Aim: Although allogeneic stem cell transplant (alloSCT) remains the only curative option for myelofibrosis, novel therapeutic agents, the application of new prognostic scoring systems and the emergence of molecular genetic analysis have lead to a new management landscape in myelofibrosis. In view of these recent advances, we aimed to review national practice in transplanting myelofibrosis patients and its outcomes.
Methods: A retrospective study was conducted using the Australasian Bone Marrow Transplant Registry (ABMTRR) data on patients who underwent alloSCT for myelofibrosis at Australian/New Zealand transplant centres between 2006 and 2017. Participating centres completed an online questionnaire and responses were reviewed centrally by the ABMTRR.
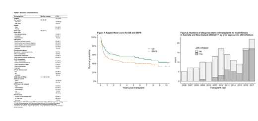
Results: 142 patients underwent alloSCT for myelofibrosis, primary (n=94) or secondary (n=48) (Table 1). 52% had HLA-identical sibling donors and 45% had matched unrelated donors (UD). Median follow-up was 51.8 months (range: 3.1-148). Cytogenetic abnormalities were identified in 29% of 120 patients who were tested pretransplant. JAK2 mutation testing was performed in 74% of patients whilst other mutations (CALR, MPL, EZH2, IDH, SRSF2, ASXL1) were rarely tested (1.4-8.4%). Only 4.2% of patients had next generation sequencing. Before transplant, 16% had splenectomy or splenic irradiation and 54 patients (38%) received JAK 1/2 inhibitors (JAKi), of whom 92.5% had Ruxolitinib.
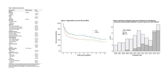
Median time to neutrophil engraftment was 20 (range: 10-43) days whereas median platelet recovery time was 28 (range: 13-230) days. 9 patients (6.3%) had primary graft failure and 11 patients (7.7%) had secondary graft failure. 60% had chimerism studies using cytogenetic or molecular techniques at 3 months post transplant; 63% of those assessed achieved complete (≥95%) donor chimerism. CMV reactivation was detected in 32% and 10% had sinusoidal obstruction syndrome. The cumulative incidence of grade II-IV acute GvHD was 21.4% and grade III-IV acute GvHD was 8.7%. The cumulative incidences of limited and extensive chronic GvHD at 5 years were 11.1% and 18.1% respectively. Overall survival (OS) was 67% at 1 year and 57% at 5 years. GvHD free progression free survival was 54% at 1 year and 42% at 5 years (Figure 1). The cumulative incidence of non-relapse mortality (NRM) was 16% at 100 days and 25% at 1 year.
In multivariate analysis, use of an UD was a significant independent unfavourable risk factor for OS (HR 2.26, 95%CI 1.17- 4.33, p=0.015) and NRM (HR 3.02, 95%CI 1.36-6.71, p=0.007), while splenic irradiation/splenectomy resulted in shortened neutrophil (HR 1.88, 95%CI 1.00-3.54, p=0.05) and platelet recovery time (HR 2.13, 95%CI 1.12-4.05, p=0.02). Use of UD significantly increased the incidence of grade II-IV acute GvHD in multivariate analysis (HR 5.66, 95%CI 1.99-16.11, p=0.001) whereas use of antithymoglobulin or alemtuzumab significantly reduced it (HR 0.27, 95% CI 0.09-0.79, p=0.017). Neither use of JAKi prior to alloSCT nor presence of JAK2 mutation had a significant impact on OS or NRM.
9 patients underwent a second alloSCT for myelofibrosis and median length of time from the first transplant was 22 (range: 1-132) months. 4 patients were transplanted for disease relapse and 3 patients for graft failure. For the second transplant cohort, NRM at day 100 and 1 year were 11.1% (95% CI, 0.4%-40.6%) and 33.3% (95% CI, 6.6%-64%) respectively, while 1-year and 5-year OS were 66.6% (95% CI, 42%-100%) and 44.4% (95% CI, 21.4%-92.2%).
Conclusion:
Survival rates in alloSCT for myelofibrosis in this Australasian cohort were comparable to international studies.
There is a rise in the numbers of patients treated with JAKi pretransplant (Figure 2). Although this does not appear to have any effect on transplant outcomes, reduced symptom burden associated with increasing use of pre-transplant JAKi may increase the numbers of patients considered eligible for alloSCT.
Although splenectomy/splenic irradiation had a positive impact on engraftment, it did not improve the survival outcomes.
Our results show a negative influence of UD on OS and NRM, possibly related to an increased incidence of acute GVHD in the UD group.
In light of the rise in utilization of alloSCT in the management of myelofibrosis, there is a need for further prospective studies incorporating molecular testing and the new comprehensive clinical-molecular myelofibrosis transplant scoring system.
Spencer:Amgen: Consultancy, Honoraria, Membership on an entity's Board of Directors or advisory committees, Research Funding; Takeda: Consultancy, Honoraria, Membership on an entity's Board of Directors or advisory committees, Research Funding, Speakers Bureau; Servier: Consultancy, Honoraria, Membership on an entity's Board of Directors or advisory committees; Haemalogix: Consultancy, Honoraria, Membership on an entity's Board of Directors or advisory committees; Secura Bio: Consultancy, Honoraria, Membership on an entity's Board of Directors or advisory committees; Sanofi: Consultancy, Honoraria, Membership on an entity's Board of Directors or advisory committees; Janssen Oncology: Consultancy, Honoraria, Membership on an entity's Board of Directors or advisory committees, Research Funding, Speakers Bureau; AbbVie: Consultancy, Honoraria, Membership on an entity's Board of Directors or advisory committees, Research Funding; Celgene: Consultancy, Honoraria, Membership on an entity's Board of Directors or advisory committees, Research Funding, Speakers Bureau; Specialised Therapeutics Australia: Consultancy, Honoraria. Purtill:MSD: Honoraria; Novartis: Honoraria, Other: Travel for speaking and advisory boards; Gilead: Honoraria, Other: Travel for speaking and advisory boards; Janssen: Honoraria. Browett:Roche: Membership on an entity's Board of Directors or advisory committees, Research Funding; Amgen: Research Funding; Janssen: Membership on an entity's Board of Directors or advisory committees; AbbVie: Membership on an entity's Board of Directors or advisory committees; Merck: Membership on an entity's Board of Directors or advisory committees; Achillion: Research Funding; Beigene: Research Funding. Szer:Sanofi: Honoraria, Other: Travel, Research Funding; Takeda: Honoraria, Other: Travel, Research Funding; Pfizer: Honoraria, Other: Travel, Research Funding; Alexion: Honoraria, Other: Travel, Research Funding; Amgen: Honoraria, Other: Travel, Research Funding; Celgene: Honoraria, Other: Travel, Research Funding; MSD: Honoraria, Other: Travel, Research Funding; Novartis: Honoraria, Other: Travel, Research Funding; Prevail Therapeutics: Honoraria, Other: Travel, Research Funding. Ritchie:Amgen: Consultancy, Honoraria, Research Funding; Pfizer: Consultancy; BMS: Research Funding; Takeda: Research Funding; Beigene: Research Funding; Imago: Research Funding; Novartis: Honoraria; Sanofi: Honoraria. Greenwood:Amgen: Honoraria, Membership on an entity's Board of Directors or advisory committees. Gottlieb:Merck: Consultancy; AbbVie: Consultancy; Gilead: Consultancy; Novartis: Consultancy; University of Sydney: Employment; Haemalogix P/L: Membership on an entity's Board of Directors or advisory committees, Research Funding.
Author notes
Asterisk with author names denotes non-ASH members.
