Abstract
Abstract 4094
Disease progression remains the main cause of treatment failure after autologous stem cell transplant (SCT) in patients with multiple myeloma (MM). It is unclear what is the best salvage therapy after failure of a 1st autologous SCT in MM.
We performed a retrospective study comparing 2nd autologous (auto-auto) versus 2nd allogeneic (auto-allo) SCT in patients progressing or relapsing after their 1st autologous SCT and compare their outcomes with patients receiving sequential planned double autologous (tandem) SCT as part of their upfront therapy for MM.
PATIENT CHARACTERISTICS AND OUTCOMES
| . | Tandem (n=29) . | Auto-Auto (n=32) . | Auto-Allo (n=10) . |
|---|---|---|---|
| Median age, years (range) | 62 (41–78) | 62.5 (45–81) | 54 (43–63) |
| Median days from diagnosis to 1st transplant | 224.5 (93–1344) | 226 (117–1074) | 254.5 (101–416) |
| Median days from 1st to 2nd transplant | 149 (99–189) | 847 (210–4158) | 350 (88–1281) |
| Median total CD34+ cell infused 1st transplant | 3.29 (2–12) | 5.87 (2–28) | 6.03 (2–14) |
| 2nd transplant | 3.22 (2–9) | 4.47 (2–19) | 5.25 (3–11) |
| Median WBC engraftment | 11 (9–13) | 11 (9–47) | N/A |
| Median Platelet engraftment | 16 (10–19) | 15 (10–23) | N/A |
| Cytogenetics High Risk | |||
| 17% | 3% | 10% | |
| ISS at 1st transplant I | 31% | 41% | 40% |
| II | 34% | 12% | 0 |
| III | 14% | 6% | 10% |
| ISS at 2nd transplant I | 48% | 53% | 40% |
| II | 17% | 9% | 0 |
| III | 10% | 13% | 10% |
| Response to 1st transplant Good | 10% | 63% | 70% |
| Poor | 80% | 25% | 20% |
| Response to 2nd transplant Good | 52% | 47% | 30% |
| Poor | 41% | 41% | 70% |
| Median Followup (months) | 57.1 (3.4–76.7) | 24.6 (10.5–87.8) | 48.0 (31.9–64.0) |
| Maintenance Therapy after 1st transplant | 0 | 28% | 10% |
| . | Tandem (n=29) . | Auto-Auto (n=32) . | Auto-Allo (n=10) . |
|---|---|---|---|
| Median age, years (range) | 62 (41–78) | 62.5 (45–81) | 54 (43–63) |
| Median days from diagnosis to 1st transplant | 224.5 (93–1344) | 226 (117–1074) | 254.5 (101–416) |
| Median days from 1st to 2nd transplant | 149 (99–189) | 847 (210–4158) | 350 (88–1281) |
| Median total CD34+ cell infused 1st transplant | 3.29 (2–12) | 5.87 (2–28) | 6.03 (2–14) |
| 2nd transplant | 3.22 (2–9) | 4.47 (2–19) | 5.25 (3–11) |
| Median WBC engraftment | 11 (9–13) | 11 (9–47) | N/A |
| Median Platelet engraftment | 16 (10–19) | 15 (10–23) | N/A |
| Cytogenetics High Risk | |||
| 17% | 3% | 10% | |
| ISS at 1st transplant I | 31% | 41% | 40% |
| II | 34% | 12% | 0 |
| III | 14% | 6% | 10% |
| ISS at 2nd transplant I | 48% | 53% | 40% |
| II | 17% | 9% | 0 |
| III | 10% | 13% | 10% |
| Response to 1st transplant Good | 10% | 63% | 70% |
| Poor | 80% | 25% | 20% |
| Response to 2nd transplant Good | 52% | 47% | 30% |
| Poor | 41% | 41% | 70% |
| Median Followup (months) | 57.1 (3.4–76.7) | 24.6 (10.5–87.8) | 48.0 (31.9–64.0) |
| Maintenance Therapy after 1st transplant | 0 | 28% | 10% |
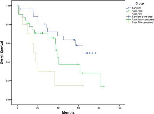
OVERALL SURVIVAL
Forward stepwise Cox regression analysis was used to measure factors affecting overall survival. Factors used for analysis included age, cytogenetics (high risk = mutated p53, t(14;16), t(4;14), del 13), International Staging System (ISS) before 1st and 2nd SCT, use of maintenance therapy after 1st SCT, days from diagnosis to 1st SCT and days from 1st to 2nd SCT, CD34+ cells infused at 1st and 2nd SCT. Age and ISS of III at 2nd transplant were identified as factors affecting survival in the auto-auto group (hazard ration of 1.081 and 5.700, respectively).
In conclusion, overall survival after salvage from 2nd autologous stem cell transplant is longer than after a 2nd allogeneic transplant. Upfront, planned tandem autologous stem cell transplant is superior to both salvage strategies. Larger, randomized trials are needed to confirm these results.
Shaughnessy:Otsuka: Honoraria, Speakers Bureau; Millenium: Honoraria, Speakers Bureau; Genzyme: Honoraria, Speakers Bureau.
Author notes
Asterisk with author names denotes non-ASH members.

This feature is available to Subscribers Only
Sign In or Create an Account Close Modal