Abstract
Background With the advent of imatinib and the other tyrosine kinase inhibitors (TKIs) targeting BCR-ABL1, the outcomes of Philadelphia chromosome positive acute lymphoblastic leukemia (Ph+ ALL) improved substantially. Nonetheless, allogeneic stem cell transplantation (alloSCT) in first complete remission (CR1) remains the consolidation therapy of choice in Ph+ ALL. Evidence is emerging that post-transplant relapse is influenced by the persistence of minimal residual disease (MRD), with an inferior outcome of patients undergoing transplantation with measurable level of MRD (Sramkova L et al, Pediatr Blood Cancer 2007; Bar M et al. Leuk Res Treatment 2014). Considering that a deeper molecular response can probably be achieved with innovative targeted therapies, such as second and third-generation TKIs or immunotherapy, an accurate evaluation of MRD values before alloSCT may be very relevant.
Aim of the study. To evaluate the predictive relevance of MRD levels before transplant in Ph+ALL patients in CR1 on the probabilities of (i) overall survival (OS), (ii) relapse incidence (CIR) and (iii) leukemia free survival (LFS)
Patients and methods. One hundred and six adult patients (median age 41.2, range 19-62) with newly diagnosed Ph+ ALL (as determined by cytogenetic or molecular analysis) were enrolled into 2 prospective NILG protocols (09/00 ClinicalTrial.gov Identifier: NCT00358072 and 10/07 ClinicalTrial.gov Identifier: NCT00358072) and were treated with chemotherapy and imatinib. One hundred (94%) achieved CR1, of whom 72 patients underwent an alloSCT in CR1 and are the subject of this report. MRD was determined by quantitative polymerase chain reaction (RQ-PCR) according to validated methods.
Results. Among the 72 patients undergoing alloSCT, MRD status before transplant was available for 65 patients (90%). Twenty-four patients (37%) achieved a complete molecular response (BCR-ABL/ABL<1x10-5) at time of conditioning (MRD- group), while 41 (63%) remained carriers of any positive MRD level in the bone marrow or peripheral blood (MRD+ group), ranging from 1.2x10-4 to 2x10-1. Patients' characteristics were similar between MRD+ and MRD- groups, except for a higher hemoglobin levels and a predominance of male gender in MRD- group, as summarized in Table 1. Thirty-five patients received alloSCT from a sibling and 37 from unrelated donor. The conditioning regimen to alloSCT was myeloablative in 85% and reduced intensity in 15% of patients. The stem cell source was the bone marrow in 19%, the peripheral blood in 78% and cord blood in the remaining 3% of patients.
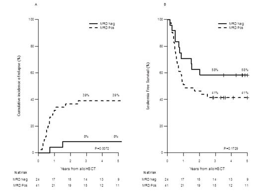
For the whole patient cohort (n=106), the median follow-up was 2.8 years (range 0.06-11.8), with a 5 years OS of 41%. The OS of patients receiving alloSCT was 50%. The MRD negativity at time of conditioning was associated with a significant benefit in terms of risk of relapse with a CIR of 8% compared to 39% of patients with MRD positivity (p=0.007) (Figure 1A). Nonetheless, the LFS and OS probability were not significant different in MRD- compared to MRD+ patients (58% vs 41%, p=0.17 and 58% vs 49%, p=0.55, respectively) (Figure1B), likely due to the effective post-relapse treatment with TKIs and/or DLI. The cumulative incidence of non relapse mortality was similar in MRD- compared to that of MRD+ group (33% vs 20%, p=0.22).
Conclusions. Our results confirm that patients undergoing alloSCT with measurable levels of MRD show a significant increase risk of relapse after transplant. These results highlight the importance of achieving a complete molecular remission before transplant that should be considered an essential prerequisite for successful alloSCT.
Patients' characteristics according to MRD group
| Characteristics . | MRD negative (N=24) . | MRD positive (N=41) . | P . |
|---|---|---|---|
| Age years , median (range) | 45.0 (21.4-58.2) | 42.7 (18.5-62.4) | 0.95 |
| Male sex (%) | 16 (67) | 15 (37) | 0.01 |
| WBC, X 109/L, median (range) | 27.7 (0.9-350.0) | 12.0 (1.1-680.0) | 0.12 |
| Hemoglobin, g/dL, median (range) | 11.4 (5.4-14.6) | 9.0 (3.7-16.5) | 0.02 |
| Platelets, X 109/L, median (range) | 41.0 (4.0-336.0) | 34.0 (3.0-325.0) | 0.44 |
| LDH, U/L median (range) | 1231 (353-8104) | 715 (65-6194) | 0.12 |
| Conditioning regimen (%) Reduced intensity Myeloablative | 4 (17) 20 (83) | 7 (17) 34 (83) | 1.00 |
| Donor type (%) Sibling Unrelated | 13 (54) 11 (46) | 18 (44) 23 (56) | 0.73 |
| Graft type (%) Bone marrow Peripheral blood Cord blood | 3 (12) 20 (83) 1 (4) | 9 (22) 31 (76) 1 (2) | 0.91 |
| Characteristics . | MRD negative (N=24) . | MRD positive (N=41) . | P . |
|---|---|---|---|
| Age years , median (range) | 45.0 (21.4-58.2) | 42.7 (18.5-62.4) | 0.95 |
| Male sex (%) | 16 (67) | 15 (37) | 0.01 |
| WBC, X 109/L, median (range) | 27.7 (0.9-350.0) | 12.0 (1.1-680.0) | 0.12 |
| Hemoglobin, g/dL, median (range) | 11.4 (5.4-14.6) | 9.0 (3.7-16.5) | 0.02 |
| Platelets, X 109/L, median (range) | 41.0 (4.0-336.0) | 34.0 (3.0-325.0) | 0.44 |
| LDH, U/L median (range) | 1231 (353-8104) | 715 (65-6194) | 0.12 |
| Conditioning regimen (%) Reduced intensity Myeloablative | 4 (17) 20 (83) | 7 (17) 34 (83) | 1.00 |
| Donor type (%) Sibling Unrelated | 13 (54) 11 (46) | 18 (44) 23 (56) | 0.73 |
| Graft type (%) Bone marrow Peripheral blood Cord blood | 3 (12) 20 (83) 1 (4) | 9 (22) 31 (76) 1 (2) | 0.91 |
CIR and LFS according to MRD group
No relevant conflicts of interest to declare.
Author notes
Asterisk with author names denotes non-ASH members.

This feature is available to Subscribers Only
Sign In or Create an Account Close Modal