Abstract
Patients: The 3 patients detailed in this report presented to Ohio State University Hospitals and were enrolled on our prospective study of plasma exchange as initial therapy of TTP. Given the close outpatient follow-up during the first month after the tapering of plasma exchange, 2 patients were found to have an early recurrence of their TTP. The third patient had a recurrence 8 weeks after completing 6 months of CSA after being treated with concurrent CSA and PE for a previous acute episode of TTP. She completed the planned 6 months of cyclosporine therapy but relapsed 8 weeks after discontinuing the drug. Her recurrence was characterized by numbness and tingling in her right hand in addition to laboratory findings consistent with TTP. Complete demographic and clinical details of these 3 patients are shown in Table 1.
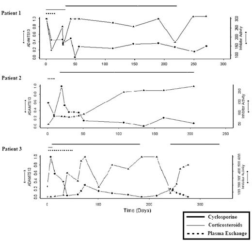
Methods: All 3 patients received oral cyclosporine (2–3 mg/kg) daily for six months in a divided dose. None of the patients underwent plasma exchange, infusion, or transfusion of blood products of any kind. Patients were seen daily to monitor for any clinical or laboratory findings that would warrant the re-initiation of plasma exchange therapy. Remissions were defined as a normal platelet count, normalization of LDH for at least 2 consecutive days, and improvement or stabilization of any renal and neurologic abnormalities. Serial measurements of ADAMTS13 activity and inhibitors were performed at regular intervals throughout therapy and follow-up.
Results: All three patients showed clear laboratory and clinical signs of improvement within the first 7 days of therapy and met criteria for clinical remission 14, 24, and 34 days respectively from the time they began treatment with cyclosporine. The third patient that presented with numbness and tingling in her right hand also had complete resolution of her neurologic symptoms within one week of restarting cyclosporine. Pretreatment ADAMTS13 activity was determined to be 33%, 25%, and 10% in all 3 patients respectively with all 3 patients having documented inhibitors of ADAMTS13.
Conclusions: Treatment with cyclosporine alone resulted in the suppression of ADAMTS13 inhibitors and normalization of ADAMTS13 activity.
All three patients have completed the planned 6 months of cyclosporine and have maintained their remission 4, 3, and 1 month respectively after discontinuing cyclosporine.
Patient Demographic and Clinical Data
| . | . | . | . | . | . | Laboratory Studies at the TIme CSA Initiated . | |
|---|---|---|---|---|---|---|---|
| . | Age . | Sex . | Race . | Therapy Preceeding Recurrence . | Time to Relapse After Most Recent Therapy . | Platelet Count (150-450 K/uL) . | LDH (100-190 U/L) . |
| PE=Plasma Exchange, CSA=Cyclosporine, S=Corticosteroids | |||||||
| Patient 1 | 48 | F | C | PE + S | 17d | 113 | 212 |
| Patient 2 | 39 | F | C | PE | 6d | 135 | 400 |
| Patient 3 | 56 | F | AA | CSA | 56d | 51 | 418 |
| . | . | . | . | . | . | Laboratory Studies at the TIme CSA Initiated . | |
|---|---|---|---|---|---|---|---|
| . | Age . | Sex . | Race . | Therapy Preceeding Recurrence . | Time to Relapse After Most Recent Therapy . | Platelet Count (150-450 K/uL) . | LDH (100-190 U/L) . |
| PE=Plasma Exchange, CSA=Cyclosporine, S=Corticosteroids | |||||||
| Patient 1 | 48 | F | C | PE + S | 17d | 113 | 212 |
| Patient 2 | 39 | F | C | PE | 6d | 135 | 400 |
| Patient 3 | 56 | F | AA | CSA | 56d | 51 | 418 |
Author notes
Corresponding author
