Abstract
Purpose
The aim of this study was to determine whether the sum of the SUVmax of all the nodal and extranodal lesions can predict prognosis in patients with extranodal natural killer/T-cell lymphoma (ENKTL).
Methods
We conducted a retrospective analysis of 54 patients with newly-diagnosed ENKTL who underwent pretreatment 18F-FDG PET/CT. Three new models (WB1SUVmax, WB2SUVmax, WB3SUVmax) on the basis of the whole-body SUVmax of 11 nodal lesions (waldeyer ring, neck, infraclvicular, axillary and pectoral, mediastinal, hilar, spleen, paraaortic, mesenteric, lilac, inguinal and femoral) and 10 extranodal lesions (upper aerodigestive tract, skin/subsutaneous, central nervous system and spinal canal, lung, myocardium, bone and bone marrow, bowel, renal and adrenal, liver and testis) were designed to predict the overall survival (OS) and progression-free survival (PFS)
Results
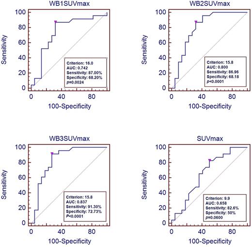
During follow-up period (median 33.2 months), 31 patients showed disease progression and 28 patients died from the disease. Receiver operating characteristics curve analysis showed cut-off values for SUVmax, WB1SUVmax, WB2SUVmax, WB3SUVmax of 9.9 (sensitivity 82.6%, specificity 50%, AUC 0.658, P =0.060), 16.0 (sensitivity 87.00%, specificity 68.20, AUC 0.742, P =0.002), 15.8 (sensitivity 86.96%, specificity 68.18%, AUC 0.800, P <0.001), 15.8 (sensitivity 91.30%, specificity 72.73%, AUC 0.837, P <0.001), respectively (Figure 1). Multivariate analysis, after adjusting for all the other parameters significantly related to OS and PFS in the univariate analysis, showed that WB3SUVmax was the independent predictor for both OS (hazard ratio 5.08, 95% CI 1.42-18.17, P =0.012) and PFS (hazard ratio 4.12, 95% CI 1.31-12.94, P =0.015) while SUVmax was not (Table 1).
Conclusion
Our results demonstrated the importance of the WBSUVmax, which was calculated on the basis of the sum of the SUVmax of 11 nodal and 10 extranodal lesions, as a prognostic factor in ENKTL patients. The use of WBSUVmax together with the IPI score may be useful for better prognostic discrimination in the future.
Univariate and multivariate Cox regression analysis for PFS and OS
| . | Univariate analysis (OS) . | . | Multivariate analysis (OS) . | . | Univariate analysis (PFS) . | . | Multivariate analysis (PFS) . | ||||
|---|---|---|---|---|---|---|---|---|---|---|---|
| Characteristic | HR (95%CI) | P | HR (95%CI) | P | HR (95%CI) | P | HR (95%CI) | P | |||
| WB3SUVmax£¾15.8 | 6.67 (2.48-17.92) | <0.001 | 5.08 (1.42-18.17) | 0.012 | 5.02 (2.12-11.86) | <0.001 | 4.12 (1.31-12.94) | 0.015 | |||
| IPI¡Ý2 | 9.22 (3.13-27.11) | <0.001 | -- | -- | 6.81 (2.74-16.92) | <0.001 | -- | -- | |||
| Age>60 years | 1.79 (0.32-1.95) | 0.611 | -- | -- | 1.72 (0.30-1.78) | 0.489 | -- | -- | |||
| ECOG PS>1 | 2.14 (0.73-6.21) | 0.162 | -- | -- | 1.89 (0.66-5.42) | 0.239 | -- | -- | |||
| LDH>ULN | 7.64 (2.87-20.33) | <0.001 | -- | -- | 5.85 (2.48-13.79) | <0.001 | -- | -- | |||
| Stage III or IV | 5.22 (2.16-12.63) | <0.001 | -- | -- | 4.45 (2.00-9.89) | <0.001 | -- | -- | |||
| Extranodal sites£¾1 | 3.35 (1.55-7.22) | 0.002 | -- | -- | 3.08 (1.49-6.36) | 0.003 | -- | -- | |||
| Gender (male) | 0.78 (0.36-1.69) | 0.529 | -- | -- | 0.68 (0.33-1.41) | 0.304 | -- | -- | |||
| B symptoms | 1.26 (0.98-2.69) | 0.069 | -- | -- | 2.21 (0.88-3.94) | 0.071 | -- | -- | |||
| . | Univariate analysis (OS) . | . | Multivariate analysis (OS) . | . | Univariate analysis (PFS) . | . | Multivariate analysis (PFS) . | ||||
|---|---|---|---|---|---|---|---|---|---|---|---|
| Characteristic | HR (95%CI) | P | HR (95%CI) | P | HR (95%CI) | P | HR (95%CI) | P | |||
| WB3SUVmax£¾15.8 | 6.67 (2.48-17.92) | <0.001 | 5.08 (1.42-18.17) | 0.012 | 5.02 (2.12-11.86) | <0.001 | 4.12 (1.31-12.94) | 0.015 | |||
| IPI¡Ý2 | 9.22 (3.13-27.11) | <0.001 | -- | -- | 6.81 (2.74-16.92) | <0.001 | -- | -- | |||
| Age>60 years | 1.79 (0.32-1.95) | 0.611 | -- | -- | 1.72 (0.30-1.78) | 0.489 | -- | -- | |||
| ECOG PS>1 | 2.14 (0.73-6.21) | 0.162 | -- | -- | 1.89 (0.66-5.42) | 0.239 | -- | -- | |||
| LDH>ULN | 7.64 (2.87-20.33) | <0.001 | -- | -- | 5.85 (2.48-13.79) | <0.001 | -- | -- | |||
| Stage III or IV | 5.22 (2.16-12.63) | <0.001 | -- | -- | 4.45 (2.00-9.89) | <0.001 | -- | -- | |||
| Extranodal sites£¾1 | 3.35 (1.55-7.22) | 0.002 | -- | -- | 3.08 (1.49-6.36) | 0.003 | -- | -- | |||
| Gender (male) | 0.78 (0.36-1.69) | 0.529 | -- | -- | 0.68 (0.33-1.41) | 0.304 | -- | -- | |||
| B symptoms | 1.26 (0.98-2.69) | 0.069 | -- | -- | 2.21 (0.88-3.94) | 0.071 | -- | -- | |||
ROC curve analyses for identification of the optimal cut-off values of PET parameters predicting survival in patients with ENKTL
ROC curve analyses for identification of the optimal cut-off values of PET parameters predicting survival in patients with ENKTL
No relevant conflicts of interest to declare.
Author notes
Asterisk with author names denotes non-ASH members.

This feature is available to Subscribers Only
Sign In or Create an Account Close Modal