Most of the resistance to protein C and thrombomodulin disappears within 2 to 4 weeks after cessation of CHCs.
Two to 4 weeks of cessation of CHCs appear sufficient to eliminate their accrued associated thrombotic risk.
Visual Abstract
The persistence of risk of venous thromboembolism (VTE) due to combined hormonal contraceptives (CHCs), after their cessation, is unknown but important to guide clinical practice. The objective of this prospective cohort study was to define the time until normalization of estrogen-related thrombotic biomarkers after CHC cessation. We enrolled women aged 18 to 50 years who had decided to stop their CHC, excluding those with a personal history of VTE, anticoagulation, or pregnancy. The study started before cessation of CHC, with 6 visits afterwards (at 1, 2, 4, 6, and 12 weeks after cessation). Primary outcomes were normalized sensitivity ratios to activated protein C (nAPCsr) and to thrombomodulin (nTMsr), with sex hormone–binding globulin (SHBG) as a secondary end point. We also included control women without CHC. Among 66 CHC users, from baseline until 12 weeks, average levels of nAPCsr, nTMsr, and SHBG decreased from 4.11 (standard deviation [SD], 2.06), 2.53 (SD, 1.03), and 167 nmol/L (SD, 103) to 1.27 (SD, 0.82), 1.11 (SD, 0.58), and 55.4 nmol/L (SD, 26.7), respectively. On a relative scale, 85.8%, 81.3%, and 76.2% of the decrease from baseline until 12 weeks was achieved at 2 weeks and 86.7%, 85.5%, and 87.8% at 4 weeks after CHC cessation, respectively. Levels were not meaningfully modified throughout the study period among 28 control women. In conclusion, CHC cessation is followed by a rapid decrease in estrogen-related thrombotic biomarkers. Two to 4 weeks of cessation before planned major surgery or withdrawal of anticoagulants in patients with VTE appears sufficient for the majority of women. The trial is registered at www.clinicaltrials.gov as #NCT03949985.
Introduction
Combined hormonal contraceptives (CHCs) include combined oral contraceptives, vaginal rings, and transcutaneous patches. Apart from a very effective and flexible contraceptive effect, they decrease the risk of iron deficiency anemia and endometrial and ovarian cancers and alleviate pelvic pain and cutaneous disorders.1 As such, they remain the most prevalent contraceptive in Europe and North America, used by >1 of 6 women of reproductive age,2 and the number of users worldwide is increasing.
However, CHCs cause vascular harm, especially venous thromboembolism (VTE). VTE, a combination of deep vein thrombosis and pulmonary embolism, is associated with significant short-term and long-term morbidity and mortality. Compared with nonusers, users of CHC have an average threefold increased incidence of VTE, resulting in 1 VTE event created for every 300 to 2500 women treated with CHC for 1 year.3
The management of CHC with regard to VTE risk is complex, and important information is lacking to guide clinical practice.4 In particular, the time to normalization of the increased VTE risk after CHC cessation is ill determined, based on old studies exploring individual coagulation factors (fibrinogen, factor VII [FVII], FX, and antithrombin) that are not estrogen specific.5,6 This knowledge is critical to implement the proposal by several national guidelines to stop CHCs before major surgery, gender-affirming surgery, or even planned immobility.7-9 Further, after a CHC-associated VTE event, understanding the persistence of estrogen-related VTE risk would inform how long before discontinuation of anticoagulation the CHC may be stopped.
Our objective was to longitudinally evaluate the risk of VTE associated with CHC after its cessation, using validated surrogate biomarkers providing an inference of thrombotic risk, in the PILL-OFF cohort.
Methods
The PILL-OFF study consisted of a monocentric, observational cohort of adult women and was set at the Geneva University Hospitals, Geneva, Switzerland, between 2018 and 2020. We obtained ethics approval (Commission Cantonal d'Ethique de la Recherche, Geneva, Switzerland, #2018-00448), and individual written consent from all participants.
Population
Women aged 18 to 50 years who were using a CHC for at least 3 months and had decided to stop it or switch to progestogen-only pills or an intrauterine device (IUD) were eligible for participation. For a control group, we recruited women aged 18 to 50 years who were not using a CHC and not planning to start a CHC within 3 months or were long-term users of progestogen-only pills or IUD. Exclusion criteria were a personal history of VTE, a known thrombophilia, an ongoing anticoagulant treatment, a recent pregnancy or breastfeeding period (<3 months), and any recent (<6 weeks) medical history (fracture, infection, hospitalization, surgery, cardiovascular event, and cancer).
Women were informed and recruited through different channels from July 2018 to June 2020. Within the Geneva University Hospitals, we posted study flyers on the intranet website and information walls. We also used sponsored posts on social media (Facebook or Instagram), targeted at women aged 18 to 50 years within the Geneva area.
Women were excluded during the study period in case of pregnancy or a major medical/surgical event prone to influence the outcomes.
Definition of hormonal treatment
CHC comprised oral, vaginal, and transdermic estro-progestative contraceptive regimens.
For CHC classification, different types of estrogens, notably ethinylestradiol (EE), estradiol valerate, and 17-β-estradiol are associated with progestin derived from testosterone or progesterone. We classified preparations into second generation (EE + levonorgestrel and estradiol [E2] + dienogest or nomegestrol); third generation (EE + desogestrel or gestodene); and other CHC (EE + cyproterone acetate, drospirenone, chlormadinone, or dienogest; transcutaneous patch combining EE + norgestimate; and vaginal ring combining EE + etonogestrel).
Study procedures
At baseline, in the estrogen group, we collected relevant demographic and medical information from direct interviews and sampled blood before cessation of CHC. Participants were invited for in-person follow-up visits at 1, 2, 4, 6, and 12 weeks after the date of CHC stop for blood sampling. We enquired for possible medical/surgical events at each visit. A pregnancy urinary test was performed at the last visit (week 12). In the control group, women were seen at baseline, 4 weeks, and 12 weeks with similar procedures.
Blood was sampled after a period of rest through a peripheral phlebotomy in a nonfasting state into 0.109 M citrate tubes (BD Vacutainer, Plymouth, United Kingdom), after the discard of the first few milliliters. Blood was centrifugated (1700g for 10 minutes) for serum and double-centrifuged (2 × 2500g for 10 minutes) for plasma within 60 minutes after the collection, and then aliquots were frozen at −80°C.
Outcomes
The selection of outcomes was driven by previous literature. Sensitivity of thrombin generation to the activated protein C (APC) pathway is a well-documented surrogate biomarker of estrogen-related VTE risk, for both contraceptives and hormone therapy.10 It is associated with VTE risk among CHC users and non-CHC users. Levels of sex hormone–binding globulin (SHBG) also parallel VTE risk among CHC users.11,12 These biological end points are used to infer risks of VTE for new preparation of CHC.13,14
Therefore, our primary outcomes were changes in thrombin generation–based normalized sensitivity ratio to activated protein C (nAPCsr) and to thrombomodulin (nTMsr). Measures of nAPCsr and nTMsr were normalized to a mean of values among controls of 1. Prespecified secondary outcomes were changes in levels of SHBG and, for mechanistic insight purposes, changes in levels of protein C, protein S, antithrombin, and FVIII. Fibrinogen levels were initially planned but discarded because of lack of strong scientific rationale. As a post hoc analysis, we also explored raw levels of thrombin generation (endogenous thrombin potential [ETP] and peak values), without APC or TM.
Laboratory analyses
Thrombin generation was studied with the calibrated automated thrombogram method (Stago) using a fluorimeter (Fluoroscan Ascent; Thermo Lab Systems) equipped with an automatic dispenser.15 Coagulation was initiated with 5 pM tissue factor (TF) and 4 μM phospholipids (platelet-poor plasma reagent, Stago), with Thrombin Calibrator (Thrombinoscope BV) for calibration of each patient’s sample. A final TF concentration of 5 pM was chosen because it is the most studied, in particular, when the APC-operated negative feedback is taken into account. In addition, those experimental conditions (TF 5 pM + TM) were shown to be sensitive to elevated plasma levels of FVIII.16 All plates (Immulon 2HB, Stago) were incubated at 37°C for 10 minutes before addition of the fluorogenic substrate and calcium chloride (CaCl2; FluCa-Kit, Stago), and tests were performed in triplicates. Preliminary experiments allowed us to determine the final concentration of APC (3 nM; Stago) and rabbit lung TM (2 nM; BioMedica Diagnostic Inc), each added to the PPP reagent, needed to reduce by 90% the ETP of healthy controls’ plasmas. We used a pooled, commercial normal plasma as the control for nAPCsr and nTMsr. For each assay, lag time, thrombin peak height, ETP, and velocity index were calculated. Raw data were analyzed with Thrombinoscope V5 software (Stago). At the time of data cleaning, invalid results (ie, uninterpretable curves) were discarded. Of all measurements, 83.0% of nAPCsr and 91.0% of nTMsr were retained, among those who stopped using CHCs. The intraassay and interassay coefficients of variation for ETP were 2.8% and 5.9%, respectively.
All participants were screened for abnormal resistance to APC using a partial thromboplastin time–based assay, and those with an abnormally high resistance underwent characterization for rs4025 mutation (FV Leiden).
All analyses were performed at the Geneva University Hospitals in the hemostasis laboratory except SHBG. Coagulation assays were performed on an automated Atellica Coag 360 (Siemens) system, using the following reagents: FVIII–deficient plasma (Siemens) for FVIII, Staclot protein C (Stago) for coagulant activity of protein C, Asserachrom free protein S (Stago) for free protein S antigen, and Berichrom antithrombin (Siemens) for antithrombin activity. All measurements were made by laboratory technicians who were blinded to the type of contraception use and the study follow-up visits.
The SHBG assays were performed at the Hospices Civils de Lyon Hospital in the biochemistry laboratory using the SHBG–RIACT kit (CisBio International). The intra-assay coefficient of variation was 7% and 5% at 24 and 67 nmol/L, and the interassay coefficient of variation was 7.5% and 9.2% at 20 and 61 nmol/L, respectively. There were no missing data for SHBG.
Statistical analyses
Baseline demographic and medical data are presented as means and standard deviation (SD) or counts (percentage), whenever appropriate. We summarized laboratory outcome values as means (SD) at all study visits and also presented nAPCsr, nTMsr, and SHBG as medians in a boxplot. Then, for each of the estrogen-specific biomarkers (nAPCsr, nTMsr, and SHBG), we (1) calculated the absolute difference between the means at baseline and 12 weeks, (2) calculated the difference between the means at each visit and baseline, and (3) expressed those values as a percentage of the absolute difference between baseline and week 12. The control group was used to ascertain the lack of longitudinal changes in the outcomes, in the absence of estrogenic influence, and to study reproducibility in a future analysis. Levels of the primary outcome and SHBG at 12 weeks were compared between those who stopped using CHCs and controls using Welch t tests. In unplanned, exploratory analyses, we compared levels of estrogen-specific biomarkers and coagulations factors (FVIII, antithrombin, protein C, and protein S) between baseline and 12 weeks using paired t test in (1) CHC stoppers and (2) controls. In sensitivity analyses, we restricted the sample to participants with all available measures of nAPCsr or nTMsr. We conducted post hoc analyses to explore differences in the time to decrease of nAPCsr, nTMsr, and SHBG in 5 subgroups of those who stopped using CHCs to assess modification by oral vs nonoral contraceptives and by the generation of CHC and to assess the generalizability of our findings in strata of body mass index (BMI; <25 vs ≥25 kg/m2), race/ethnicity (White vs non-White), and age (<30 years vs ≥30 years).
A convenience sample size of at least 50 estrogen users and 25 nonestrogen users was planned to allow for precision and generalizability of the findings.
The level of statistical significance was set at a 2-sided level of .05. No correction for multiplicity testing was applied. We report the number of available data for each variable at each time point. Missing data were not imputed. Analyses were performed with R software (R Foundation for Statistical Computing, Vienna, Austria; https://www.R-project.org/).
Results
Seventy-four of 100 eligible women who had decided to stop their CHC and 29 of 67 eligible women without CHC participated in the study. During the follow-up, 8 and 1 participants in the estrogen and control group were excluded, respectively, because of loss to follow-up (n = 5), pregnancy (n = 1), and temporary cessation of study follow-up in the first COVID-19 pandemic wave (n = 3). The follow-up was complete for 61 of 66 women who stopped using CHCs (5 participants with 1 missed visit) and in 28 of 28 controls.
Participants were apparently healthy, mainly of Caucasian origin, and with an average age of 27.2 (SD, 6.5) and 30.9 (SD, 8.5) years for those who stopped using CHCs and controls, respectively (Table 1). Users of CHC had taken their estrogenic contraceptive for a median duration of 3.2 years (interquartile range [IQR], 1.7-6.5 years). The distribution of types of contraceptives and of progestogens was wide and included 11 users of nonoral CHC. The 66 women who stopped CHC replaced their contraceptives with nothing or condoms (n = 42), a nonhormonal IUD (n = 11), or a microprogestative contraceptive (IUD, pill, or implant; n = 13).
The baseline measurements were recorded, on average, at the 2.9th week of contraceptive cycle, and for 6 participants, during their fourth (placebo) week (day 1, n = 3 and day 3-5, n = 3). Study visits occurred after a median of 7 days (IQR, 7-8 days) after CHC cessation for visit 1, 14 days (IQR, 14-15 days) for visit 2; 28 days (IQR, 27-29 days) for visit 4; 42 days (IQR, 41-43 days) for visit 6; and 84 days (IQR, 83-85 days) for visit 12, after CHC cessation.
Two women who stopped using CHCs were found to be heterozygous carriers of FV Leiden and were not excluded.
nAPCsr and nTMs
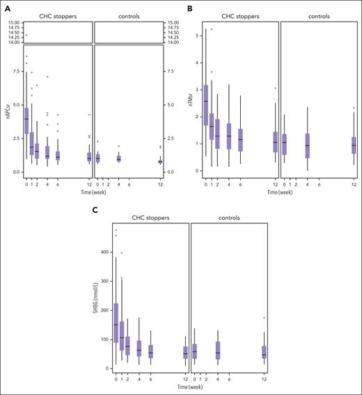
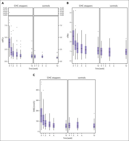
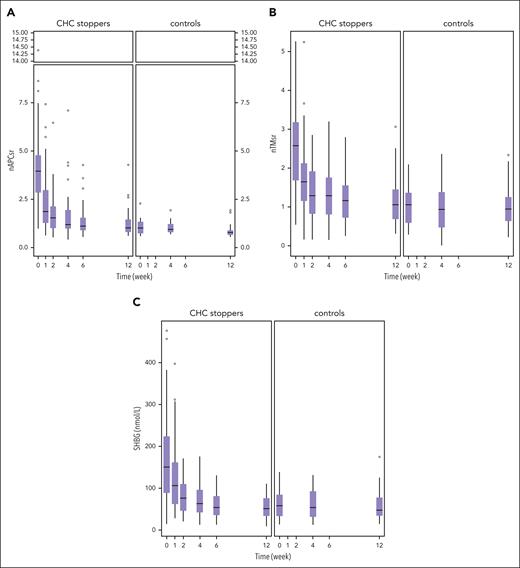
As expected, among women using CHCs, there was a marked resistance to APC and TM, with nAPCsr at 4.11 (SD, 2.06) and nTMsr at 2.53 (SD, 1.04) at baseline, which improved during the 12 weeks of study (Table 2; P < .001 for both). Compared with other progestogen generation, users of second-generation progestogen had lower levels of nAPCsr (3.70 vs 4.60) and nTMsr (2.27 vs 2.84) at baseline (supplemental Figure 2B, available on the Blood website). During the follow-up, levels of nAPCsr and nTMsr decreased in a concordant manner (box plot in Figure 1; spaghetti plot in supplemental Figure 1). The decrease was sharp during the first 2 weeks after CHC cessation. At that time, we estimated that 85.8% and 81.3% of the decrease (from baseline to 12 weeks) was achieved for nAPCsr and nTMsr levels, respectively (Figure 2; Table 2). Levels continued to decrease until their lowest values, at 12 weeks of follow-up.
Box plots of median measures. nAPCsr (A), nTMsr (B), and SHBG (C) among those who stopped using CHCs (left) and controls (right).
Box plots of median measures. nAPCsr (A), nTMsr (B), and SHBG (C) among those who stopped using CHCs (left) and controls (right).
Relative decrease at each time point of nAPCsr, nTMsr and SHBG, from baseline to 12 weeks among those who stopped using CHCs.
Relative decrease at each time point of nAPCsr, nTMsr and SHBG, from baseline to 12 weeks among those who stopped using CHCs.
In sensitivity analyses restricted to participants with all available measures of nAPCsr (n = 34) or nTMsr (n = 45), similar results were observed (supplemental Table 1).
Controls had lower levels of nAPCsr and nTMsr at baseline than those who stopped CHC use, with no meaningful changes throughout the study period (Table 3); levels of nAPCsr were marginally decreased at 12 weeks (P = .048) but not of nTMsr (P = .32).
At 12 weeks, levels of nTMsr were not different between those who stopped using CHCs and controls (difference, +0.09; 95% confidence interval [CI], –0.17 to 0.35; P = .48), but levels of nAPCsr were somewhat higher in those who stopped using CHCs than in controls (difference, +0.38; 95% CI, 0.07-0.69; P = .02).
SHBG
As mentioned earlier, we found among those who stopped using CHCs, high levels of SHBG at baseline (167.0 nmol/L; SD, 103.0) that decreased over the study period to 55.4 nmol/L (SD, 26.7; Table 2; P < .001). This decrease mimicked that of the resistance to protein C and TM, with 76.2% of the total decrease achieved at 2 weeks after CHC cessation (Figures 1 and 2). At baseline, the mean level of SHBG was 115 nmol/L (SD, 69) in women using second-generation progestogen and 229 nmol/L (SD, 103) in women using other CHCs. There was no change in SHBG levels among controls (P = .99; Table 3). Levels at 12 weeks were not different between those who stopped using CHCs and the controls (difference, −6.5; 95% CI, −22.6 to 9.6; P = .42).
Coagulation factors
Levels of FVIII and protein C decreased after CHC cessation, from 109% (SD, 27) and 112% (SD, 23) at baseline to 98% (SD, 25) and 102% (SD, 23) 12 weeks after cessation, respectively (P < .001 for both), whereas the levels of protein S increased from 85% (SD, 14) to 90% (SD, 13; P = .004; Table 4). Changes seemed to occur within 1 week after stopping CHC for FVIII and within 4 weeks for protein C and for protein S.
Levels of antithrombin showed no clinically relevant or statistical change (P = .34).
Among controls, levels of FVIII, antithrombin, protein C, and protein S were stable during the study period, with no statistical evidence for a change (P = .57, .50, .60, and .23, respectively).
Other thrombin generation parameters
Among those who stopped using CHCs, levels of ETP (the total amount of thrombin generated over time in nanomoles × minutes [nmol × min]) and peak values decreased from 1771 nmol × minutes (SD, 241) and 358 nM (SD, 45) at baseline, to 1406 nmol × minutes (SD, 190) and 253 nM (SD, 35) 12 weeks after CHC cessation, respectively. The decrease essentially occurred within the first 2 weeks (supplemental Table 2). Time to peak was 4.79 minutes (SD, 0.75) at baseline and 5.61 minutes (SD, 0.98) 12 weeks after cessation. In contrast, values among controls were stable over time.
Subgroup analyses
The rate of decrease of nAPCsr, nTMsr, and SHBG was not different between oral and nonoral contraceptives, and between generation of progestins (supplemental Figure 2A-B). Furthermore, we did not find meaningful differences in the primary findings in subgroup analyses based on BMI, race, and age (supplemental Figure 2C-E).
Discussion
In this prospective cohort, we found that the majority of the elevation of estrogen-induced hemostatic biomarkers decreased within 2 to 4 weeks after stopping CHCs. These results were very coherent between 3 different estrogen-induced biomarkers (resistance to APC, TM, and SHBG) and with raw thrombin generation analyses. In secondary mechanistic analyses, levels of FVIII decreased rapidly, whereas those of protein S increased within 4 weeks.
Our previous knowledge in this field was based on very weak evidence. In 1987, Bonnar et al followed up 86 women before, during, and after a 42-week treatment with CHC-containing mestranol 50 μg or ethinylestradiol 30 μg.5 At 6 weeks after stopping CHC, levels of FVII and antithrombin had regained their pre-CHC values. In 1991, Robinson et al longitudinally followed up 24 women using a third-generation CHC for 3 months after the cessation of the pill.6 They evaluated individual coagulation factors, with heterogeneous results: the increase in fibrinogen levels associated with CHC disappeared 1 week after CHC cessation, but the increase in FX appeared to remain until 6 weeks. Inference from this study was limited, particularly with the lack of global surrogate biomarkers. In 1999, Rosing et al evaluated nAPCsr once at ∼6 to 8 weeks after cessation of CHC (with levonorgestrel or desogestrel).17 The levels of nAPCsr was still slightly greater (mean, 1.47) than that before starting the CHC (mean, 1.33), in a fashion similar as our data. More recently, Westhoff et al investigated thrombin generation and nAPCsr at different times of the pill cycle among 17 users of a second-generation CHC.18 One week after the last active pill, raw ETP and nAPCsr measurements were still above the baseline values. The authors state that thrombin generation parameters returned to baseline after a 1-month washout, however, without showing data. To the best of our knowledge, our longitudinal prospective cohort evaluating contemporary estrogen-specific biomarkers offers the best data to infer clinical guidance, to date, with a relatively large sample and a wide range of contraceptive regimens.
In secondary analyses, we found changes in levels of FVIII, protein C, and protein S but not antithrombin. In the large longitudinal study of the Oral Contraceptive and Hemostasis Study Group in the 1990s, those who started CHC use were randomized to different regimens of second and third generation of combined oral contraceptives, with EE doses ranging from 20 to 50 mg.19 After 6 months, absolute levels of FVIII and protein C increased by ∼15% to 20% and ∼8% to 17%, respectively, whereas those of free protein S decreased by ∼4% to 20%. Concordantly, in our study, levels of FVIII and protein C decreased by 11% and 10%, respectively, and levels of free protein S increased by 5% after CHC cessation. It appeared that FVIII decreased sharply in the first week after CHC termination and may be an important factor explaining the fast decrease of thrombin generation and resistance to APC and TM. We did not measure fibrinogen and FVII, known to increase with CHC,19 and TF pathway inhibitor, known to decrease with exogenous estrogens20 and to be an important determinant of sensitivity to APC and TM.15
The inclusion of a control group adds validity to our data. Its lack of meaningful change in the measured biomarkers throughout the study period demonstrates that the observed changes in those who stopped using CHCs are not explained by different time delays for the analyses. Furthermore, levels of nTMsr and SHBG were similar between those who stopped using CHCs and the controls at 12 weeks. The marginal decrease in nAPCsr among controls and the somewhat greater nAPCsr in those who stopped using CHCs than in controls are most likely related to a statistical bias because of potential missingness of nAPCsr values at 12 weeks. Moreover, the nonestrogenic contraceptives used by some controls and those who stopped using CHCs in the follow-up period, and the menstrual cycles are known not to modify the measured biomarkers.12,16
Our study helps inform clinical practice about the management of CHC before a major surgery and at the time of VTE. The perioperative cessation of CHC is controversial. Observational data, derived from routinely collected data, are contrasted between studies that show an association between CHC use with risk of postoperative VTE and those that do not.9,21,22 From an epidemiological point of view, it creates little doubt that CHC use should increase the risk of postoperative VTE, but the incremental absolute risk depends on surgical factors and other concomitant individual risk factors. This has led to various guidance for the perioperative use of CHCs. In the United Kingdom, the Faculty of Sexual & Reproductive Healthcare advised in 2019 to stop CHCs or switch to an alternative contraception at least 4 weeks before planned major surgery (low level of evidence). The American College of Obstetrics and Gynecology states that the use of CHCs is contraindicated for patients undergoing major gynecological surgery with anticipated prolonged immobilization but advises against stopping CHCs if the patient is expected to be ambulatory postoperatively.7 For the World Health Organization, similarly, contraceptives should be stopped before major surgery with prolonged immobilization, without informing the time of stopping.23
Practice patterns vary according to procedure and surgeons, and women are likely reluctant to temporarily stop their CHCs, particularly those with noncontraceptive indications. Our data showing a fast decrease of the estrogen-related thrombotic biomarkers suggest that if the decision to stop CHC perioperatively is made, a short-term (2 to 4 weeks) preoperative cessation is enough for most patients. Although the study sample was mostly representative of White young women who were not overweight, the applicability of our data to different women is likely, without meaningful signals of differences across subgroups of race, age, and BMI or the type of CHC.
CHC-associated VTE represents almost half of all VTE events in women of reproductive age. It is well-known that exogenous estrogens need to be stopped after a VTE event. If continued without anticoagulation, women are exposed to a fourfold to eightfold increased risk of recurrent VTE.24,25 There is, however, a current trend to not stop CHCs at the time of VTE in order to decrease the risks of unwanted pregnancies and perhaps abnormal uterine bleeding4,26 as well as continue for some time during the period of therapeutic anticoagulation. Based on our study, stopping CHCs 2 to 4 weeks before the planned day of cessation of anticoagulation may be safe for most women. Because we still observed a small decrease in the estrogen-related thrombotic biomarkers from week 6 to week 12 after CHC cessation in women deemed at greater risk of recurrent VTE or in fragile situations, a 3-month window between the cessation of CHC and that of therapeutic anticoagulation may be preferable.
The strengths of our study are its prospective design, the use of validated surrogate biomarkers of thrombotic risk, and the large sample size and variety of CHCs. As limitations, we acknowledge the need for inference of clinical thrombotic risks from these biomarkers and missing data in the nAPCsr measurements. We did not conduct subgroup analyses according to the type of estrogen, and we acknowledge that newer preparations, such as those with estetrol, were not used by our participants.
In conclusion, CHC cessation is followed by a rapid decrease in estrogen-related thrombotic biomarkers, especially during the first 2 weeks. This finding may inform clinical decision making and future guidelines.
Acknowledgments
This work could not have been accomplished without the help and implication of the medical staff and paramedics of the Gynecology and Angiology and Hemostasis Departments of the University Hospitals of Geneva. The authors are thankful to Cécile Guillot, Laurence Fonteneau, Oana Bulla, Céline Flickentcher, Julie Benard, Raquel Novoa, and the technicians of the Haemostasis Laboratory of the University Hospitals of Geneva for their contribution in the project. The authors particularly thank Véronique Raverot for her help with the measurements of SHBG (Hospices Civils de Lyon, Laboratoire de Biologie Médical Multi Sites, Service de Biochimie et Biologie Moléculaire, Hormonologie, Bron, France, and Neuroscience Research Center, Waking team, INSERM Unité Mixte de Recherche 1028, Université de Lyon, Bron, France). Finally, the authors also thank Thomas Lecompte for his expert guidance throughout this project.
The project was funded by a “Projets Recherche & Développement” grant from the Geneva University Hospitals.
Authorship
Contribution: M.B., A.C., P.F., I.S., and J.H.-R. designed the research; M.B., A.C., and J.H.-R. collected the data; A.P. performed the statistical analyses and provided access to primary data to all authors; M.B. and J.H.-R. wrote the first draft of the manuscript; and all authors interpreted the data, provided substantial critique, and approved the submitted manuscript.
Conflict-of-interest disclosure: The authors declare no competing financial interests.
Correspondence: Marc Blondon, Division of Angiology and Hemostasis, Geneva University Hospitals and Faculty of Medicine, Angiology and Haemostasis, Gabrielle-Perret-Gentil 4, 1205 Geneva, Switzerland; email: marc.blondon@hcuge.ch.
References
Author notes
Data are available on request from the corresponding author, Marc Blondon (marc.blondon@hcuge.ch).
The online version of this article contains a data supplement.
There is a Blood Commentary on this article in this issue.
The publication costs of this article were defrayed in part by page charge payment. Therefore, and solely to indicate this fact, this article is hereby marked “advertisement” in accordance with 18 USC section 1734.





