Abstract
Although a minor population of paroxysmal nocturnal hemoglobinuria (PNH)–type blood cells is often detected in patients with aplastic anemia (AA) and refractory anemia (RA), the significance of such cells in the pathophysiology of bone marrow (BM) failure remains obscure. We therefore examined clonality in peripheral blood granulocytes from 118 female patients with AA or myelodysplastic syndrome using the X chromosome inactivation pattern. Clonality, defined as a clonal population accounting for 35% or more of total granulocytes, was confirmed in 22 of 68 (32.4%) AA patients, in 13 of 44 (29.5%) RA patients, in all 4 RA with excess blasts (RAEB) patients, and in 4 patients with PNH. When the frequency of patients with granulocyte clonality was compared with respect to the presence of increased PNH-type cells, the frequency was significantly lower in AA patients with (PNH+; 21.2%) than without (PNH–; 42.9%) increased numbers of PNH-type cells (P = .049). Clonality was absent in granulocytes from the 15 PNH+ RA patients but present in 13 of 29 (44.8%) PNH– RA patients (P = .0013). The absence of clonality in AA and RA patients before treatment was strongly associated with positive response to immunosuppressive therapy (without clonality, 74.4%; with clonality, 33.3%; P = .0031) in all patients as well as in PNH+ patients (without clonality, 96.2%; with clonality, 66.6%, P = .026). These results suggest that AA and RA with a minor population of PNH-type cells are benign types of BM failure with immune pathophysiology that have little relationship to clonal disorders such as RAEB or acute myeloid leukemia.
Introduction
Aplastic anemia (AA) and myelodysplastic syndrome (MDS) are hematopoietic dyscrasias characterized by pancytopenia and inappropriate production of mature blood cells from the bone marrow. They differ in terms of disease definition: AA is basically benign bone marrow (BM) failure due to extrinsic insult to hematopoietic stem cells, while MDS is a clonal disorder derived from a defective stem cell.1-3 However, to differentiate AA from refractory anemia (RA) of MDS in clinical practice can be difficult, as a diagnosis of RA depends largely on a subjective judgment of morphologic abnormalities in mature blood cells, and a laboratory marker that can discriminate between them remains unknown.4,5
We recently demonstrated that a minor (< 1%) population of CD55–CD59– granulocytes or red blood cells (RBCs) can be detected in numerous AA patients6 and in about 20% of RA patients.7 RA patients with a subtle increase in such paroxysmal nocturnal hemoglobinuria (PNH)–type cells (PNH+ patients) had distinct clinical features compared with RA patients without increased PNH-type cells (PNH– patients), such as lower rates of karyotypic abnormality and higher probability of response to cyclosporine (CyA) therapy. The presence of PNH-type cells therefore appeared to represent a marker for benign types of BM failure. However, several studies contradict this hypothesis. Some reports described AA patients with PNH clones who later developed acute myeloid leukemia (AML) with the non-PNH phenotype.8,9 According to another report, a non-PNH stem cell developed into MDS in a PNH patient.10 These case reports suggest that non-PNH stem cells tend to mutate in patients with BM failure who have an increased number of PNH-type cells. On the other hand, Maciejewski et al detected karyotypic abnormalities at similar frequencies in patients with PNH+ BM failure and in those without PNH-type cells, although their definition of an increase in PNH-type cells differed from ours.11 Whether a minor population of PNH-type cells actually represents a benign pathophysiology in BM failure therefore remains unclear.
One method to assess the pathophysiology of marrow failure is to determine whether the patient has a clonal population in granulocytes.12-16 If a PNH– AA or RA patient has a pathophysiology similar to that of RA with excess of blasts (RAEB) or will tend to evolve into RAEB or AML, complete or partial clonal granulopoiesis should be detected by recognizing skewed inactivation of the human androgen receptor (HUMARA) gene.17-19 Whereas clonal hematopoiesis is considered to reflect not only the presence of defective stem cells, but also hematopoietic stem cell depletion,20-22 it has predicted evolution to RAEB or AML in some AA patients.23,24 If an increase of PNH-type cells in patients with AA or RA represents a benign type of BM failure, then clonal granulopoiesis may be less frequent in PNH+ than in PNH– patients.
In order to test these hypotheses, we first investigated the presence of clonality in granulocytes from patients with BM failure and then analyzed the relationship between clonality and increases in PNH-type cells. We used an improved HUMARA assay with a capillary sequencer that could reliably detect clonal populations at a ratio of 35% or more. This study revealed a lower incidence of clonal hematopoiesis in PNH+ patients than in PNH– patients and a significant association between the absence of clonality with a favorable response to immunosuppressive therapy (IST). These data supported our hypothesis that AA and RA harboring a minor population of PNH-type cells represent benign types of BM failure with immune pathophysiology.
Patients, materials, and methods
Study subjects
We retrospectively analyzed 68 patients with acquired AA and 44 with RA who were heterozygous for the HUMARA gene. Table 1 summarizes patient characteristics. At least 2 independent hematologists reviewed all bone marrow slides and diagnosed only patients who had greater than 1% neutrophils with the Pseudo-Pelger-Hüet anomaly and who had micromegakaryocytes in addition to signs of erythroid dysplasia such as megaloblastic changes and multinuclearity as having RA.3,7 Among 50 AA patients and 27 RA patients examined, karyotypic abnormalities were seen in one AA patient (46, XX,9q+,9q–) and in 6 RA patients (1 with 47, XX, +8; 1 with 47, XX, +8, inv9[11q13]; 2 with 46, XX, del5[q13q31]; 1 with 45, X, [–X]; 1 with 46, XX, dup1[q32q12]). Included as controls were 4 patients with RAEB, 4 with PNH, 4 with AML, and 111 healthy females aged 21 to 98 who were all heterozygous for the HUMARA gene. All participants provided written, informed consent to all procedures associated with the study, which was approved by the ethical committee at our institution (application no. 225 entitled “Detection of clonal hematopoiesis in bone marrow failure patients by utilizing the X chromosome inactivation pattern”).
Sample preparation
Obtained from each patient was 2 to 10 milliliters heparinized peripheral blood, which was mixed with saline containing 2% dextran. After sedimentation, RBC-poor plasma was collected and sedimented using Ficoll-Hypaque (Lymphoprep; Axis-shield, Oslo, Norway). Granulocytes were collected from the pellet after lysing RBCs. Mononuclear cells (MNCs) were removed from the interface layer, suspended in RPMI 1640, and incubated for 1 hour in a CO2 incubator at 37°C in plastic culture plates. Nonadherent cells were collected, and T cells were separated by rosette formation with sheep RBCs. The purity of each cell fraction tested using Cytospin preparations was greater than 95%. We extracted DNA using the GENERATION DNA extraction kit (Gentra Systems, Minneapolis, MN). X chromosome inactivation patterns (XCIP) were analyzed after digesting DNA (50 ng) from granulocytes and T lymphocytes with the methylation-sensitive endonuclease HhaI (Takara, Kyoto, Japan) before amplification.
Amplification of the HUMARA gene and assessment of clonality
The HUMARA gene was amplified as described by Karasawa et al with some modifications.25 Since part of the HUMARA gene assessed contained a GC-rich region, we used the GC-RICH PCR System (Roche Diagnostics, Indianapolis, IN) to avoid misreading the nucleotide sequence during amplification. We amplified 20 ng DNA in a 20-μL reaction mixture according to the manufacturer's recommendations. The forward primer was 5′-TCC AGA ATC TGT TCC AGA GCG TGC-3′, and the reverse primer was 5′-GCT GTG AAG GTT GCT GTT CCT CAT-3′. The 5′ end of the forward primer was labeled with a 6-FAM fluorescent dye (Applied Biosystems, Foster City, CA). Following denaturation for 5 minutes at 94°C, samples were amplified for 35 cycles (denaturation, 94°C for 1 minute; annealing, 58°C for 1 minute; extension, 72°C for 1 minute) using a Touchdown thermal cycler (Hybaid Limited, Ashford, United Kingdom). A final extension (72°C for 10 minutes) was added after the amplification cycles. The amplified products (0.15-0.5 μL) were mixed with 0.2 μL of the internal size standard Gene-Scan 500 ROX and 12 μL formamide (Applied Biosystems) and denatured at 95°C for 2 minutes. After cooling on ice, samples were separated by capillary electrophoresis using POP-4 polymer on an ABI PRISM 310 Genetic Analyzer (Applied Biosystems) and analyzed with GeneScan software (Applied Biosystems).
To correct an inequality of amplification efficiency between the 2 HUMARA gene alleles, we determined the ratios of both allele areas before (lower allele/higher allele: A/B) and after (lower allele/higher allele: A′/B′) HhaI digestion using a C value calculated by (A/B)÷(A′/B′) as a marker of skewing in granulocytes (CG) and T lymphocytes (CL).18,26-28 Skewing was judged evident when the C value was far from 1.0 or when 1 of 2 alleles completely disappeared after HhaI digestion.
Flow cytometry
To detect PNH-type granulocytes, phycoerythrin (PE)–labeled anti-CD11b monoclonal antibodies (MoAb, Becton Dickinson, Mountain View, CA), fluorescein isothiocyanate (FITC)–labeled anti-CD55 (clone IA10, mouse IgG2a, Pharmingen, San Diego, CA), and FITC-labeled anti-CD59 (clone p282, mouse IgG2a, Pharmingen) were combined with isotype-matched control MoAbs as described.6 To analyze PNH-type RBCs, we used PE-labeled anti–glycophorin A MoAb (clone JC159, DAKO, Glostrup, Denmark) instead of anti-CD11b MoAb.7 Fresh peripheral blood was diluted to 3% with phosphate-buffered saline, and 50 mL diluted blood was incubated with PE-labeled anti–glycophorin A MoAb, FITC-labeled anti-CD55, and anti-CD59 MoAb on ice for 25 minutes. A total of at least 105 CD11b+ granulocytes and glycophorin A+ RBCs within each corresponding gate were analyzed using a FACScan flow cytometry (Becton Dickinson). Based on the analytical results from 68 healthy individuals, the presence of more than 0.003% CD11b+ granulocytes and 0.005% glycophorin A+ RBCs was judged abnormal.6,7
Southern blotting
We performed Southern blotting on the DNA of T cells with extremely skewed XCIP using a T-cell–receptor β chain probe as described.29
Immunosuppressive therapy (IST)
Antithymocyte globulin (ATG; Lymphoglobulin, Pasteur Mérieux, Lyon, France; 15 mg/kg/d, 5 days) in combination with cyclosporine A (CyA, Novartis, 6 mg/kg/d) was administered to 29 patients (28 with AA and 1 with RA), whereas CyA alone was administered to 28 patients (14 with AA and 14 with RA), respectively. Response was evaluated at 6 months after therapy. Response criteria included resolution of requirement for transfusions and a 2 g/dL or more rise of hemoglobin levels.
Statistics
Differences in clinical characteristics between PNH+ and PNH– patients and relationships between the presence of clonality and an increase in the percentage of PNH-type cells were assessed using Mann-Whitney U test and Fisher exact probability test or the chi-square test. A P value of less than .05 was considered statistically significant.
Results
Criteria for a diagnosis of clonality
To estimate constitutional and age-related skewing of XCIP in granulocytes and T lymphocytes, CG and CL values were plotted for healthy individuals. Figures 1A-B show correlations between CG and CL in younger women (A, age < 70 years) and in elderly women (B, age ≥ 70 years). In the younger women, CG correlated well with CL, indicating that constitutional and age-related skewing of XCIP in granulocytes occurs in parallel with that in T cells. Therefore, the influence of physiological and age-related skewing on the assessment of clonality in granulocytes was considered offset by using the absolute values of log (CG/CL) (S value) as a marker of clonality in granulopoiesis. S values of most younger women fell into the range 0-0.30, while those of most elderly women (age ≥ 70 years) fell into a larger range (0-0.40). Due to acquired skewing associated with age,17,30-33 normal ranges of S values were established for each of the 2 age groups: the normal range of S values was arbitrarily defined as below 0.3 for the younger women, which included S values from 95% of healthy individuals. In elderly women, the normal range was defined as below 0.4, which included S values from 90% of healthy individuals.
HUMARA gene analysis and its interpretation. Correlations between CG and CL in healthy younger women (A, 20-69 years old) and elderly women (B, 70-98 years old). Correlation coefficient was 0.862 in younger women and 0.741 in elderly women.
HUMARA gene analysis and its interpretation. Correlations between CG and CL in healthy younger women (A, 20-69 years old) and elderly women (B, 70-98 years old). Correlation coefficient was 0.862 in younger women and 0.741 in elderly women.
The CL values of 4 of the 111 healthy individuals were extremely high (> 10) or low (< 0.1). To exclude the possibility that acquired skewing of XCIP was due to the clonal proliferation of mature T cells, we performed Southern blotting on T cells from these patients using a T-cell–receptor β chain gene probe. Results from all 4 samples were negative for rearrangement bands (data not shown).
Validity and sensitivity of the HUMARA assay in detecting clonal populations
Figure 2A shows an apparent clonal pattern of leukemic cells from an AML patient. The S value of granulocytes obtained at remission was normal (0.149), indicating that polyclonal granulopoiesis had been restored by chemotherapy. We tested the sensitivity of the HUMARA assay in detecting a clonal population as follows: We mixed DNA derived from leukemic cells of the patients whose allele B′Blast completely disappeared after HhaI digestion with various ratios of DNA derived from granulocytes at remission and determined the CG values using the HUMARA assay. Assuming that the CL values of the patient were identical before and after chemotherapy, the |logCG| value would be identical to the S value. The CG/CL values obtained from each mixture accorded well with predicted CG/CL values. According to this nomogram, a CG/CL value of 0.5 (= 0.3 as an S value) in one patient indicated the presence of about a 35% clonal population, and a CG/CL value of 0.4 (= 0.4 as an S value) in another corresponded to a clonal population of approximately 45%.
Sensitivity and accuracy of HUMARA assay in detecting clonal populations.Leukemic cell DNA from an AML patient (A, M5a) was mixed with DNA from mature granulocytes from the same patient at varying ratios, and CG/CL values were determined in each mixture. Closed circles indicate calculated CG/CL values; open circles, predicted CG/CL values.
Sensitivity and accuracy of HUMARA assay in detecting clonal populations.Leukemic cell DNA from an AML patient (A, M5a) was mixed with DNA from mature granulocytes from the same patient at varying ratios, and CG/CL values were determined in each mixture. Closed circles indicate calculated CG/CL values; open circles, predicted CG/CL values.
Clonality in patients with BM failure
Table 2 summarizes results of the HUMARA assay of samples from patients with BM failure. Patients were divided into 2 groups according to age, and S values were compared with the normal range of each group. We detected abnormal S values in 22 of 68 (32.4%) AA patients and in 13 of 44 (29.5%) RA patients. The S values of granulocytes from all RAEB and PNH patients were abnormal. These results indicated that the incidence of clonal hematopoiesis was similar between AA and RA patients. All 7 patients (1 with AA and 6 with RA) with karyotypic abnormalities were judged to have clonality from abnormal S values ranging from 0.526 to 1.231 in 6 patients and a complete loss of one allele after HhaI digestion in one patient.
Ratios of PNH-type cells in AA and RA patients
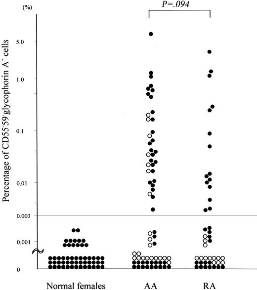
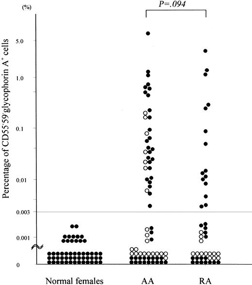
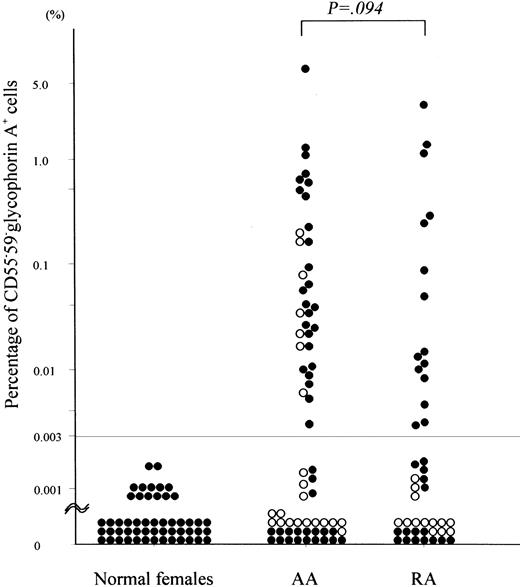
The results of flow cytometry detecting CD55–CD59– granulocytes are summarized in Figure 3. The number of CD55–CD59–CD11b+ granulocytes was increased (≥ 0.003%) in 33 of 68 (48.5%) AA patients, whereas that of PNH-type granulocytes was increased in 15 of 44 (34.1%) RA patients (P = .094). All PNH+ patients harbored 0.005% or more CD55–CD59– glycophorin+ RBCs (data not shown). PNH– patients included most patients with abnormal S values, indicated as open circles. There were no significant differences in the disease duration (months [median], 0-22.4 [0.4] vs 0-226 [0.4] in AA and 0-84 [13.7] vs 0-182.3 [13.4] in RA) and neutrophil count (×109/L [median], 0.02-2.6 (0.69) vs 0.02-2.2 [1.0] in AA and 0.24-1.5 [1.0] vs 0.23-2.6 [1.28] in RA) between PNH+ and PNH– patients. All 7 patients with karyotypic abnormalities were PNH–.
Distribution of PNH-type granulocytes in healthy females and patients with BM failure. Percentage of CD55–CD59– cells in CD11b+ cells was determined on 52 healthy females, 68 AA, and 44 RA patients. Closed circles indicate patients showing normal S values; open circles, patients showing abnormal S values.
Distribution of PNH-type granulocytes in healthy females and patients with BM failure. Percentage of CD55–CD59– cells in CD11b+ cells was determined on 52 healthy females, 68 AA, and 44 RA patients. Closed circles indicate patients showing normal S values; open circles, patients showing abnormal S values.
S values in subsets of patients defined by the presence of a few PNH-type cells
Figure 4 shows the distribution of S values among patient groups that were classified according to the presence of PNH-type cells. S values were abnormal in 3 of 19 (15.8%) and in 15 of 32 (46.9%) of the younger PNH+ and PNH– AA patients, respectively (P = .023, Figure 4A). A difference in the ratio of PNH+ and PNH– patients with abnormal S values also was evident in RA patients. None of 10 PNH+ and 4 of 12 (33.3%) PNH– patients displayed abnormal S values (P = .044). The difference in the frequency of patients with abnormal S values between PNH+ and PNH– elderly patients also was significant in RA (P = .034), but not in AA (P = .29, Figure 4B). For all patients in the 2 age groups, the frequency of abnormal S values in those who were PNH+ was significantly lower than those who were PNH– both in the AA (21.2% vs 42.9%, P = .049) and RA (0% vs 44.8%, P = .0013) groups.
Distribution of S values in patients with BM failure. (A) Patients younger than 70 years. (B) Patients older than 70 years. (+) indicates patients with increased PNH-type cells; (–), patients without increased PNH-type cells. Not included in these figures are 2 PNH– patients with clonal hematopoiesis (one is a 59-year-old AA patient and another is a 76-year-old RA patient), because 1 of 2 alleles completely disappeared after digestion of their granulocyte DNA.
Distribution of S values in patients with BM failure. (A) Patients younger than 70 years. (B) Patients older than 70 years. (+) indicates patients with increased PNH-type cells; (–), patients without increased PNH-type cells. Not included in these figures are 2 PNH– patients with clonal hematopoiesis (one is a 59-year-old AA patient and another is a 76-year-old RA patient), because 1 of 2 alleles completely disappeared after digestion of their granulocyte DNA.
Rates of response to immunosuppressive therapy and evolution into AML
A total of 57 patients (42 with AA and 15 with RA) were treated with ATG + CyA or CyA after assessment of clonality and PNH-type cells. Figure 5 summarizes the rates of response to IST in various subsets of patients. The absence of clonality was significantly associated with favorable response to ATG + CyA (83.3% vs 36.4%). The same trend also was seen in the rate of response to CyA therapy (66.7% vs 28.6%). Among PNH+ patients, almost all patients without clonality responded to IST, whereas only two thirds of patients with clonality responded, as shown in Figure 5B. PNH– patients without clonality also showed a better response to IST than those with clonality, although the difference was not statistically significant.
Response to immunosuppressive therapy in various patient subsets defined by clonality and PNH-type cells. (A) Rates of response to ATG + CyA and CyA in 57 patients (42 with AA and 15 with RA). (B) Rates of response to either ATG + CyA or CyA in PNH+ and PNH– patients.
Response to immunosuppressive therapy in various patient subsets defined by clonality and PNH-type cells. (A) Rates of response to ATG + CyA and CyA in 57 patients (42 with AA and 15 with RA). (B) Rates of response to either ATG + CyA or CyA in PNH+ and PNH– patients.
Over the 23-month observation period, none of the 77 AA or RA patients without clonality developed AML, whereas 5 of 35 patients with clonality developed AML 5 to 14 months after examination of clonality. All evolved patients were PNH–.
Changes in S values over time after ATG therapy in AA patients
We examined clonality in the peripheral blood of 6 AA patients before and after ATG therapy. Of 2 patients with abnormal S values, one attained partial remission, whereas the other was unresponsive to therapy. Their S values remained unchanged over time. Among 4 patients with normal S values, 3 responded to ATG and became free from the need for transfusions for 3-4 months after therapy. S values remained within the normal range in 2 of the 3 responders and surpassed the normal range in one patient 3 months after therapy. In the other patient who was refractory to ATG, the S values remained normal.
Discussion
Clonality analysis using XCIP of the HUMARA gene has been applied to characterize hematopoiesis of various hematologic diseases.18,19,34-38 HUMARA assays used in previous reports16,19,30-36,39,40 could not assess clonality when the T-cell population was obviously skewed, since this cell type represents an internal control for assessing clonality in granulocytes. Accurate measurement of the allelic quantity using our HUMARA assay allowed this problem to be circumvented. Skewing of XCIP in the HUMARA gene is age related in T cells in association with that in granulocytes.17,30-33 Our results from healthy individuals supported these findings (Figure 1). We therefore assumed that the CG value relative to the CL value could serve as a marker for skewing in granulocytes. When the |log(CG/CL)| (S) values of patients with RAEB or PNH were determined and compared with those of age-matched healthy controls, all results were positive, thus validating the use of S values as a marker for clonality. The HUMARA assay reliably detected a clonal population of 35% or more in 32.4% of AA patients and in 29.5% of RA patients. These ratios were lower13-15,24 and higher12,38-41 than those of some previous studies, all of which used inaccurate methods to assess skewing. Studies in which the ratios were lower or higher probably overestimated the incidence of clonality due to a lack of appropriate controls, and underestimated the incidence due to the inability of insensitive methods to detect relatively low ratios of clonal populations.
Several studies have emphasized the importance of longitudinal analysis when clonality is assessed because XCIP of granulocytes can vary from time to time20 and may be affected by IST.12 However, a recent study of elderly individuals presents evidence against such variance of XCIP over time.33 Our results also indicated that the skewing of XCIP in granulocytes is relatively stable over time, even in patients whose hematopoietic function improved with ATG. The numbers and types of hematopoietic stem cells contributing to hematopoiesis may not change easily if assessed by the improved HUMARA assay. These results appear to justify our analysis of patients with heterogeneous backgrounds regarding disease duration and treatment.
We recently demonstrated that the clinical features of RA with a minor population of PNH-type cells are benign, like those of AA.7 However, the quality of hematopoietic stem cells in patients with BM failure harboring PNH-type cells might be a concern, since a small percentage of patients with increased numbers of PNH-type cells developed AML derived from non-PNH-type cells.8,9 The present study found that the incidence of clonal hematopoiesis in PNH+ patients was significantly lower than that in PNH– patients despite the fact that the small numbers of PNH-type cells were clonal, as demonstrated by subcloning and sequencing the PIG-A gene in our previous study.7 The difference in the incidence of clonality between PNH+ and PNH– patients could be attributable to differences in the severity of BM failure or in the disease duration; more severe or prolonged depletion of stem cells due to extrinsic factors may lead to a higher incidence of clonal dominance in PNH– than in PNH+ patients.20-22 However, these mechanisms are unlikely because the hematologic parameters such as leukocyte counts and disease duration did not significantly differ between PNH+ and PNH– patients. Our previous study7 showed that the response to CyA therapy was significantly lower by PNH– than PNH+ RA patients. Therefore, the high incidence of clonality in PNH– AA or RA patients appears to have relevance to nonimmune mechanisms of BM failure, such as an intrinsic defect of hematopoietic stem cells.4,42 In these patients, the absence of immune pressure upon hematopoietic stem cells may not allow PNH-type stem cells to expand.43 Although the implication of clonality in BM failure has not yet been established, clonal hematopoiesis in some AA patients has been implicated in the development of RAEB or AML.23,24 The higher incidence of polyclonal hematopoiesis in PNH+ patients suggests that non–PNH-type stem cells in these patients are largely healthy.
Few studies have focused on the relationship between the presence of clonality and response to IST.44 Aivado et al showed using the HUMARA and phosphoglycerate kinase–1 clonality assays that low-risk MDS patients with a nonclonal pattern of XCIP favorably responded to ATG. We demonstrated, based on a much larger number of patients and a more accurate HUMARA assay, that the absence of clonality in AA and RA patients is strongly associated with favorable response to IST. Relatively poor response to IST in patients with clonality supports our hypothesis that nonimmune mechanisms of BM failure, such as intrinsic defects in hematopoietic stem cells, may underlie BM failure with clonality.
The results of the present study have important implications for the management of patients with BM failure. When the HUMARA assay fails to detect clonality in PNH+ AA or RA patients, IST is highly recommend.7 Conversely, when the assay reveals clonality in PNH+ AA or RA patients before treatment, they may benefit more from other treatments, such as allogeneic stem cell transplantation. Because PNH– patients with clonality are less likely to respond to IST and appear to have a propensity toward developing AML, allogeneic stem cell transplantation also may need to be considered for these patients. These implications of detecting PNH-type cells and clonality in patients with BM failure should be confirmed by a prospective study on a large number of AA and RA patients. A nationwide effort addressing this is currently underway.
Prepublished online as Blood First Edition Paper, April 3, 2003; DOI 10.1182/blood-2002-12-3706.
The publication costs of this article were defrayed in part by page charge payment. Therefore, and solely to indicate this fact, this article is hereby marked “advertisement” in accordance with 18 U.S.C. section 1734.
We thank the following people of Kanazawa University for their helpful comments and technical assistance: Dr S. Harada of the Center for Biomedical Research and Education, School of Medicine; Dr K. Saijoh of the Department of Hygiene, Graduate School of Medical Sciences; Ms K. Okada of the Division of Laboratory Service; and Ms M. Yoshii of Cellular Transplantation Biology. We are indebted to the following doctors for providing us with patient samples and clinical information: A. Urabe of NTT Kanto Hospital; M. Saito of NTT Kanazawa Hospital; N. Tsukamoto and M. Karasawa of Gunma University Hospital; T. Yamada of Gifu University Hospital; H. Yamazaki of Kouseiren Takaoka Hospital; Y. Kawachi of Takamatsu Red Cross Hospital; H. Yamauchi of Kurobe City Hospital; A. Matsuda and H. Yagasaki of Saitama Medical School Hospital; T. Matsunaga of Sapporo Medical University Hospital; E. Ohmoto of Yamagata University Hospital; Y. Seki of Niigata Prefectural Shibata Hospital; M. Ueda of Ishikawa Prefectural Central Hospital; N. Ichikawa of Nagano Red Cross Hospital; T. Hattori of Teikyo University Hospital; K. Koizumi of Tonan Hospital; M. Teramura of Tokyo Women's Medical College Hospital; T. Nakamoto of Tokyo University Hospital; T. Tanaka of Yatsuo General Hospital; K. Shigeno of Hamamatsu University Hospital; A. Sawasaki of Fukuiken Saiseikai Hospital; Y. Terasaki of Toyama City Hospital; T. Yoshida of Toyama Prefectural Central Hospital; and O. Tabata of Okanoue Hospital.









