construct consists of 3 arms: an anti-CD16 scFv arm, IL-15 arm, and anti-CD19 scFv arm joined by 2 linkers (HMA and EASGGPE). Frozen PBMCs from healthy donors (n = 6) were incubated with noted treatments (30 nM for everything but IL-15 [used at 0.3 nM]) to evaluate background CD107a expression (degranulation) (B) or intracellular IFNγ production (C) on CD56+/CD3− NK cells in a 4-hour assay. CD107a expression (D) and intracellular IFNγ (E) were also evaluated under the same conditions as stated before on NK cells within the PBMCs but in the presence of Raji targets at a 2:1 effector/target ratio. To evaluate the priming effects of the molecules on NK cells before target encounter, noted treatments (30 nM for everything but IL-15 [used at 0.3 nM]) were incubated overnight with enriched NK cells, and then CD107a (F) or IFNγ (G) was assessed after a 4-hour coculture with Raji targets on the next day (n = 5). One-way analysis of variance (ANOVA) with repeated measures was used to calculate differences against the 161519 group. Error bars indicate the mean ± standard error of the mean. Statistical significance are determined as *P < .05, **P < .01, ***P < .001, and ****P < .0001. NT, no treatment; Ritux, rituximab.
To evaluate the priming effect of the IL-15 moiety in 161519 TriKE on NK cell activation, NK cells were enriched with magnetic beads and incubated overnight alone or with IL-15, 1619 BiKE, rituximab, or 161519 TriKE. The next day, fresh reagents were added, and NK cells were cocultured for 4 hours with Raji targets. 161519 TriKE induced a significant increase in NK cell degranulation, measured by a higher proportion of CD107a-expressing cells with 161519 TriKE (84% ± 2.2%) compared with rituximab (60% ± 5.7%), 1619 BiKE (49% ± 5.7%), or IL-15 alone and at least a 3.5-fold increase in IFNγ-producing NK cells when compared with rituximab, 1619 BiKE, or controls (Figure 2F-G). As with the 4-hour incubation, addition of equifunctional amounts of IL-15 to rituximab or 1619 treatments overnight mitigated the differential in IFNγ production (supplemental Figure 1C). These data indicate that 161519 TriKE can induce substantial healthy donor NK cell activation against CD19-expressing tumor targets.
161519 TriKE induces NK cell proliferation
TriKE molecules containing the IL-15 moiety are endowed with the critical ability to drive NK cell expansion and maintenance. To examine the capacity of 161519 TriKE to induce NK cell proliferation, enriched CellTrace-labeled NK cells were exposed to monomeric IL-15 (equifunctional), 1619 BiKE, rituximab, or 161519 TriKE for a week, and CellTrace dilution was evaluated by flow cytometry. 161519 TriKE induced robust proliferation, which was similar to equifunctional monomeric IL-15, indicating the functional capacity of the IL-15 moiety within TriKE (Figure 3A-B). In contrast, 1619 BiKE and rituximab did not induce proliferation. Because IL-15 also sustains NK cell survival, NK cell viability was evaluated after a week of treatment. 161519 TriKE treatment resulted in better survival than treatment with 1619 BiKE or rituximab or no treatment and similar viability to that induced by equifunctional monomeric IL-15 (Figure 3C-D). The 161519 TriKE and IL-15 groups had greater than fourfold higher numbers than the no treatment, 1619 BiKE, and rituximab groups after a week of treatment (Figure 3E). To evaluate the specificity of 161519 TriKE, PBMCs were CellTrace labeled to determine proliferation of NK cells and T cells treated with 161519 or IL-15 with or without 1619 or rituximab (supplemental Figure 1D). The data clearly indicate that all treatments induce NK cell proliferation, but 161519 treatment induces reduced proliferation of T cells compared with uncoupled IL-15.
Unlike rituximab, 161519 TriKE induces potent NK cell proliferation and survival. NK cells were enriched from fresh healthy donor samples (n = 6), CellTrace Violet labeled, and incubated for 7 days with 161519 TriKE or control treatments at 50 nM (for everything but IL-15 [used at 0.5 nM]) concentration. After the incubation period, wells were harvested, and NK cells were evaluated by flow cytometry. Pooled data (A) and representative histograms (B) showing NK cell proliferation (by CellTrace dilution) on the different treatment groups. Pooled NK cell viability (C) and representative histograms (D) showing cell death (by incorporation of Live/Dead Near IR dye) on the different treatment groups. (E) Pooled NK cell count (60 seconds at constant speed) at the time of harvest. One-way ANOVA with repeated measures was used to calculate differences against the 161519 group. Error bars indicate the mean ± standard error of the mean. Statistical significance are determined as *P < .05 and ***P < .001.
Unlike rituximab, 161519 TriKE induces potent NK cell proliferation and survival. NK cells were enriched from fresh healthy donor samples (n = 6), CellTrace Violet labeled, and incubated for 7 days with 161519 TriKE or control treatments at 50 nM (for everything but IL-15 [used at 0.5 nM]) concentration. After the incubation period, wells were harvested, and NK cells were evaluated by flow cytometry. Pooled data (A) and representative histograms (B) showing NK cell proliferation (by CellTrace dilution) on the different treatment groups. Pooled NK cell viability (C) and representative histograms (D) showing cell death (by incorporation of Live/Dead Near IR dye) on the different treatment groups. (E) Pooled NK cell count (60 seconds at constant speed) at the time of harvest. One-way ANOVA with repeated measures was used to calculate differences against the 161519 group. Error bars indicate the mean ± standard error of the mean. Statistical significance are determined as *P < .05 and ***P < .001.
161519 TriKE exhibits better tumor killing than rituximab in a longitudinal killing assay
Although previous assays showed the effect of 161519 TriKE on NK cell degranulation (Figure 2), we employed a longitudinal imaging killing assay to evaluate direct tumor cell killing. Compared with rituximab and other groups, 161519 TriKE induced more killing clusters, composed of NK cells, live Raji cells, and dying Raji cells at later time points (Figure 4A). The compiled data indicate that both 161519 TriKE and rituximab treatments induced similar tumor cell killing early on (6-hour time point), but 161519 TriKE induced the highest level of Raji killing after 12 hours compared with rituximab, suggesting augmented function that can be attributed to the IL-15 moiety (Figure 4B). Although it could be argued that the differences in function against the targets are mediated by increased expansion driven by TriKE, it is important to note that NK cells have a doubling time of >24 hours,32 indicating that differences in tumor killing driven by antibody-dependent cell-mediated cytotoxicity within the first 24 hours are likely driven by differences in IL-15 priming between 161519 TriKE compared with rituximab.
161519 TriKE induces more tumor killing than rituximab in real-time 2-day imaging assay. Enriched NK cells were incubated with NucLight Red–transduced Raji cells at a 2:1 effector-to-target ratio with the noted treatments (30 nM for everything but IL-15 [used at 0.3 nM]) for 44 hours within an IncuCyte Zoom imager. Dead Raji cells were measured as caspase 3/7+ (green)/NucLight Red+ cells. (A) Representative images (original magnification ×4: 2.82 μm/pixel) at 0, 18, and 36 hours showing Raji cells (larger red cells) and NK cells (smaller black cells). Arrows point to killing clusters where dying Raji cells (yellow) are apparent. (B) Quantification of the percentage of live Raji tumor targets (Nuclight Red+/caspase 3/7−) normalized to targets alone and the 0-hour time point. Readings were taken every 15 minutes over a 44-hour period. Representative of 4 separate experiments.
161519 TriKE induces more tumor killing than rituximab in real-time 2-day imaging assay. Enriched NK cells were incubated with NucLight Red–transduced Raji cells at a 2:1 effector-to-target ratio with the noted treatments (30 nM for everything but IL-15 [used at 0.3 nM]) for 44 hours within an IncuCyte Zoom imager. Dead Raji cells were measured as caspase 3/7+ (green)/NucLight Red+ cells. (A) Representative images (original magnification ×4: 2.82 μm/pixel) at 0, 18, and 36 hours showing Raji cells (larger red cells) and NK cells (smaller black cells). Arrows point to killing clusters where dying Raji cells (yellow) are apparent. (B) Quantification of the percentage of live Raji tumor targets (Nuclight Red+/caspase 3/7−) normalized to targets alone and the 0-hour time point. Readings were taken every 15 minutes over a 44-hour period. Representative of 4 separate experiments.
161519 TriKE potentiates in vitro autologous CLL NK cell function and allogeneic NK cell function against CLL tumors
To evaluate the effect of 161519 TriKE on NK cells from CLL patients, CLL patient PBMCs were cultured with Raji targets for 4 hours, and NK function with different treatments was evaluated by flow cytometry. Although all treatments exhibited increased NK cell degranulation when compared with controls (Figure 5A), 161519 TriKE was the only treatment that significantly elevated IFNγ production of NK cells from CLL patients against Raji targets compared with lower IFNγ levels with 1619 BiKE or rituximab treatments (Figure 5B). Thus, the 161519 TriKE treatment reverted some of the cytokine response defects noted in CLL patient NK cells (Figure 1I). To evaluate if 161519 TriKE could be applied with an allogeneic infusion or in a transplantation setting, healthy donor NK cells were enriched, incubated with noted treatments overnight, and then washed and placed in culture with CellTrace-labeled CLL targets in the presence of noted treatments for 4 hours, and NK cell function was evaluated on the CellTrace− healthy donor NK cells. In this allogeneic setting, 161519 TriKE induced better degranulation and IFNγ production than rituximab, 1619 BiKE, equifunctional IL-15, or no treatment (Figure 5C-D). These data indicate that 161519 TriKE displays a functional advantage in the autologous and allogeneic settings.
161519 TriKE amplifies NK cell function in autologous and allogeneic in vitro settings. PBMCs obtained from CLL patients (n = 5) were cultured with Raji target cell line (2:1 effector-to-target ratio) for a 4-hour period in the presence of treatment conditions at 30 nM (for everything but IL-15 [used at 0.3 nM]). NK cells were determined by CD56+/CD3− expression and degranulation, and IFNγ production was assessed. (A) Pooled data showing CD107a expression on NK cells from CLL patient samples incubated in the presence of Raji targets. (B) Pooled data showing intracellular IFNγ expression on NK cells from CLL patient samples incubated in the presence of Raji targets. To evaluate 161519 TriKE in an allogeneic setting, enriched allogeneic NK cells from healthy donors were incubated with noted molecules (30 nM for everything but IL-15 [used at 0.3 nM]) for 18 hours, washed, and then placed in culture alone or cocultured with CellTrace-labeled CLL patient cells (2:1 effector-to-target ratio) for a 4-hour period with outlined treatment conditions added again at a 30 nM (for everything but IL-15 [used at 0.3 nM]) concentration (n = 17; 2 experiments with 2-3 NK donors against 3-4 CLL targets). CellTrace dye was used to be able to distinguish healthy donor–enriched NK cells from CLL patient NK cells. (C) CD107a expression on CellTrace− NK cells cultured with CLL patient cells. (D) Intracellular IFNγ production on CellTrace− NK cells cultured with CLL patient cells. One-way ANOVA with repeated measures was used to calculate differences against the 161519 group. Error bars indicate the mean ± standard error of the mean. Statistical significance are determined as *P < .05, **P < .01, ***P < .001, and ****P < .0001.
161519 TriKE amplifies NK cell function in autologous and allogeneic in vitro settings. PBMCs obtained from CLL patients (n = 5) were cultured with Raji target cell line (2:1 effector-to-target ratio) for a 4-hour period in the presence of treatment conditions at 30 nM (for everything but IL-15 [used at 0.3 nM]). NK cells were determined by CD56+/CD3− expression and degranulation, and IFNγ production was assessed. (A) Pooled data showing CD107a expression on NK cells from CLL patient samples incubated in the presence of Raji targets. (B) Pooled data showing intracellular IFNγ expression on NK cells from CLL patient samples incubated in the presence of Raji targets. To evaluate 161519 TriKE in an allogeneic setting, enriched allogeneic NK cells from healthy donors were incubated with noted molecules (30 nM for everything but IL-15 [used at 0.3 nM]) for 18 hours, washed, and then placed in culture alone or cocultured with CellTrace-labeled CLL patient cells (2:1 effector-to-target ratio) for a 4-hour period with outlined treatment conditions added again at a 30 nM (for everything but IL-15 [used at 0.3 nM]) concentration (n = 17; 2 experiments with 2-3 NK donors against 3-4 CLL targets). CellTrace dye was used to be able to distinguish healthy donor–enriched NK cells from CLL patient NK cells. (C) CD107a expression on CellTrace− NK cells cultured with CLL patient cells. (D) Intracellular IFNγ production on CellTrace− NK cells cultured with CLL patient cells. One-way ANOVA with repeated measures was used to calculate differences against the 161519 group. Error bars indicate the mean ± standard error of the mean. Statistical significance are determined as *P < .05, **P < .01, ***P < .001, and ****P < .0001.
161519 TriKE amplifies NK cell–mediated killing of CLL patient tumor cells
It is important to measure primary CLL killing; therefore, a novel in vitro assay was developed to address the question. Because CLL patient blood displays a heterogeneous B-cell population, comprising both CLL cells and normal B cells, the IncuCyte Zoom killing assay could not be used in this setting. To that end, we designed a flow cytometry–based assay where CLL cells were CellTrace labeled and coincubated for 4 hours with indicated treatments and healthy donor allogeneic NK cells, which had been preprimed overnight with said treatments. The 4-hour time point was selected because it is commonly used for NK cell chromium release killing assays, and it matches the degranulation and inflammatory cytokine production experiments using CLL targets (Figures 5C-D). Cells were then harvested, and CLL tumor target killing with each treatment was evaluated by gating on CellTrace+/CD19+/CD5+ cells, evaluating the proportion of remaining live cells in comparison with baseline killing of NK cells with tumor targets alone (Figure 6). Our data indicate that in this NK cell–driven allogeneic assay, 161519 TriKE was superior to rituximab-mediated killing, inducing greater than sixfold more powerful killing. Taken together, these findings show that 161519 TriKE can improve on rituximab-based NK cell–mediated tumor killing approaches by costimulation through the IL-15 moiety.
161519 TriKE induces stronger NK cell–mediated killing of CLL patient tumor cells. Enriched allogeneic NK cells from healthy donors were incubated with noted molecules (30 nM for everything but IL-15 [used at 0.3 nM]) for 18 hours, washed, and then cocultured with CellTrace-labeled CLL targets in the presence of fresh noted treatments for a 4-hour period (n = 17; 2 experiments with 2-3 NK donors against 3-4 CLL targets). After the incubation period, CLL tumor cells were identified as CellTrace+/CD19+/CD5+ cells. Flow chart outlines the gating schema used to measure live target CLL cell percentage. Killing percentage was then calculated from live target cell percentage. NT denotes NK cells incubated with CLL targets without any molecules added and is used as a baseline of killing. One-way ANOVA with repeated measures was used to calculate differences against the 161519 group. Error bars indicate the mean ± standard error of the mean. Statistical significance are determined as ****P < .0001.
161519 TriKE induces stronger NK cell–mediated killing of CLL patient tumor cells. Enriched allogeneic NK cells from healthy donors were incubated with noted molecules (30 nM for everything but IL-15 [used at 0.3 nM]) for 18 hours, washed, and then cocultured with CellTrace-labeled CLL targets in the presence of fresh noted treatments for a 4-hour period (n = 17; 2 experiments with 2-3 NK donors against 3-4 CLL targets). After the incubation period, CLL tumor cells were identified as CellTrace+/CD19+/CD5+ cells. Flow chart outlines the gating schema used to measure live target CLL cell percentage. Killing percentage was then calculated from live target cell percentage. NT denotes NK cells incubated with CLL targets without any molecules added and is used as a baseline of killing. One-way ANOVA with repeated measures was used to calculate differences against the 161519 group. Error bars indicate the mean ± standard error of the mean. Statistical significance are determined as ****P < .0001.
Discussion
Novel immunotherapies in CLL will need to overcome the exhausted immune system and be target specific to be highly effective. Here, we report the first preclinical study using a novel CD19-targeted TriKE reagent that restores function of NK cells in CLL. We demonstrated the capacity of 161519 TriKE to revert inflammatory dysfunction in CLL and harness NK immune effector–mediated CLL killing.
Our group has previously reported on TriKE molecules targeting a number of tumor antigens, including a TriKE targeting CD33 (161533), which will be shortly tested in a phase 1 clinic trial (NCT03214666).33 Using primary CLL targets, our data confirm effective elimination of CD19-expressing targets and reversal of CLL patient NK cell IFNγ dysfunction, important in inducing adaptive immune responses, with a novel 161519 TriKE. Although target specificity is important for NK therapeutics, the absolute NK cell numbers may be critical for clinical efficacy. We demonstrate that the IL-15 moiety of 161519 TriKE delivers a powerful proliferative signal to NK cells, driving NK cell expansion. Our experimental testing provides the basis to explore efficacy of 161519 TriKE in clinical trials.
The data presented here support a prior report of NK cell hyporesponsiveness and defective NK cell maturation observed in patients with CLL, including comparisons between monozygotic twins.9 Both studies showed NK cell defects in CLL patients. Of importance, we evaluated CD16 expression and found no difference between healthy donor NK cells and CLL patient NK cells. This is important, because 161519 TriKE activity is dependent on ligation of the CD16 receptor. Unlike the previous study, we noted an important defect in inflammatory cytokine secretion on NK cells from CLL patients, which was abrogated by 161519 TriKE, likely through costimulation induced by the IL-15 moiety.23,34 The IL-15 moiety in 161519 TriKE may also overcome the survival defect noted in CLL patient NK cells described in the previous study.9 Overall our experiments suggest that the 161519 TriKE reagent can restore defects present in NK cells from CLL patients.
In terms of clinical application, the reagent we developed differs significantly from rituximab not only in type of target (CD19 vs CD20) but also in mechanism of action. The most significant difference is the IL-15 moiety within TriKE, which enhances specific NK cell expansion and activation. Given the quantitative and qualitative defects in NK cells from CLL patients, this quality may be critical for clinical efficacy. Augmented IL-15 function in the context of the anti-CD16 and anti-CD19 scFv arms within the 161519 TriKE molecule is notable in comparison with exogenous IL-15 alone, which does not mediate the same effect.17-20 As our data show, simple priming with IL-15 alone does not induce nearly as much tumor killing (Raji or primary CLL). Combination approaches using an IL-15 superagonist (ALT-803) and rituximab were recently presented at the American Association of Cancer Research annual meeting, showing exciting responses against relapsed or refractory indolent non-Hodgkin’s lymphoma (NCT02384954). However, tumor-specific localization of IL-15 may be relevant in clinical applications, and TriKE will likely limit the systemic immune off-target toxicities of IL-15 in patients by homing it specifically to NK cells via the anti-CD16 arm.20,25
CLL patients with refractory disease have limited therapeutic options. AlloHCT and CAR19 T-cell approaches have both shown promise in CLL and conceptually demonstrated curative effects of cellular therapy; however, both are highly complex individualized procedures that can be associated with substantial morbidity and mortality.35 In addition, their application is restricted to patients without major comorbidities and is limited by autologous CAR T-cell exhaustion and toxicities.7,36 By triggering an endogenous NK cell response, which displays a less toxic profile than T-cell responses, 161519 TriKE offers a potentially valuable off-the-shelf alternative to CAR T-cell therapies that could be used alone or in combination with adoptive NK cell therapy. Therefore, we propose that 161519 TriKE should be further evaluated as a treatment of refractory CLL patients in settings where there are no satisfactory therapeutic alternatives.
The full-text version of this article contains a data supplement.
Acknowledgments
The authors acknowledge the Flow Cytometry Core and the Translational Therapy Laboratory at the University of Minnesota for excellent service and technical support.
This work was supported by the US Department of Defense (CA150085) (M.F.), the National Cancer Institute, National Institutes of Health (P01 CA111412 and P01 CA65493) (M.F. and J.S.M.), and the University of Minnesota Foundation Nelson/Bachanova CLL Fund.
GT Biopharma has licensed the TriKE platform from the University of Minnesota, but no funds from GT Biopharma were used for any aspect of this study.
Authorship
Contribution: Scientific concepts and design of research studies were conceived by M.F., D.A.V., J.S.M., and V.B.; experiments and data acquisition were conducted by B.K., P.H., and M.F.K.; and the manuscript was written and edited by M.F., B.K., S.C., D.J.W., D.A.V., J.S.M., and V.B.
Conflict-of-interest disclosure: M.F., J.S.M., and D.A.V. receive consulting honoraria from GT Biopharma. The remaining authors declare no competing financial interests.
Correspondence: Martin Felices, Division of Hematology, Oncology, and Transplantation, University of Minnesota, 420 Delaware St SE, Mayo Mail Code 806, Minneapolis, MN 55455; e-mail: mfelices@umn.edu.


![Figure 2. Functional validation of 161519 TriKE. (A) Simplified schema of 161519 TriKE construct, cloned into the pET28c vector via NcoI and XhoI restriction sites. The construct consists of 3 arms: an anti-CD16 scFv arm, IL-15 arm, and anti-CD19 scFv arm joined by 2 linkers (HMA and EASGGPE). Frozen PBMCs from healthy donors (n = 6) were incubated with noted treatments (30 nM for everything but IL-15 [used at 0.3 nM]) to evaluate background CD107a expression (degranulation) (B) or intracellular IFNγ production (C) on CD56+/CD3− NK cells in a 4-hour assay. CD107a expression (D) and intracellular IFNγ (E) were also evaluated under the same conditions as stated before on NK cells within the PBMCs but in the presence of Raji targets at a 2:1 effector/target ratio. To evaluate the priming effects of the molecules on NK cells before target encounter, noted treatments (30 nM for everything but IL-15 [used at 0.3 nM]) were incubated overnight with enriched NK cells, and then CD107a (F) or IFNγ (G) was assessed after a 4-hour coculture with Raji targets on the next day (n = 5). One-way analysis of variance (ANOVA) with repeated measures was used to calculate differences against the 161519 group. Error bars indicate the mean ± standard error of the mean. Statistical significance are determined as *P < .05, **P < .01, ***P < .001, and ****P < .0001. NT, no treatment; Ritux, rituximab.](https://ash.silverchair-cdn.com/ash/content_public/journal/bloodadvances/3/6/10.1182_bloodadvances.2018029371/2/m_advances029371f2.png?Expires=1769088137&Signature=rVjjH0lx1zl0gYMbDmDTzCLDGOGZRnHUwor5fW48qhb7T2LcFEZbftzg6gluugtpcDEgmEA0qm8lD0bqC8P3HbNH3BpMXi2Ll1j-ndm0HJV5Fx2tMil2TWkQy1spmANvBVCtt27yIunUVhYBSvQjEg0KDEImFeEpuxwBmuIZP9yQUvxMSVQQCNsXaPBpipGV~SAUvKtLI5BPT-AEzrhOyK4rid~F-exb~0mzeCIPiNhMjvMW6UTMGOEnit99guKpeOCWHbou2XJVCYwyeg~UQNrt7reGvgmd~jm3dTJ0x2aGq5pgIZbp-kDqb58rg48aw7Tkrdv2w~2Za93b~~q5Sw__&Key-Pair-Id=APKAIE5G5CRDK6RD3PGA)
![Figure 3. Unlike rituximab, 161519 TriKE induces potent NK cell proliferation and survival. NK cells were enriched from fresh healthy donor samples (n = 6), CellTrace Violet labeled, and incubated for 7 days with 161519 TriKE or control treatments at 50 nM (for everything but IL-15 [used at 0.5 nM]) concentration. After the incubation period, wells were harvested, and NK cells were evaluated by flow cytometry. Pooled data (A) and representative histograms (B) showing NK cell proliferation (by CellTrace dilution) on the different treatment groups. Pooled NK cell viability (C) and representative histograms (D) showing cell death (by incorporation of Live/Dead Near IR dye) on the different treatment groups. (E) Pooled NK cell count (60 seconds at constant speed) at the time of harvest. One-way ANOVA with repeated measures was used to calculate differences against the 161519 group. Error bars indicate the mean ± standard error of the mean. Statistical significance are determined as *P < .05 and ***P < .001.](https://ash.silverchair-cdn.com/ash/content_public/journal/bloodadvances/3/6/10.1182_bloodadvances.2018029371/2/m_advances029371f3.png?Expires=1769088137&Signature=kbkvgsyJieHx1FQzXTQgWCcvM78ZM6X1A1L1E7g8WpN-C3H9znGav3sAIZj-vKm2MA9avspHGOC3NZjbv0sJ9v~82ScDnR1L29qfh2MM7AhK6xfSRGrZuss7~CYzM3mpusMpThKAsjHi~i7kPQhVdPxjSd9uji87X9LRDCQVulhLqvJ7WvBoCCo2o4HwI1o0nIHalPm7z4wnzbA1bOruiX3b1lSPO8yoa~D4lr57HHxXcoQdki266-OSF4gCHttHcEBvTz918BDlJDrTAk3mmNcKOh3tpETyZumI41hnA1FepJ-CZ~otWKApIHJUncWqCLHj9~d3ZCX~YArtIQ~dDg__&Key-Pair-Id=APKAIE5G5CRDK6RD3PGA)
![Figure 4. 161519 TriKE induces more tumor killing than rituximab in real-time 2-day imaging assay. Enriched NK cells were incubated with NucLight Red–transduced Raji cells at a 2:1 effector-to-target ratio with the noted treatments (30 nM for everything but IL-15 [used at 0.3 nM]) for 44 hours within an IncuCyte Zoom imager. Dead Raji cells were measured as caspase 3/7+ (green)/NucLight Red+ cells. (A) Representative images (original magnification ×4: 2.82 μm/pixel) at 0, 18, and 36 hours showing Raji cells (larger red cells) and NK cells (smaller black cells). Arrows point to killing clusters where dying Raji cells (yellow) are apparent. (B) Quantification of the percentage of live Raji tumor targets (Nuclight Red+/caspase 3/7−) normalized to targets alone and the 0-hour time point. Readings were taken every 15 minutes over a 44-hour period. Representative of 4 separate experiments.](https://ash.silverchair-cdn.com/ash/content_public/journal/bloodadvances/3/6/10.1182_bloodadvances.2018029371/2/m_advances029371f4.png?Expires=1769088137&Signature=y7w6ijesIWb~G6bf6V9s61Impe4FqNbHY97s1fh0sJyjKU25tKv3v3tsYTJ-wz0wHvQXBFXJBfKVaWXaHr5V9OybqiO5Jj-~LA9aP84jVs~JFPhaO2HcOOr6D1L-PlY5rQIezADrPFCrEDjI0i26BdMXX~cnko4rY4FgHChrQZPXKy4h7yXWtQ17dsSnXRFuTW~ijjyyasit6zhdWSB~EQuxmCgjpH~gPxKQv0He7tBH0c8WXjhbynOc5osRoLPoK1lOF8RfkvSCu7LMFtLHcdgPFi44gLyN1j1s3BO5grhHWLc10mmC~lezPlUGBMw7rpErToNBD08H6nRpaDQFwg__&Key-Pair-Id=APKAIE5G5CRDK6RD3PGA)
![Figure 5. 161519 TriKE amplifies NK cell function in autologous and allogeneic in vitro settings. PBMCs obtained from CLL patients (n = 5) were cultured with Raji target cell line (2:1 effector-to-target ratio) for a 4-hour period in the presence of treatment conditions at 30 nM (for everything but IL-15 [used at 0.3 nM]). NK cells were determined by CD56+/CD3− expression and degranulation, and IFNγ production was assessed. (A) Pooled data showing CD107a expression on NK cells from CLL patient samples incubated in the presence of Raji targets. (B) Pooled data showing intracellular IFNγ expression on NK cells from CLL patient samples incubated in the presence of Raji targets. To evaluate 161519 TriKE in an allogeneic setting, enriched allogeneic NK cells from healthy donors were incubated with noted molecules (30 nM for everything but IL-15 [used at 0.3 nM]) for 18 hours, washed, and then placed in culture alone or cocultured with CellTrace-labeled CLL patient cells (2:1 effector-to-target ratio) for a 4-hour period with outlined treatment conditions added again at a 30 nM (for everything but IL-15 [used at 0.3 nM]) concentration (n = 17; 2 experiments with 2-3 NK donors against 3-4 CLL targets). CellTrace dye was used to be able to distinguish healthy donor–enriched NK cells from CLL patient NK cells. (C) CD107a expression on CellTrace− NK cells cultured with CLL patient cells. (D) Intracellular IFNγ production on CellTrace− NK cells cultured with CLL patient cells. One-way ANOVA with repeated measures was used to calculate differences against the 161519 group. Error bars indicate the mean ± standard error of the mean. Statistical significance are determined as *P < .05, **P < .01, ***P < .001, and ****P < .0001.](https://ash.silverchair-cdn.com/ash/content_public/journal/bloodadvances/3/6/10.1182_bloodadvances.2018029371/2/m_advances029371f5.png?Expires=1769088137&Signature=11vy9RYTqzmm~7zzTDJytcjaAUOi~eSUrd9SVhHKQnhP~~1VKjsYfXlnV2EmmnpYz8AhnPWCT-uBCR-V4Z6Kar2xLglYdWlMphRiarW--6cZ4vvCR~L3vO1RlyDGM3XWCknHoUjaVSnZMsi6ZEqBCN45CiapSHA-iwYuqPi0K7FCUiTioOcV0NX63-DDCdo3dCZ6HZ592gczNKsb9P7ms~SczOmx5l9gkIl38Ln5Fwa7-J9Tg4vGveobj5DN1wFh272chJgmKt6zL-Bb64fTJNQbsQbe936DoDL2HKdh0Zi0FJAYHEWHNjXBZSK25oCTfPh1MdTLS2FHLYn~I7SGYA__&Key-Pair-Id=APKAIE5G5CRDK6RD3PGA)
![Figure 6. 161519 TriKE induces stronger NK cell–mediated killing of CLL patient tumor cells. Enriched allogeneic NK cells from healthy donors were incubated with noted molecules (30 nM for everything but IL-15 [used at 0.3 nM]) for 18 hours, washed, and then cocultured with CellTrace-labeled CLL targets in the presence of fresh noted treatments for a 4-hour period (n = 17; 2 experiments with 2-3 NK donors against 3-4 CLL targets). After the incubation period, CLL tumor cells were identified as CellTrace+/CD19+/CD5+ cells. Flow chart outlines the gating schema used to measure live target CLL cell percentage. Killing percentage was then calculated from live target cell percentage. NT denotes NK cells incubated with CLL targets without any molecules added and is used as a baseline of killing. One-way ANOVA with repeated measures was used to calculate differences against the 161519 group. Error bars indicate the mean ± standard error of the mean. Statistical significance are determined as ****P < .0001.](https://ash.silverchair-cdn.com/ash/content_public/journal/bloodadvances/3/6/10.1182_bloodadvances.2018029371/2/m_advances029371f6.png?Expires=1769088137&Signature=g5FVofO5V83gs5Neg0hrUIfFrYCiq7sIRZ0EdLN4nyY~XVa-Ih8m3nboUXVJF6P4TYTCXWyfUpGjTzc~zPX3bTtxZFVkJ~05vIn05QJ2F~CtBjUthpywRKlZQ33ZTRQYz9YJ2q9BLnB9CupQR6lkSbCSBOhp0dlO9J6GBdr-ol86KOJJPm2O60siF4kES91OlVwIetVDdDqqnmu15GYTAzXJfNKGnnP0be-wzt6gAEJJuB6PGMG9HG061gVXEqYi8hv6f6idnGzImdo~xVToWRhn7nmS6ld4HGFNmBNCatm-lmsUyFltxjmOnc0o~Sdg85KWABqj5c0bSsBHxCvS0g__&Key-Pair-Id=APKAIE5G5CRDK6RD3PGA)