Abstract
Abstract 4093
Relapse remains a major cause of mortality after allogeneic hematopoietic stem cell transplantation (allo-HSCT) in patients with hematological diseases. During the last decade, many improvements have been achieved in the understanding of the disease- and patient-related conditions in order to obtain the optimal allogeneic effect but the relapse is still representative which leaded to the development of different chemo- and immuno-therapy strategies.
To evaluate at a first time the different pre- and post-transplantation factors impacting the relapse occurrence after allo-HSCT, and at a second time, to evaluate factors impact the survival post-relapse including the different treatment options.
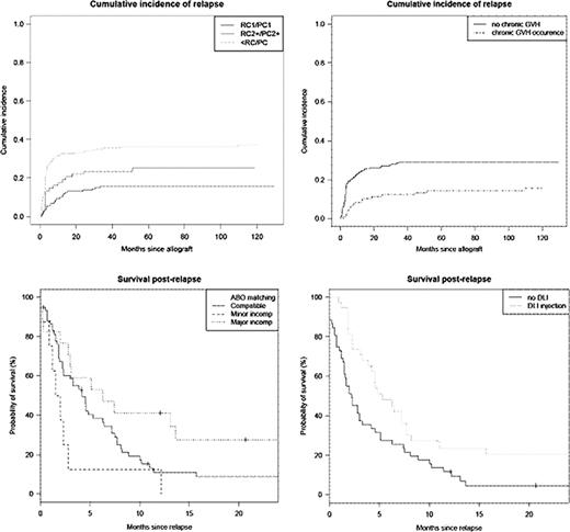
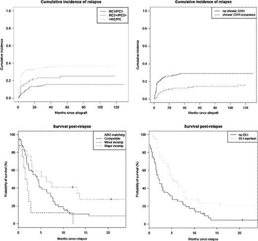
We have retrospectively studied the occurrence of relapse in 345 patients, 198 (57%) males and 147 (43%) females with a median age of 43 years (range17–66) who received allo-HSCT at our institution for hematological malignancies between years 2000 and 2011; 205 (59%) from siblings donors and 140 (41%) form unrelated donors. At transplantation, there were 148 (43%) patients in first complete response or first chronic phase (CR1/CP1), 66 (19%) in CR2/CP2 and 131 (38%) < CR2/CP2. Two hundred and six (60%) patients received a full intensity conditioning and 139 (40%) a reduced intensity one. The different patients and transplantations characteristics are detailed in Table 1.
After HSCT, 336 (97%) patients engrafted. The cumulative incidence of acute GVHD≥2 at 3 months was 35% (95%CI 32–37); the cumulative incidence of extensive and limited chronic GVHD at one year was the same 15% (95%CI 13–17). After a median follow-up of 11.4 months (range 4–129), the median overall survival (OS) for the whole population was 19 months (range 12–33) with a 2-years probability of 47% (95%CI 42–53). Eighty eight (25.5%) patients relapsed with a cumulative incidence at one and two years of 19% (95%CI 17–21) and 22% (95%CI 20–24) respectively. Characteristics of relapsed patients are described in Table 1. After relapse, 65 (74%) patients were treated [21 (32%) received donor lymphocyte infusion (DLI) alone, 21 (32%) chemotherapy alone, 14 (22%) DLI + chemotherapy and 9 (14%) received other treatment] and 23 (26%) were not treated due to deadly relapse.
The median OS from relapse was 4 months (range 3–5) and the one year probability of OS in patients who relapsed was 21% (95%CI 14–31). The multivariate analysis studying the impact of different variables on the occurrence of relapse showed a negative impact of disease status [<CR/CP: HR=3.9 (2.4–6.7), p=0.0001], a negative impact of CMV status [D+R-: HR=2.4 [1.2–4.7], p=0.009] and a protective impact of cGVHD [HR=0.37 (0.2–0.6), p=0.0002]. The multivariate analysis studying the pre- and post-relapse variables on the survival after relapse showed a positive impact of ABO incompatibility [Major ABO incompatibility: HR=0.39 (0.16–0.9), p=0.03], a negative impact of disease status [<CR/CP: HR=2.4 (1.3–4.4), p=0.003] and a positive survival outcome in patients receiving DLI with or without chemotherapy [HR=0.5 (0.3–0.8), p=0.005].
We showed that relapse after allo-HSCT in hematological malignancies is still a significant issue, disease status at HSCT and CMV matching worsen its occurrence while cGVHD can be protective. Survival rate after relapse is still very low reflecting the difficulty to find an optimal treatment, disease status at transplantation seem to have a long term effect while the use of DLI with or without chemotherapy can offer better results. In addition to the new chemotherapy molecules, immunotherapy should be used in order to enhance the graft-versus-leukemia effect not only after relapse, but also early in presence of a minimal residual disease.
No relevant conflicts of interest to declare.
Author notes
Asterisk with author names denotes non-ASH members.


This feature is available to Subscribers Only
Sign In or Create an Account Close Modal