Abstract
Background: Pneumocystis jirovecii pneumonia (PCP) is an opportunistic fungal infection that can develop in the setting of deficient cell-mediated immunity. Children with hematologic malignancies and children undergoing immunosuppressive treatment for other types of cancer are at risk of developing PCP. However, the epidemiology of PCP in children with cancer is not well described. We sought to determine the prevalence of PCP in hospitalized children with cancer in the U.S. and to identify risk factors for PCP in this population.
Methods: This retrospective cohort study included pediatric patients with newly diagnosed cancer at 45 children's hospitals in the U.S. between January 1, 2004, and December 31, 2009. Data was obtained from the Pediatric Health Information System (PHIS). Patients were included if they were 0 to 20 years of age and had an index hospitalization with an ICD-9 diagnosis code for a malignant condition (140 to 239.39). Patients who had a benign tumor, >1 cancer type, or non-specific cancer codes, and those who received a hematopoietic stem cell transplant were excluded. Groups were defined for cancer types by ICD-9 codes: acute lymphoblastic leukemia (ALL), acute myeloid leukemia (AML), Non-Hodgkin lymphoma (NHL), Hodgkin disease (HD), central nervous system (CNS), and solid non-CNS tumors. Patients within the cohort who had a diagnosis of PCP (ICD-9 code 136.3) within 3 years of their cancer diagnosis were considered PCP cases. The relative risk for PCP was calculated according to demographics and cancer types. The data were analyzed for trends in the incidence of PCP cases by year, the time to PCP diagnosis following cancer diagnosis, and the regional distribution of PCP in the U.S.
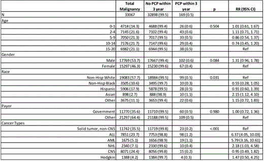
Results: A total of 33,067 pediatric cancer patients met the criteria for inclusion in the study. Of these patients, 169 (0.5%) were classified as PCP cases (Table 1). Patients with ALL and AML had the highest relative risks of PCP, when compared with other cancer types. Patients of Asian race had the highest relative risk of PCP, when compared with patients of other races.
Relative Risk of PCP Diagnosis by Demographics and Cancer Types
Relative Risk of PCP Diagnosis by Demographics and Cancer Types
Figure 1 depicts that the time to the development of PCP was relatively short in patients with NHL (median 33 days, IQR: 0-253 days) and AML (median 70 days, IQR: 0-149 days). In contrast, PCP was diagnosed later in patients with ALL, (median 347 days, IQR; 168-675 days). The number of new PCP cases did not significantly vary by year of diagnosis. Regional differences in the diagnosis of PCP by the locations of PHIS institutions were not identified.
Number of days from cancer diagnosis to PCP diagnosis (Kaplan-Meier survival curves)
Number of days from cancer diagnosis to PCP diagnosis (Kaplan-Meier survival curves)
Conclusions: This study represents the largest cohort analysis of PCP in children with cancer. Among children with cancer who were hospitalized at major U.S. children's hospitals during the study period, the prevalence of PCP was 0.5%. The relative risk of PCP was increased in patients with leukemia when compared with other cancer types. However, PCP was identified in all cancer types. The variation in time to diagnosis of PCP is hypothesized to be due to differences in the intensity and duration of immunosuppressive therapy by cancer type.
No relevant conflicts of interest to declare.
Author notes
Asterisk with author names denotes non-ASH members.

