Abstract
Mobilized peripheral blood (PB) is the most common graft source for allogeneic hematopoietic transplantation (HCT) following reduced intensity conditioning (RIC). The impact, if any, of donor PB graft composition on major transplant outcomes in the RIC allogeneic HCT setting remains incompletely understood. Existing studies have focused primarily on CD34+ cell dose and report conflicting results, especially in relation to survival. The impact of total nucleated cell (TNC) dose has been less frequently evaluated, but limited studies with relatively small cohort sizes have reported higher TNC dose to be associated with improved survival.
In order to further explore the relationship between PB donor CD34+ cell dose, TNC dose and RIC HCT outcomes, we assessed 705 adult patients with hematological malignancies who underwent RIC allogeneic HCT at Dana Farber Cancer Institute/ Brigham and Women's Hospital (DFCI/BWH) between 2000 and 2010. The vast majority received a RIC regimen of fludarabine and busulfan (n=698). GVHD prophylaxis was tacrolimus based with or without sirolimus (524 vs. 171, respectively). Recipients of in vivo T-cell depletion (TCD) with antithymocyte globulin or ex-vivo TCD were excluded. The median age was 57 years (range,18-74). Patient's disease risk index (DRI) was categorized as low (n=164), intermediate (n=350), high (n=170) or very high (n=21) per Armand, et al (Blood, 2012). Transplants were categorized as matched (MRD n=273, MUD n=374) or mismatched (MMRD n=4, MMUD n=58).
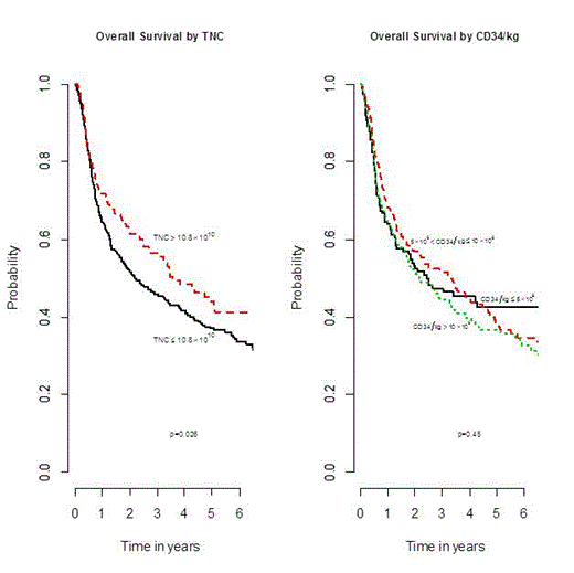
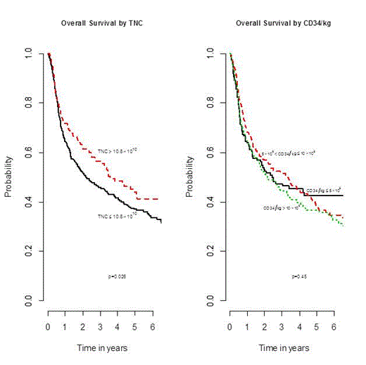
There was weak correlation between CD34+ cell dose and TNC (Spearman coefficient 0.25 [0.18-0.32]), and between CD34+/kg and TNC/kg with coefficient 0.25 [0.26, 0.39]. Cell doses for TNC effects were evaluated by quartiles. On multivariable analysis including age, DRI, donor source, gender, and CMV serostatus, higher TNC dose (top quartile, ≥10.8 x 10^10 cells) was independently associated with increased chronic GVHD (HR 1.33 [1.06-1.67], p=0.015) as well as decreased relapse (HR 0.74 [0.58-0.94], p=0.015). There was no effect on acute GVHD, engraftment, or non-relapse mortality. Importantly, higher TNC dose was associated with improved overall survival (HR 0.74 [0.59-0.94], p=0.014, Figure 1) and progression free survival, PFS (HR 0.76 [0.61-0.94], p=0.014). In contrast, although higher doses of CD34+ cells (> 10 x 10^6/kg vs. < 5 x10^6/kg) resulted in faster engraftment for both platelets and neutrophils (data not shown) and a decrease in non-relapse mortality ( HR 0.53 [0.30-0.93], p=0.027), there was no significant effect on acute or chronic GVHD incidence, relapse, PFS or survival.
These data suggest TNC dose is an important prognostic variable in T-replete RIC HCT with significant impact on survival and should, like CD34+ cell dose, be taken into consideration when planning donor graft infusions. Further studies are needed to confirm these data, and characterize the components of the PB graft that influence survival.
No relevant conflicts of interest to declare.
Author notes
Asterisk with author names denotes non-ASH members.

This feature is available to Subscribers Only
Sign In or Create an Account Close Modal