Abstract
MLL amplification was recently recognized as a recurrent aberration in acute myeloid leukemia (AML) and myelodys-plastic syndrome (MDS), associated with adverse prognosis and karyotype complexity. Here we present detailed results of fluorescence in situ hybridization (FISH) and expression analyses of MLL and 5 selected 11q candidate oncogenes (CBL, DDX6, ETS1, FLI1, and PLZF) in 31 patient samples and one cell line with 11q23 gain. FISH analyses revealed that the 11q23 amplicon invariably encompassed MLL, DDX6, ETS1, and FLI1, whereas expression analyses identified MLL and DDX6 as the most differentially expressed genes among samples with and without 11q23 copy gain or amplification. In MLL-amplified samples, a significant transcriptional up-regulation of MEIS1, PROML1, ADAM10, NKG2D, and ITPA was noted. Further analyses, designed to elucidate a possible role of the 11q overexpressed genes (MLL, DDX6, FLI1, and ETS1) in unselected MDS and AML samples, revealed a significant upregulation of MLL in MDS. Our findings confirm the MLL gene as a prominent target of 11q23 amplification and provide further evidence for an etiologic role for MLL gain of function in myeloid malignancies. In addition, our results indicate that the transcriptional program associated with MLL rearrangements and MLL overexpression displays significant similarities.
Introduction
Genomic amplification is a frequently encountered acquired genetic aberration in malignant proliferations and typically leads to inappropriate (over)expression of one or more oncogenes located within the amplicon (for a review, see Schwab1 ). Cytogenetically, genomic amplification is most frequently apparent from the presence of homogeneously staining regions and double minute chromosomes. In contrast to solid tumors, genomic amplification is rarely detected in hematologic malignancies. Genes that have drawn particular interest in acute myeloid leukemia (AML) and myelodysplastic syndromes (MDSs), with respect to genomic overrepresentation, are MYC, ETV6, MLL, and RUNX1 (AML1, CBFA2) and ribosomal RNA genes.2-9 For any of these genes, however, an oncogenic role of copy number gain or amplification in myeloid malignancies has not been demonstrated so far.
Recently, 11q23 overrepresentation was described as a new cytogenetic entity in myeloid malignancies. In cases with 11q23 amplification, the MLL gene was consistently shown to be amplified,2,5,7,10-14 although double minute chromosomes containing more distally located sequences have been described occasionally.15,16 Using fluorescence in situ hybridization (FISH) with MLL flanking probes, 2 distinct patterns were identified: MLL amplification on homogeneously staining regions or double minutes and MLL low-copy gain due to the retention of MLL copies on extra or derivative chromosomes 11. In view of the consistent overrepresentation of MLL in the reported leukemias with 11q23 gain or amplification and given the putative gain of function of the gene as a result of fusion with various partner genes, this oncogene was assumed to be a prime target that drives the 11q23 amplicon formation.
Thus far, the role of MLL (and flanking candidate oncogenes) in the various structural defects leading to 11q23 gain or amplification has remained largely unexplored. To better characterize the consequences of 11q23 overrepresentation, we studied the expression patterns of several oncogenes located within the amplified region. Besides MLL, we analyzed the expression of CBL, DDX6, ETS1, FLI1, and PLZF, which were selected from a 20-Mb genomic interval encompassing MLL. Genes that were highly overexpressed in 11q23-amplified malignancies were then studied in a series of unselected patients with AML and MDS with diploid 11q23 status to evaluate their possible contribution to the leukemic phenotype. Because our current understanding of leukemic transformation mediated by MLL fusion genes supports a role for MLL gain of function and because MLL rearranged leukemias were recently shown to be characterized by specific gene expression profiles,17-20 we explored possible transcriptional similarities in MLL rearranged and MLL overexpressing samples. To this purpose we investigated the expression of selected genes, overexpressed in MLL rearranged leukemias (MEIS1, FLT3, PROML1, ADAM10, CCNA1, LMO2, NKG2D, and ITPA),17-19 in relation to the genomic overrepresentation and overexpression of MLL.
Patients, materials, and methods
Patient samples
Samples from patients with MDS or AML and MLL copy gain or amplification were collected retrospectively from 9 genetic centers. Samples were considered eligible for inclusion based on the presence of 3 or more copies of the MLL gene, demonstrated by FISH. Samples displaying MLL rearrangement, as demonstrated either by FISH or Southern blot, were excluded from the analyses. Table 1 summarizes the characteristics of the patients. The initial sample set, used to identify 11q23 overexpressed genes, included normal bone marrow (n = 9), AML samples with normal karyotypes (n = 8), and samples with increased MLL copy number (groups A, B, and C; see “Results,” n = 31). This sample set was also used to analyze the expression levels of the genes, overexpressed in MLL rearranged leukemia. Further quantification of 11q up-regulated genes was performed in a series of unselected patients, diagnosed with AML (n = 11) or MDS (n = 11), and normal bone marrow samples (n = 14). Patient characteristics from this separate patient cohort are given in Table 2.
Clinical characteristics and cytogenetic findings in patients with MLL amplification
Case no. . | Age, y . | Sex . | Diagnosis* . | Group† . | Type . | Karyotype‡ . | Ref§ . |
|---|---|---|---|---|---|---|---|
| 1 | 68 | M | MDS/RAEB | A | — | 47, XY, der(1)t(1;20)(p34;q?), der(2)(:2p?12 → 2q11.2::17::7q31 → 7qter), der(7)(:2q11.2 → 2q37::7p22 → 7q22), der(11)(qter → q?::p? → qter), +der(11)del(11)(p12)del(11)(q13q23), der(17)t(17;20), +der(17), -20 | 7 (30) |
| 2 | 63 | M | AML M0 | C | — | 45, XY, der(2)t(2;18)(p13;p11.?3), del(5)(q13q33), der(7)t(7;11), dup(11)(pter → q24::q?24 → q?), der(11;12)(q10:q10), der(13)t(7:13)(q?;q21), +der(13)t(7;13), -16, der(17)t(2;17)(p13;q21), der(17)t(7;17)(?;q24), der(18)t(18;20)(q?;p11.2), der(20)t(7;20) | 7 (26) |
| 3 | 76 | M | AML M2 | C | — | 46, XY, dic(1;19)(19pter → 19qter::1p36 → 1p13::19p12 → 19q13.1::1p36 → 1qter), der(5)t(5;17)(q13;q11.2 ∼ q22), dup(11)(pter → q24::q?24 → q?), der(17)r(5;17), -19, i(22)(q10), +i(22) | 7 (35) |
| 4 | 75 | F | AML M2 | C | CT, RT | 46, XX, del(3)(p12p21), del(5)(q24q34), i(9)(p10), del(11)(q14), +1 ∼ 23dmin | — |
| 5 | 76 | M | AML M2 | B | PM? | 45, XY, dic(5;18)(q13;p11.2), r(11)(p15q25), +dicr(11;11)(p13q25;p13q25), -13, ins(16;11)(p13;?), der(17)t(13;17)(q?;q25) | — |
| 6 | 64 | F | AML M2 | A | — | 49, XX, +X, der(4)t(4;18)(q24;q?), +der(4)t(4;18)(q24;q?), del(5)(q13q31), -7, +8, +10, der(12)t(4;12)(q24;p13), der(16)t(11;16)(?;q21), der(18)del(18)(p11)del(18)(q11) | — |
| 7 | 61 | M | AML M4 | A | — | 46, XY, der(11)t(11;11)(p15;q11) | — |
| 8 | 63 | M | AML M1 | B | — | 48, XY, der(4)t(4;21)(q35;q?), +5, del(5)(q13q33), der(6)(6pter → 6q11::17? → 17?::21? → 21?::6q11 → 6qter), der(8)t(8;21)(p23;q?), +der(11), +r(11), -17, der(21)t(17;21)(?;q11.2) | — |
| 9 | 58 | F | MDS/RAEB | A | RT | 47 ∼ 48, X, t(X;5)(q13;q13), del(5)(q15q31), +6, der(11)dup(11)(q13q23)t(11;21)(q25;q11), +r(11)×3, -18, -21 | — |
| 10 | 72 | M | AML M1 | A | — | 47 ∼ 49, XY, -2, dic(5;17)(q11;p11), der(7)t(2;7)(q11;q11)t(2;12)(q37;q12), +8, +r(11)×3, der(12)t(2;12)(?;q12), +13 | — |
| 11 | 71 | M | AML | A | RE | 49, XY, der(2)t(2;16)(p25;?), -5, r(5), +der(8)t(8;15)(q13;q25), +10, der(11)t(11;12), +der(11)×3, -12, +13, der(15)t(8;15)(q?;q25), der(16)t(12;16)(?;q24), -17, -18 | — |
| 12 | 66 | F | MDS/RAEB | A | — | 40, XX, -2, -3, -5, der(6;16)dic(6;16)(q16;p13)t(2;16)(?;q24), r(7)(p12q11.2), i(11)(q10), der(12)t(12;21)(p12;q?)t(3;21)(p22;?), -13, der(15)t(3;15)(q21;p10), der(17)t(13;17)(q11;p12), der(21;22)(q10;q10) | — |
| 13 | 67 | M | AML M2 | B | — | 45, XY, del(5)(q13q31), der(11)t(11;11)(q23;q?), -15 | — |
| 14 | 65 | F | AML M2 | A | — | 43, X, -X, der(5)t(5;7)(p11;q32)del(5)(q13q31), der(7)t(5;7)(p11;q32), qdp(11)(q23q25), -17, -18 | — |
| 15 | 61 | M | AML M4 | B | CT | 46, XY, del(5)(q13q31), der(22)ins(22;11)(q11;q?q?) | — |
| 16 | 84 | F | AML M2 | A | — | 44, XX, der(5)t(5;17)(q11;q11), der(11)t(11;22)(q23;q11)dup(11;22)(q22q23;q11q13), +der(11)dup(11)(q22q25)t(11;22)(q23;q11)dup(11;22)(q22q23;q11q13), dic(12;15)(p11;p11), -17, -22 | — |
| 17 | 57 | F | AML M4 | B | — | 48, XX, +der(11), +der(11) | — |
| 18 | 43 | M | AML M2 | B | PM? | 44, XY, del(5)(q13q33), dic(6;17)(p23;p13), der(11), -18 | — |
| 19 | 64 | M | AML M1 | A | PM | 46, XY, der(17)t(11;17)(q13;p13) | — |
| 20 | 26 | F | AML M4 | A | — | 46, XX, del(5)(q13q33), der(11)t(11;17)(p15;q21), +r(11)(p11q25), -17 | — |
| 21 | 63 | M | AML M2 | A | — | 42, XY, der(5)del(5)(p15)del(5)(q13), -7, der(12)t(12;16)(p11;p11), ins(12;5)(p13;q?q?), -16, -18, der(22;22)(p10;p10) | — |
| 22 | 82 | M | AML M1 | A | — | 44, XY, del(5)(q31), der(5)t(5;17)(q13;q?), trp(11)(q14q25), -17, der(17)t(5;17)(q?;q25), -8 | — |
| 23 | 46 | F | MDS/RAEB-T | B | CT | 44, XX, -5, der(7)t(5;7)(p11;p11)t(5;7)(q13;q22)t(5;7)(q23;q34), -11, der(18)t(11;18)(?;p12.2) | — |
| 24 | 46 | F | AML M2 | B | — | 42, X, -X, -3, der(5)t(5;17)(q11;q11)ins(5;11)(p13;?), -9, del(11)(p11.2), r(11), +der(11)dup(11)(q?q?)t(11;21)(q?;q?)t(3;21)(q11;q?), -17, -21 | — |
| 25 | 80 | M | AML M0 | B | — | 42∼43, XY, -3, der(5)t(5;19)(q11.2;?), del(6)(p22), der(9)t(6;9)(p22;q34), der(11;15)(q10;q10), der(12)t(12;19)(p11;?), -17, -19, der(20)t(11;20)(q2?3;q13.3) | — |
| 26 | 74 | F | AML M1 | B | — | 49, X, t(X;1)(p11;p11), t(1;22)(q31;q12), der(3)t(3;11)(q12;q21∼23), del(5)(q21q31), der(6)(17pter→17p1?::15q2?1→q11::14q32→q11::6p23→6qter), der(7)t(6;7)(p23;q22), +der(8)t(3;8)(q21;q24), +r(11), -14, +15, ider(15)(q10)t(11;15)(q13;q?)×2, der(17)t(15;17)(q2?1;p1?), +22 | — |
| 27 | 58 | M | AML M5A | C | — | 45, XY, ins(4;11)(q2?;q?q?), del(5)(q13q33), dup(11)(q?q?), der(12)t(11;12)(q?;p11.2)hsr(11)(q23), -16 | — |
| 28 | 80 | M | AML M1 | A | — | 44, X, -Y, del(5)(q13q33), der(5)t(5;11)(q35;q13), -7, der(21)(21pter→21q2?1::7?::21q?::7?::21q?::7?::21q?::7?) | 10 (3) |
| 29 | 48 | M | AML M2 | B | PM | 45∼46, XY, der(5)t(5;17)(q11;q11), r(11;11)(p15q25;11q?), -17, +mar | 10 (15) |
| 30 | 68 | F | AML M2 | A | — | 45, XX, inv(4)(p15.3q23), inv(5)(p15.3q11.1), der(5)del(5)(q13q35)t(5;13)(q13;q21), der(13)t(5;13)(q35;q21), der(16)t(10;16)(q22;p13), -18, der(19)t(11;19)(q13;p13.3) | 10 (24) |
| 31 | 77 | M | AML | A | — | 46, XY, t(1;21)(q31;q21), der(7)t(7;11)(p22;q23)dup(11)(q23q24), dup(11)(q23q24), +dup(11)(q23q24) | |
| UoC-M1 | — | — | — | — | — | 43X, -Y, add(5)(q13), dic(5;9)(p15;p13), -7, +der(9)t(9;19)(q11;q11), dic(9;?;16;?)(9qter-9p1?3::?::16p11-16q22::?), -11, +16, dic(16;21)(q11;p12), der(17)t(7;17)(p14;p12), -19, -19, +mar1, +mar2, +mar3 | 24 |
Case no. . | Age, y . | Sex . | Diagnosis* . | Group† . | Type . | Karyotype‡ . | Ref§ . |
|---|---|---|---|---|---|---|---|
| 1 | 68 | M | MDS/RAEB | A | — | 47, XY, der(1)t(1;20)(p34;q?), der(2)(:2p?12 → 2q11.2::17::7q31 → 7qter), der(7)(:2q11.2 → 2q37::7p22 → 7q22), der(11)(qter → q?::p? → qter), +der(11)del(11)(p12)del(11)(q13q23), der(17)t(17;20), +der(17), -20 | 7 (30) |
| 2 | 63 | M | AML M0 | C | — | 45, XY, der(2)t(2;18)(p13;p11.?3), del(5)(q13q33), der(7)t(7;11), dup(11)(pter → q24::q?24 → q?), der(11;12)(q10:q10), der(13)t(7:13)(q?;q21), +der(13)t(7;13), -16, der(17)t(2;17)(p13;q21), der(17)t(7;17)(?;q24), der(18)t(18;20)(q?;p11.2), der(20)t(7;20) | 7 (26) |
| 3 | 76 | M | AML M2 | C | — | 46, XY, dic(1;19)(19pter → 19qter::1p36 → 1p13::19p12 → 19q13.1::1p36 → 1qter), der(5)t(5;17)(q13;q11.2 ∼ q22), dup(11)(pter → q24::q?24 → q?), der(17)r(5;17), -19, i(22)(q10), +i(22) | 7 (35) |
| 4 | 75 | F | AML M2 | C | CT, RT | 46, XX, del(3)(p12p21), del(5)(q24q34), i(9)(p10), del(11)(q14), +1 ∼ 23dmin | — |
| 5 | 76 | M | AML M2 | B | PM? | 45, XY, dic(5;18)(q13;p11.2), r(11)(p15q25), +dicr(11;11)(p13q25;p13q25), -13, ins(16;11)(p13;?), der(17)t(13;17)(q?;q25) | — |
| 6 | 64 | F | AML M2 | A | — | 49, XX, +X, der(4)t(4;18)(q24;q?), +der(4)t(4;18)(q24;q?), del(5)(q13q31), -7, +8, +10, der(12)t(4;12)(q24;p13), der(16)t(11;16)(?;q21), der(18)del(18)(p11)del(18)(q11) | — |
| 7 | 61 | M | AML M4 | A | — | 46, XY, der(11)t(11;11)(p15;q11) | — |
| 8 | 63 | M | AML M1 | B | — | 48, XY, der(4)t(4;21)(q35;q?), +5, del(5)(q13q33), der(6)(6pter → 6q11::17? → 17?::21? → 21?::6q11 → 6qter), der(8)t(8;21)(p23;q?), +der(11), +r(11), -17, der(21)t(17;21)(?;q11.2) | — |
| 9 | 58 | F | MDS/RAEB | A | RT | 47 ∼ 48, X, t(X;5)(q13;q13), del(5)(q15q31), +6, der(11)dup(11)(q13q23)t(11;21)(q25;q11), +r(11)×3, -18, -21 | — |
| 10 | 72 | M | AML M1 | A | — | 47 ∼ 49, XY, -2, dic(5;17)(q11;p11), der(7)t(2;7)(q11;q11)t(2;12)(q37;q12), +8, +r(11)×3, der(12)t(2;12)(?;q12), +13 | — |
| 11 | 71 | M | AML | A | RE | 49, XY, der(2)t(2;16)(p25;?), -5, r(5), +der(8)t(8;15)(q13;q25), +10, der(11)t(11;12), +der(11)×3, -12, +13, der(15)t(8;15)(q?;q25), der(16)t(12;16)(?;q24), -17, -18 | — |
| 12 | 66 | F | MDS/RAEB | A | — | 40, XX, -2, -3, -5, der(6;16)dic(6;16)(q16;p13)t(2;16)(?;q24), r(7)(p12q11.2), i(11)(q10), der(12)t(12;21)(p12;q?)t(3;21)(p22;?), -13, der(15)t(3;15)(q21;p10), der(17)t(13;17)(q11;p12), der(21;22)(q10;q10) | — |
| 13 | 67 | M | AML M2 | B | — | 45, XY, del(5)(q13q31), der(11)t(11;11)(q23;q?), -15 | — |
| 14 | 65 | F | AML M2 | A | — | 43, X, -X, der(5)t(5;7)(p11;q32)del(5)(q13q31), der(7)t(5;7)(p11;q32), qdp(11)(q23q25), -17, -18 | — |
| 15 | 61 | M | AML M4 | B | CT | 46, XY, del(5)(q13q31), der(22)ins(22;11)(q11;q?q?) | — |
| 16 | 84 | F | AML M2 | A | — | 44, XX, der(5)t(5;17)(q11;q11), der(11)t(11;22)(q23;q11)dup(11;22)(q22q23;q11q13), +der(11)dup(11)(q22q25)t(11;22)(q23;q11)dup(11;22)(q22q23;q11q13), dic(12;15)(p11;p11), -17, -22 | — |
| 17 | 57 | F | AML M4 | B | — | 48, XX, +der(11), +der(11) | — |
| 18 | 43 | M | AML M2 | B | PM? | 44, XY, del(5)(q13q33), dic(6;17)(p23;p13), der(11), -18 | — |
| 19 | 64 | M | AML M1 | A | PM | 46, XY, der(17)t(11;17)(q13;p13) | — |
| 20 | 26 | F | AML M4 | A | — | 46, XX, del(5)(q13q33), der(11)t(11;17)(p15;q21), +r(11)(p11q25), -17 | — |
| 21 | 63 | M | AML M2 | A | — | 42, XY, der(5)del(5)(p15)del(5)(q13), -7, der(12)t(12;16)(p11;p11), ins(12;5)(p13;q?q?), -16, -18, der(22;22)(p10;p10) | — |
| 22 | 82 | M | AML M1 | A | — | 44, XY, del(5)(q31), der(5)t(5;17)(q13;q?), trp(11)(q14q25), -17, der(17)t(5;17)(q?;q25), -8 | — |
| 23 | 46 | F | MDS/RAEB-T | B | CT | 44, XX, -5, der(7)t(5;7)(p11;p11)t(5;7)(q13;q22)t(5;7)(q23;q34), -11, der(18)t(11;18)(?;p12.2) | — |
| 24 | 46 | F | AML M2 | B | — | 42, X, -X, -3, der(5)t(5;17)(q11;q11)ins(5;11)(p13;?), -9, del(11)(p11.2), r(11), +der(11)dup(11)(q?q?)t(11;21)(q?;q?)t(3;21)(q11;q?), -17, -21 | — |
| 25 | 80 | M | AML M0 | B | — | 42∼43, XY, -3, der(5)t(5;19)(q11.2;?), del(6)(p22), der(9)t(6;9)(p22;q34), der(11;15)(q10;q10), der(12)t(12;19)(p11;?), -17, -19, der(20)t(11;20)(q2?3;q13.3) | — |
| 26 | 74 | F | AML M1 | B | — | 49, X, t(X;1)(p11;p11), t(1;22)(q31;q12), der(3)t(3;11)(q12;q21∼23), del(5)(q21q31), der(6)(17pter→17p1?::15q2?1→q11::14q32→q11::6p23→6qter), der(7)t(6;7)(p23;q22), +der(8)t(3;8)(q21;q24), +r(11), -14, +15, ider(15)(q10)t(11;15)(q13;q?)×2, der(17)t(15;17)(q2?1;p1?), +22 | — |
| 27 | 58 | M | AML M5A | C | — | 45, XY, ins(4;11)(q2?;q?q?), del(5)(q13q33), dup(11)(q?q?), der(12)t(11;12)(q?;p11.2)hsr(11)(q23), -16 | — |
| 28 | 80 | M | AML M1 | A | — | 44, X, -Y, del(5)(q13q33), der(5)t(5;11)(q35;q13), -7, der(21)(21pter→21q2?1::7?::21q?::7?::21q?::7?::21q?::7?) | 10 (3) |
| 29 | 48 | M | AML M2 | B | PM | 45∼46, XY, der(5)t(5;17)(q11;q11), r(11;11)(p15q25;11q?), -17, +mar | 10 (15) |
| 30 | 68 | F | AML M2 | A | — | 45, XX, inv(4)(p15.3q23), inv(5)(p15.3q11.1), der(5)del(5)(q13q35)t(5;13)(q13;q21), der(13)t(5;13)(q35;q21), der(16)t(10;16)(q22;p13), -18, der(19)t(11;19)(q13;p13.3) | 10 (24) |
| 31 | 77 | M | AML | A | — | 46, XY, t(1;21)(q31;q21), der(7)t(7;11)(p22;q23)dup(11)(q23q24), dup(11)(q23q24), +dup(11)(q23q24) | |
| UoC-M1 | — | — | — | — | — | 43X, -Y, add(5)(q13), dic(5;9)(p15;p13), -7, +der(9)t(9;19)(q11;q11), dic(9;?;16;?)(9qter-9p1?3::?::16p11-16q22::?), -11, +16, dic(16;21)(q11;p12), der(17)t(7;17)(p14;p12), -19, -19, +mar1, +mar2, +mar3 | 24 |
RAEB indicates refractory anemia with excess blasts; CT, prior chemotherapy; RT, prior radiotherapy; PM: prior MDS; RE, relapse; RAEB-T, refractory anemia with excess blasts in transformation; and —, not applicable.
Disease phenotype according to the French-American-British classification.
Group as defined in “Results.”
Dominant clonal aberration or composite karyotype. Karyotypes of patients no. 1-6, 8-10, 14, 15, 17, 18, 20, 21, 24 and 28-30 were characterized using spectral karyotyping or multiplex-FISH.
References reporting previously published cases; case numbers identifying the individual patient samples in the respective reports are indicated in parentheses.
Clinical characteristics and cytogenetic findings of patients included in the cohort to determine the significance of differential MLL, DOX6, FLI1, and ETS1 expression in normal marrow, MDS, and AML
Case no. . | Age, y . | Sex . | Diagnosis* . | Karyotype† . |
|---|---|---|---|---|
| 1 | 64 | M | MDS/RAEB | 45∼46, XY, -5, -7, -14, -16, -19, -20, -21, +6∼7mar |
| 2 | 69 | F | MDS/RAEB-T | 46,XX |
| 3 | 61 | M | MDS/RAEB | 46,XY |
| 4 | 69 | M | MDS/RA | 46,XY |
| 5 | 70 | F | MDS/RAEB | 46,XX |
| 6 | 78 | M | MDS/RA | 46,XY |
| 7 | 48 | M | MDS/RAEB | 46,XY |
| 8 | 76 | F | MDS/RAEB-T | 46,XX,der(3)t(3;?)(q21;?),t(9;22)(q34;q11.2) |
| 9 | 55 | F | MDS/RA | 46,XX |
| 10 | 36 | M | MDS/RA | 46,XY |
| 11 | 38 | F | MDS/RA | 46,XX |
| 12 | 71 | F | AML M2 | 46,XX |
| 13 | 78 | F | sAML | 46,XX |
| 14 | 51 | M | AML M1 | 47,XY,+13 |
| 15 | 78 | F | AML M0 | 46,X,add(X)(p2?2),del(20)(q11.2) |
| 16 | 76 | F | AML M2 | 47,XX,i(8q),+der(8)t(1;8)(q12;p23) |
| 17 | 79 | M | AML M4 | 48∼50,XY,del(5)(q31q33), -12, -13, -14, -16, -18, -20, -21, +9∼11mar |
| 18 | 68 | M | AML M5 | 46,XY |
| 19 | 45 | F | AML M1 | 46,XX |
| 20 | 45 | F | AML M4 | 46,XX,add(16)(q23-24) |
| 21 | 64 | M | AML M1 | 46,XY |
| 22 | 66 | F | AML M2 | 46,XX |
Case no. . | Age, y . | Sex . | Diagnosis* . | Karyotype† . |
|---|---|---|---|---|
| 1 | 64 | M | MDS/RAEB | 45∼46, XY, -5, -7, -14, -16, -19, -20, -21, +6∼7mar |
| 2 | 69 | F | MDS/RAEB-T | 46,XX |
| 3 | 61 | M | MDS/RAEB | 46,XY |
| 4 | 69 | M | MDS/RA | 46,XY |
| 5 | 70 | F | MDS/RAEB | 46,XX |
| 6 | 78 | M | MDS/RA | 46,XY |
| 7 | 48 | M | MDS/RAEB | 46,XY |
| 8 | 76 | F | MDS/RAEB-T | 46,XX,der(3)t(3;?)(q21;?),t(9;22)(q34;q11.2) |
| 9 | 55 | F | MDS/RA | 46,XX |
| 10 | 36 | M | MDS/RA | 46,XY |
| 11 | 38 | F | MDS/RA | 46,XX |
| 12 | 71 | F | AML M2 | 46,XX |
| 13 | 78 | F | sAML | 46,XX |
| 14 | 51 | M | AML M1 | 47,XY,+13 |
| 15 | 78 | F | AML M0 | 46,X,add(X)(p2?2),del(20)(q11.2) |
| 16 | 76 | F | AML M2 | 47,XX,i(8q),+der(8)t(1;8)(q12;p23) |
| 17 | 79 | M | AML M4 | 48∼50,XY,del(5)(q31q33), -12, -13, -14, -16, -18, -20, -21, +9∼11mar |
| 18 | 68 | M | AML M5 | 46,XY |
| 19 | 45 | F | AML M1 | 46,XX |
| 20 | 45 | F | AML M4 | 46,XX,add(16)(q23-24) |
| 21 | 64 | M | AML M1 | 46,XY |
| 22 | 66 | F | AML M2 | 46,XX |
RA indicates refractory anemia; sAML, secondary AML.
Disease phenotype according to the French-American-British classification.
Dominant clonal aberration.
Conventional and molecular cytogenetics
Unstimulated bone marrow cells were cultured and harvested according to standard procedures. Karyotypic analysis was performed on G-, R- or Q-banded metaphases in all cases; karyotypes of patients no. 1 to 6, 8 to 10, 14, 15, 17, 18, 20, 21, 24, and 28 to 30 were further characterized using spectral karyotyping or multiplex FISH (Table 1). The karyotypes were described according to the 1995 recommendations of the International System for Human Cytogenetic Nomenclature (ISCN).21 The following probes were selected for FISH: the LSI MLL dual-color probe (Vysis, Downers Grove, IL) and gene-specific 11q probes: RP11-770K18 (DDX6), RP11-835G21 (FLI1), and RP11-1007G5 (ETS1). To evaluate the extent of the amplicon and to facilitate the interpretation of the 11q23 copy number, an ATM gene-specific probe at 11q22.3 (RP11-241D13) was included in the hybridizations. Clone isolation, labeling, and FISH were performed as previously described,7 using biotin-16-dUTP and digoxigenin-11-dUTP (Roche Diagnostics Belgium, Vilvoorde, Belgium) as haptens, or according to the manufacturer's recommendations. The identity of the genomic clones was validated by polymerase chain reaction (PCR), using the primers designed for real-time reverse transcription–PCR (RT-PCR); in addition, these clones were tested on normal controls. As each hybridization was performed with 2 differentially labeled probes, the evaluation of the hybridization pattern and signal intensity served as a reciprocal internal control. Hybridization signals in each sample were counted by 3 independent operators and were analyzed and interpreted at the interphase and metaphase levels. The average number of hybridization signals observed by the 3 different operators in 100 aneuploid interphase nuclei was calculated to assign each sample to the different subgroups (“Results”).
RNA isolation, cDNA synthesis, and quantitative real-time PCR
RNA was isolated using the RNeasy Midi Kit (Qiagen, Hilden, Germany) or the Trizol reagent (Invitrogen, Merelbeke, Belgium) according to the manufacturer's instructions. DNase treatment, cDNA synthesis, primer design, and SYBR Green I RT-PCR were performed as previously described.22 Reactions were performed on an ABI Prism 5700 Sequence Detector (Applied Biosystems, Foster City, CA). Real-time RT-PCR data analysis and expression normalization were performed using multiple internal control genes, as described elsewhere.23 Positional candidate 11q23 genes were selected from a 20-Mb genomic interval encompassing MLL, based on the human annotated genome sequence, available in the public domain (http://genome.ucsc.edu/ and http://www.ensembl.org/). Selected genes were CBL, DDX6, ETS1, FLI1, and PLZF. HOXA9 expression analysis was performed to evaluate the functionality of the MLL peptide in MLL overexpressing samples. Expression analysis of a number of mixed-lineage leukemia-specific genes (MEIS1, FLT3, PROML1, ADAM10, CCNA1, LMO2, NKG2D, and ITPA) was performed to assess possible similarities between MLL rearranged and MLL overexpressing leukemias.17-19 Primer sequences are available from the Real-Time PCR Primer and Probe Database, RTPRimerDB, Web site at: http://realtimeprimerdatabase.ht.st (RTPrimerDB ID: 682-696).24
Data analysis
Statistical analysis was performed using SPSS software version 11.0 (SPSS, Chicago, IL). The nonparametric Mann-Whitney U test was used to evaluate the significance of difference in mean expression levels between the patient subgroups. Correlation analyses were performed using the Spearman rank correlation coefficient. All described P values are 2-sided.
Results
Patient characteristics
Clinical characteristics of the 31 patients are summarized in Table 1. Median age at diagnosis was 65.0 years (range, 26-84 years); the male-to-female ratio was 1.6:1.0. All patients were diagnosed with myeloid malignancies (AML and MDS), most frequently AML M2 (n = 13) followed by AML M1 (n = 7); only 5 patients displayed the typical AML M4 or AML M5 associated with MLL gene rearrangements (patients no. 7, 15, 17, 20, and 27). Cytogenetic and FISH findings of the complex karyotypes were previously reported for 6 patients (Table 1). Twenty-five additional patients included in this study showed similar complex patterns of chromosomal rearrangements, including the high frequency of aberrations involving chromosome 5 (–5 or unbalanced rearrangements resulting in loss of 5q). Of the 31 patients included in this study, 4 had received prior chemotherapy or radiotherapy. In 4 of the AML patients a previous phase of MDS was documented or suspected clinically or morphologically.
Banding, MLL gene locus FISH, and multiplex-FISH confirmed the previously reported complex aberrations in the UoC-M1 cell line.25
Characterization of the 11q23 amplicon and definition of patient subgroups
FISH characterization of the 11q23 amplicon using gene-specific probes for MLL, DDX6, FLI1, and ETS1 (covering approximately 10 Mb) revealed that in all cases these 4 genes were invariably implicated in both low copy number 11q23 gains and in high-level amplifications. Across the various samples, the 11q23 copy number varied considerably from 3 copies, due to unbalanced rearrangements, through significantly increased but countable copy numbers (5-10 MLL copies) up to a hardly countable number of fluorescent signals in samples containing homogeneously staining regions or double minute chromosomes. Based on the number of MLL copies and the results from routine cytogenetic analysis, 3 different patient groups were defined. Group A (n = 16) included samples with 3 to 5 copies of the MLL gene (low copy gain) due to retention of MLL on abnormal chromosomes with extra segments from 11q; group B (n = 11) comprised samples with MLL amplification (5-10 MLL copies), not evidenced by banding analyses; and group C (n = 4) contained samples with a high number of MLL signals that could not be reliably counted, resulting from cytogenetically detectable homogeneously staining regions or double minute chromosomes (Table 1). These 3 arbitrarily defined groups, associated with an increased 11q23 copy number, were further used to determine the significance of the expression levels of the different oncogenes studied in relation to the 11q23 amplification status.
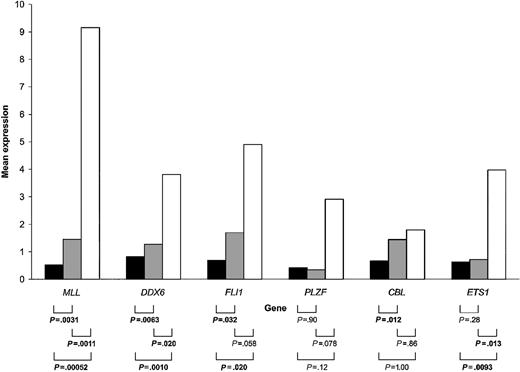
Expression analysis of MLL, DDX6, CBL, ETS1, PLZF, and FLI1 in relation to the 11q23 status
Expression levels of 6 selected 11q23 oncogenes (MLL, DDX6, CBL, ETS1, PLZF, and FLI1) were compared to the genomic 11q23 status, according to the 3 different subgroups, as just defined. In a first analysis, we compared samples with MLL low copy number gains (group A) versus samples containing high-level MLL amplification (groups B and C combined as a single subset). This revealed a highly significant transcriptional up-regulation of MLL, DDX6, FLI1, and CBL (P = .00021, P = .00053, P = .0072, and P = .0063, respectively) in cases with increased 11q23 copy number. Subsequently, the expression patterns for all 6 oncogenes were studied in the 3 separate patient groups (Figure 1). In these analyses, highly significant expression differences were identified consistently only for MLL and DDX6, when considering all 2-by-2 comparisons of groups A, B, and C. The MLL overrepresenting cell line UoC-M1,25 containing 4 MLL copies, revealed an increased MLL expression, comparable to group B samples.
Correlation of oncogene overexpression to 11q23 copy number status. The geometric averages of the normalized expression of MLL, DDX6, FLI1, PLZF, CBL, and ETS1 in the different patient groups (“Results”); group A (▪), group B (▦), and group C (□). P values indicate the significance of the difference in observed expression in 2 by 2 analyses of the different patient groups, as identified by the Mann-Whitney test. Significant P values are indicated in bold.
Correlation of oncogene overexpression to 11q23 copy number status. The geometric averages of the normalized expression of MLL, DDX6, FLI1, PLZF, CBL, and ETS1 in the different patient groups (“Results”); group A (▪), group B (▦), and group C (□). P values indicate the significance of the difference in observed expression in 2 by 2 analyses of the different patient groups, as identified by the Mann-Whitney test. Significant P values are indicated in bold.
MLL overexpression results in MLL gain of function
Limited patient material precluded functional tests at the protein level and, therefore, we adopted an indirect approach for studying the functionality of the MLL transcript in MLL-amplified cases. Assuming the MLL protein is functional, increased MLL expression should result in increased transcription of one or more of its target genes, as anticipated from its physiologic role.26 To this purpose, expression of HOXA9, a well-known MLL target gene, was analyzed. HOXA9 was significantly up-regulated in samples with high-level MLL amplification (Figure 2), underscoring the fact that the MLL peptide encoded by the amplified allele maintained its property of supporting homeotic transcription.
Correlation of expression of HOXA9 and of selected mixed-lineage leukemia-specific genes with 11q23 copy number status. The geometric averages of the normalized expression of the different genes in the different patient groups (“Results”); group A (▪), group B (), and group C (□). P values indicate the significance of the difference in observed expression in 2-by-2 analyses of the different patient groups, as identified by the Mann-Whitney test. Significant P values are indicated in bold.
Correlation of expression of HOXA9 and of selected mixed-lineage leukemia-specific genes with 11q23 copy number status. The geometric averages of the normalized expression of the different genes in the different patient groups (“Results”); group A (▪), group B (), and group C (□). P values indicate the significance of the difference in observed expression in 2-by-2 analyses of the different patient groups, as identified by the Mann-Whitney test. Significant P values are indicated in bold.
Similarities in MLL-overexpressing and MLL-rearranged leukemias
Because recent reports identified a number of genes that were specifically up-regulated in leukemias with an MLL rearrangement,17-19 we investigated a possible relationship between increased MLL expression and expression of a number of these mixed lineage leukemia-associated genes: MEIS1, FLT3, PROML1, ADAM10, CCNA1, LMO2, NKG2D, and ITPA. Five of these 8 genes, PROML1, ADAM10, NKG2D, ITPA, and MEIS1, were strongly up-regulated, specifically in the samples displaying high-level 11q23 amplification (Figure 2). In addition, considering all group A, B, and C samples, the expression of these 5 genes was significantly correlated to MLL expression (Spearman ρ and P values: PROML1: 0.52, P = .003; ADAM10: 0.68, P = .0003; NKG2D: 0.51, P = .004; ITPA: 0.74, P = .0003; MEIS1: 0.37, P = .040).
Expression analysis of MLL, DDX6, ETS1, and FLI1 in unselected AML and MDS samples
Because the expression analysis from 11q23-amplified leukemias could point to a role for gain of function of MLL, DDX6, and to a lesser extent of FLI1 and ETS1, in myeloid malignancies in general (ie, irrespective of the 11q23 copy number), we studied the expression levels of these genes in a separate series of normal marrow (n = 14), MDS (n = 11), and AML (n = 11) samples, without 11q23 rearrangements. Significantly increased MLL expression in malignant samples was noted (P = .028), whereas the expression of DDX6, FLI1, and ETS1 was similar in normal and malignant bone marrow. Increased MLL expression was especially noted in MDS samples (P = .00068), whereas the level of MLL expression in normal marrow and AML samples did not differ significantly (Figure 3).
Expression of MLL and HOXA9 in unselected patient samples. Geometric average of the MLL (□) and HOXA9 (▦) expression in normal marrow (n = 14), MDS (n = 11), and AML (n = 11) samples, with normal 11q23 copy number in the absence of an MLL gene rearrangement. P values indicate the significance of the difference in observed expression in 2-by-2 analyses of the different patient groups, as identified by the Mann-Whitney test.
Expression of MLL and HOXA9 in unselected patient samples. Geometric average of the MLL (□) and HOXA9 (▦) expression in normal marrow (n = 14), MDS (n = 11), and AML (n = 11) samples, with normal 11q23 copy number in the absence of an MLL gene rearrangement. P values indicate the significance of the difference in observed expression in 2-by-2 analyses of the different patient groups, as identified by the Mann-Whitney test.
Discussion
The introduction of FISH with MLL-specific probes in routine diagnostic analyses and the application of multicolor investigations for dissection of complex karyotypic changes in AML and MDS have led to the identification of a new patient subgroup with 11q23 overrepresentation or amplification, consistently associated with an increased MLL copy number. The molecular consequences of these particular 11q23 imbalances have remained largely unexplored thus far. Here, we investigated 31 AML and MDS samples with known MLL copy number gain or MLL high-level amplification. First, 11q23 gain and amplification patterns were assessed in further detail using FISH with probes for selected oncogenes, that is, MLL, DDX6, FLI1, and ETS1, covering a considerable genomic distance within 11q23. Three distinct patterns of gain or amplification were discerned: group A (n = 16) showed low copy gain of unrearranged MLL due to the presence of additional chromosome 11 material on derivative, marker, or ring chromosomes; group B (n = 11) was characterized by MLL amplification, unnoticed on karyotypic evaluation, whereas group C (n = 4) contained samples with a high level of MLL amplification, cytogenetically characterized by the presence of homogeneously staining regions or double minute chromosomes.
A major goal of this study was to investigate the consequences of 11q23 gain and amplification on the expression level of MLL, the presumed prime target of the amplicon, and 5 other candidate genes located within the implicated 11q23 segment, DDX6, FLI1, ETS1, CBL, and PLZF. The highly differential expression levels of DDX6 and MLL, in relation to the 11q23 status, suggest that both MLL and DDX6 may drive the amplification process. Support for the presence of functional MLL protein, albeit indirect, and for a gain of function mechanism for MLL in cases with MLL amplification was demonstrated by significant correlation between MLL and HOXA9 expression, because HOXA9 is a well-known downstream (positively up-regulated) target of MLL. MLL gain of function is also the mechanism thought to mediate leukemic transformation in MLL-rearranged leukemias. Recently, these leukemias were shown to be characterized by a specific gene expression profile.17-20 Here, we showed that some of the mixed-lineage leukemia-associated genes are significantly overexpressed in MLL-overexpressing samples, thus suggesting that the transcriptional consequences of MLL rearrangement and overexpression display noteworthy similarities. Of note, in a recent report several genes were identified that are up-regulated in B- as well as T-lineage MLL-rearranged ALLs.18 Intriguingly, we found a significant up-regulation in MLL-amplified samples for genes that are overexpressed in both T- and B-lineage MLL-rearranged leukemias (such as MEIS1, HOXA9, and ADAM10), whereas this correlation was absent for myeloid genes that are specifically overexpressed in MLL-rearranged B-ALLs, such as FLT3 and CCNA1. Although the current number of patients and genes included in this study remains limited, these data seem to underscore the activation of similar genes in MLL-rearranged and -overexpressing leukemias. Because the identification of a specific transcriptional program associated with MLL rearrangement is expected to facilitate the identification of novel targets for therapeutic intervention,27 these targets might also prove to be relevant in MLL-overexpressing samples. This is of particular importance in view of the poor prognosis often associated with MLL-rearranged leukemias and the extremely poor survival of patients with AML/MDS with MLL amplification. These clinical and expression similarities for MLL-rearranged and MLL-overexpressing leukemias might be explained by a common transcriptional program underlying the resistance to conventional chemotherapy, which could account for the adverse clinical course typifying these leukemias. Further studies requiring larger numbers of homogeneously treated patients are required to determine the relationship between MLL expression and prognosis.
Further support for a specific role of MLL comes from our preliminary analysis of expression levels of both MLL and the other selected 11q23 genes in unselected AML and MDS samples. From these analyses, a role for gain of function for DDX6, FLI1, and ETS1 in myeloid malignancies is unlikely because neither of these genes displays significant expression differences between normal marrow, MDS, and AML samples. In contrast, MLL was shown to be significantly up-regulated in MDS (P = .00068). The patterns of expression and correlation profiles of MLL and HOXA9 are in keeping with a fundamental role for both genes in leukemic transformation. Evidently, because these data are derived from relatively small and heterogeneous sample sets, the presented data need confirmation from larger studies. However, these results could point to an important role for MLL gain of function in MDS, or at least in a subset of MDS patients. Consequently, MLL overexpression might prove to be an interesting prognostic indicator or even a target for therapeutic intervention in MDS. Additionally, the presented results encourage further research aimed at analyzing the transforming potential of MLL gain of function, as a consequence of increased MLL expression, but also as a result of activating mutations.
The observed increased expression of DDX6 in 11q23 amplified leukemias is also of possible biologic interest. DDX6 belongs to a family of RNA helicase genes (DEAD box proteins), which are believed to be involved in a number of developmental processes. DDX6 as well as other DEAD box protein family members have been shown to be involved in malignant transformation, particularly as a result of increased expression. DDX6 was originally cloned from a B-cell lymphoma cell line (RC-K8), in which it is overexpressed due to juxtaposition to the IGH enhancer and has been suggested to be implicated in colorectal carcinogenesis.28,29 DDX1 is often coamplified in MYCN-amplified tumors, most notably in neuroblastoma.30 Yet another DEAD box protein family member, DDX10, is involved in MDS and AML, particularly in therapy-related cases, by fusion to NUP98 as a consequence of the inv11(p15q22).31 Similarly to DDX1, DDX6 could play an essential role in 11q23-amplified leukemias and further studies concerning the role of this gene in this patient subset should be performed.
The presence of a patient group with multiple 11q23 copies without cytogenetic evidence for amplification (group B) is intriguing. In a subset of patients this is in keeping with the presence of individual MLL signals on multiple der11 chromosomes. In other patients, however, multiple clustered signals were apparent. Given the extremely rapid disease progression in these patients, these samples might represent an intermediate stage toward high-level amplifications observed in group C. A similar mechanism has been suggested for MYCN amplification in neuroblastoma.32
Although our analyses have focused on the role of MLL and other adjacent 11q oncogenes in 11q23 overrepresentation, there is some evidence for a more distally located amplicon. In 2 separate reports, Crossen et al15 and Sait et al16 have identified 2 patients with double minute chromosomes containing ETS1, but not MLL. Arguably, 11q amplification comprises 2 different critical regions: the more predominant targeting MLL and a more rare type involving more distally located genes. Because ETS1 was amplified in the 2 described patients,15,16 this gene might seem an attractive candidate oncogene involved in these 11q23 amplifications. On the other hand, in our series, ETS1 was only overexpressed in 3 of the 4 samples characterized by high-level ETS1 amplification. Therefore, we consider it unlikely that ETS1 is the primary target of these more distally localized amplifications.
In conclusion, our analyses, which addressed the functional consequences of oncogene amplification in AML and MDS, have revealed that genomic amplification in these malignancies behaves in a manner comparable to that in solid tumors and other hematologic malignancies with an obvious correlation between copy number increases and increased gene expression. MLL and DDX6 showed a highly differential expression between samples with and without 11q23 gain and therefore were retained as key targets of 11q23 amplification. MLL overexpression was shown to result in an MLL gain of function because it was associated with increased expression of one of its physiologic downstream targets, HOXA9. In addition, transcriptional similarities between MLL amplified and MLL rearranged leukemias were identified and a possible role for MLL overexpression as an early event in malignant transformation was described.
Prepublished online as Blood First Edition Paper, August 28, 2003; DOI 10.1182/blood-2003-06-2163.
Supported by the Fund for Scientific Research of Flanders (FWO-Vlaanderen) grant no. G.0310.01, VEO grant 011V1302, and by grant P30 CA16058 from the National Cancer Institute, Bethesda, MD, and the Coleman Leukemia Research Fund, St Paul, MN. B.P. is a research fellow of the Fund for Scientific Research of Flanders. N.Y. is supported by the Fund for Scientific Research of Flanders (FWO-Vlaanderen). L.M. is partially supported by a grant from the Salus Sanguinis Foundation. H.B.B. is partially supported by a grant from the Association for International Cancer Research (no. 99-111).
The publication costs of this article were defrayed in part by page charge payment. Therefore, and solely to indicate this fact, this article is hereby marked “advertisement” in accordance with 18 U.S.C. section 1734.
This text presents research results of the Belgian program of Interuniversity Poles of Attraction initiated by the Belgian State, Prime Minister's Office, Science Policy Programming. Scientific responsibility is assumed by the authors.



This feature is available to Subscribers Only
Sign In or Create an Account Close Modal