Key Points
Dual expression of MYC and BCL2 is associated with an increased risk of CNS relapse in DLBCL treated with R-CHOP.
Abstract
Dual expression of MYC and BCL2 by immunohistochemistry (IHC) is associated with poor outcome in diffuse large B-cell lymphoma (DLBCL). Dual translocation of MYC and BCL2, so-called “double-hit lymphoma,” has been associated with a high risk of central nervous system (CNS) relapse; however, the impact of dual expression of MYC and BCL2 (dual expressers) on the risk of CNS relapse remains unknown. Pretreatment formalin-fixed paraffin-embedded DLBCL biopsies derived from patients subsequently treated with rituximab plus cyclophosphamide, doxorubicin, vincristine, and prednisone (R-CHOP) were assembled on tissue microarrays from 2 studies and were evaluated for expression of MYC and BCL2 by IHC. In addition, cell of origin was determined by IHC and the Lymph2Cx gene expression assay in a subset of patients. We identified 428 patients who met the inclusion criteria. By the recently described CNS risk score (CNS–International Prognostic Index [CNS-IPI]), 34% were low risk (0 to 1), 45% were intermediate risk (2 to 3), and 21% were high risk (4 or greater). With a median follow-up of 6.8 years, the risk of CNS relapse was higher in dual expressers compared with non-dual expressers (2-year risk, 9.7% vs 2.2%; P = .001). Patients with activated B-cell or non–germinal center B-cell type DLBCL also had an increased risk of CNS relapse. However, in multivariate analysis, only dual expresser status and CNS-IPI were associated with CNS relapse. Dual expresser MYC+ BCL2+ DLBCL defines a group at high risk of CNS relapse, independent of CNS-IPI score and cell of origin. Dual expresser status may help to identify a high-risk group who should undergo CNS-directed evaluation and consideration of prophylactic strategies.
Introduction
Central nervous system (CNS) relapse is a devastating event in patients with diffuse large B-cell lymphoma (DLBCL). Despite the overall improvement in outcome of DLBCL in the rituximab treatment era,1-4 CNS relapse continues to occur. This may be the result of limited CNS penetration of rituximab plus cyclophosphamide, doxorubicin, vincristine, and prednisone (R-CHOP) and/or poor control of systemic disease and secondary spread to the CNS. Although the risk of CNS relapse has declined in the rituximab treatment era,5,6 the impact is modest, which is in keeping with pharmacokinetic studies showing that levels in the cerebrospinal fluid are only 0.1% that of matched serum levels.7 The outcome after CNS relapse is poor, which highlights the need to identify patients at diagnosis who may be at increased risk of CNS relapse and to facilitate the development of effective prophylactic strategies.
The German High Grade Non-Hodgkin Lymphoma study group recently proposed a CNS relapse risk model that incorporates the 5 International Prognostic Index (IPI) risk factors and kidney and/or adrenal involvement (CNS-IPI) to stratify patients into low-risk (0 to 1 factors), intermediate-risk (2 to 3 factors), and high-risk (4 or more factors) groups with a 2-year risk of CNS relapse of <1%, <5%, and >10%, respectively.8 This model was validated in the British Columbia Cancer Agency population-based database9 as well as in a separate study that included a cohort of DLBCL patients staged with a positron emission tomography/computed tomography (PET/CT) scan.10 Although this model provides a straightforward way to identify high-risk patients, further refinement of a high-risk group by the addition of objective biomarkers will greatly facilitate CNS-directed diagnostic work-up as well as the selection of patients for CNS prophylaxis.
It has been well described that DLBCL comprises 2 molecular subtypes, activated B-cell (ABC) and germinal center B-cell (GCB), which have distinct underlying biology and drivers of disease pathogenesis.11,12 Multiple studies have also confirmed the poor prognosis of ABC DLBCL13,14 ; however, the relative contribution of CNS relapse to this is unknown. In addition, it is typically GCB DLBCL patients who harbor rare dual translocations of MYC and BCL2, so-called “double-hit DLBCL,” which has been associated with a poor prognosis and increased risk of CNS involvement with estimates reported to be as high as 50%.15 Although the optimal management of dual translocation MYC+BCL2+ lymphomas is a matter of debate, dose-intensified regimens are advocated with integrated CNS prophylaxis, and this approach appears to be superior to R-CHOP alone in historical comparisons.16 Since the recent introduction of an MYC antibody suitable for immunohistochemistry (IHC) in formalin-fixed paraffin-embedded (FFPE) tissue, a number of studies have evaluated the prognostic importance of dual expression of MYC and BCL2 proteins (dual expressers) and have shown that this combination identifies a group at high risk of treatment failure with a 5-year progression-free survival (PFS) of only ∼30% to 45%.14,17-20 In contrast to classic double-hit DLBCL, dual expresser DLBCL is much more prevalent (∼30% vs 5% of DLBCL) and two-thirds of patients are ABC subtype or non-GCB subtype, depending on the platform used to establish cell of origin (COO).17-20 Further, similar to the implication of the ABC subtype, although MYC+BCL2+ coexpression is associated with poor outcome,14 it remains unclear whether the predominant risk is systemic lymphoma relapse, CNS relapse, or both, which has the potential to impact treatment approaches.
Herein, we evaluate the impact of MYC+BCL2+ dual expression on the risk of CNS relapse in a large cohort of patients with DLBCL treated with R-CHOP chemotherapy and clarify the independent role of the CNS-IPI and COO.
Patients and methods
Patients with de novo DLBCL diagnosed between September 2000 and January 2012 according to the 2008 World Health Organization classification were assembled from tissue microarrays (TMAs) from two studies.14,21 Patients with IHC data for MYC and BCL2 expression were selected and included if they received R-CHOP chemotherapy with curative intent and had complete clinical records. Those patients with a prior indolent lymphoma or composite lymphoma at diagnosis or were HIV-positive were excluded, as were patients with CNS disease at diagnosis.
TMAs were constructed by using duplicate 0.6-mm cores from diagnostic pretreatment FFPE tissue.14,17 IHC staining for expression of MYC (Epitomics Y69), BCL2 (Dako 124 and Epitomics E17), CD10 (Novcastra 56C6), BCL6 (Novocastra LN22), and MUM1 (Dako MUM1p)22 was independently reviewed by two hematopathologists (TMA 1, G.W.S. and K.L.T.; TMA 2, P.F. and A.M.). Protein expression in tumor cells was recorded in 10% increments as previously described.14,17 MYC and BCL2 positivity were defined as expression by ≥40% and ≥50% of malignant cells, respectively, in accordance with previously established cutoffs.17 COO was assigned for 426 patients by using the Hans IHC algorithm.23 Cases with discordant results were evaluated by a third arbiter hematopathologist (R.D.G.) at a multiheaded microscope to reach a consensus.
COO was also assigned by using the recently described gene expression–based Lymph2Cx 20-gene assay on the NanoString platform (NanoString Technologies, Seattle, WA)24 in a subset of patients on the more recent TMA with >10% tumor content (n = 328).14,21 The other TMA was constructed before the development of the Lymph2Cx 20-gene assay and thus, this information is not available.17 RNA was extracted from FFPE tissue biopsies by using the Qiagen DNA/RNA FFPE kit, and digital gene expression profiling (GEP) was performed on 200 ng RNA. The Lymph2Cx model was applied as previously described.14,24
Fluorescence in situ hybridization (FISH) was performed on both study TMAs to identify BCL2 and MYC translocations by using commercial dual-color break-apart probes (Abbot Molecular, Abbott Park, IL) according to previously described methods.25 Cases with a break-apart signal in >5% of nuclei were considered positive for the presence of a translocation.
Staging investigations included CT scan with or without PET/CT scan, bone marrow aspirate, and biopsy. Limited stage was defined as stage 1A/2A with nonbulky (<10 cm) disease; all other patients were considered to have advanced-stage disease and were treated with a longer course of R-CHOP. CNS-directed investigations, including CT or magnetic resonance imaging scans of the head or lumber puncture with CSF analysis, were performed at the discretion of the treating physician.
All patient records were reviewed to determine the date and site of CNS relapse in addition to whether it occurred with concurrent systemic disease. The recently described CNS-IPI risk score was determined on the basis of 5 IPI risk factors (age >60 years, performance status ≥2, >1 extranodal site, stage 3 or 4, lactate dehydrogenase above the upper limit of normal), and renal and/or kidney involvement (total 6 CNS risk factors), assigning patients into low-risk (0 to 1 factors), intermediate-risk (2 to 3 factors), or high-risk (4 or more factors) groups.
Treatment
All patients received curative intent R-CHOP chemotherapy for 3 to 8 cycles, depending on stage, with or without radiotherapy. During the study period, CNS prophylaxis in the form of intrathecal (IT) chemotherapy (alternating methotrexate and cytarabine for a total of 6 cycles) was recommended for patients with sinus involvement at presentation but systemic high-dose methotrexate was not used in any risk groups.
Statistical analysis
The χ2 test was used to compare baseline characteristics between groups. PFS (progression and/or relapse or death), time to progression (TTP; progression and/or relapse or death from lymphoma or acute treatment toxicity), overall survival (OS; death as a result of any cause), and the cumulative risk of CNS relapse were all measured from the date of pathologic diagnosis of DLBCL. TTP, PFS, OS, and the cumulative risk of CNS relapse were estimated by using the Kaplan-Meier method, and differences in outcome between groups were assessed by using the log-rank test. Multivariate analysis was performed by using the Cox proportional hazards model. All statistical analyses were performed with SPSS version 14.0. This study was approved by the University of British Columbia-British Columbia Cancer Agency Research Ethics Board.
Results
In total, 428 patients with DLBCL who met the stated inclusion criteria were identified and were treated with curative intent R-CHOP. The baseline clinical characteristics for the whole cohort are provided in Table 1. By the CNS-IPI, 34% were low risk, 45% were intermediate risk, and 21% were high risk. All patients received R-CHOP with curative intent with the exception of 1 patient who received rituximab, cyclophosphamide, etoposide, vincristine, and prednisone (R-CEOP) with etoposide substituted for doxorubicin due to reduced cardiac function. Only 8 patients (2%) received CNS prophylaxis in the form of IT chemotherapy (sinus involvement, n = 4), and no patients received systemic CNS prophylaxis.
Clinical features in 428 patients with DLBCL treated with R-CHOP chemotherapy, comparison of dual expresser MYC+BCL2+ vs non-MYC+BCL2+
| Clinical feature . | All (N = 428) . | MYC+BCL2+ (n = 127 [30%]) . | Non-MYC+BCL2+ (n = 301 [70%]) . | P . | ||||||
|---|---|---|---|---|---|---|---|---|---|---|
| No. (%) . | Total . | Median (range) . | No. (%) . | Total . | Median (range) . | No. (%) . | Total . | Median (range) . | ||
| Follow-up, y | 6.8 (0.8-13.3) | 7.5 (1.9-12.9) | 6.9 (1.3-13.3) | — | ||||||
| Age, y | 65 (16-92) | 68 (16-87) | 62 (19-92) | |||||||
| >60 | 265 (62) | 92 (72) | 173 (57.5) | .004 | ||||||
| Male sex | 270 (63) | 74 (58) | 196 (65) | .18 | ||||||
| Stage 3 or 4 | 230 (54) | 77 (61) | 153 (51) | .06 | ||||||
| Elevated LDH* | 202 (51) | 399 | 70 (59) | 119 | 33 (12) | 280 | .098 | |||
| PS ≥2 | 140 (33) | 45 (35) | 95 (32) | .44 | ||||||
| Extranodal site | ||||||||||
| >1 | 74 (17) | 21 (16.5) | 53 (18) | .79 | ||||||
| Adrenal/kidney | 10 (2) | 5 (4) | 5 (2) | .15 | ||||||
| Testis | 10 (2) | 3 (2) | 7 (2) | .98 | ||||||
| CNS-IPI risk score† | 414 | 124 | 290 | |||||||
| Low (0 to 1) | 139 (34) | 35 (28) | 104 (36) | .10 | ||||||
| Intermediate (2 to 3) | 191 (46) | 55 (44) | 135 (46) | |||||||
| High (≥4) | 84 (20) | 34 (27) | 51 (18) | |||||||
| Hans COO‡ | 426 | 127 | 299 | |||||||
| Non-GCB | 185 (43) | 75 (59) | 110 (37) | <.0001 | ||||||
| GCB | 241 (57) | 52 (41) | 189 (63) | |||||||
| Lymph2Cx COO§ | 328 | 102 | 227 | |||||||
| ABC | 107 (33) | 57 (56) | 50 (22) | <.0001 | ||||||
| GCB | 182 (55) | 34 (33) | 148 (65) | |||||||
| Unclassified | 39 (12) | 11 (11) | 28 (12) | |||||||
| Clinical feature . | All (N = 428) . | MYC+BCL2+ (n = 127 [30%]) . | Non-MYC+BCL2+ (n = 301 [70%]) . | P . | ||||||
|---|---|---|---|---|---|---|---|---|---|---|
| No. (%) . | Total . | Median (range) . | No. (%) . | Total . | Median (range) . | No. (%) . | Total . | Median (range) . | ||
| Follow-up, y | 6.8 (0.8-13.3) | 7.5 (1.9-12.9) | 6.9 (1.3-13.3) | — | ||||||
| Age, y | 65 (16-92) | 68 (16-87) | 62 (19-92) | |||||||
| >60 | 265 (62) | 92 (72) | 173 (57.5) | .004 | ||||||
| Male sex | 270 (63) | 74 (58) | 196 (65) | .18 | ||||||
| Stage 3 or 4 | 230 (54) | 77 (61) | 153 (51) | .06 | ||||||
| Elevated LDH* | 202 (51) | 399 | 70 (59) | 119 | 33 (12) | 280 | .098 | |||
| PS ≥2 | 140 (33) | 45 (35) | 95 (32) | .44 | ||||||
| Extranodal site | ||||||||||
| >1 | 74 (17) | 21 (16.5) | 53 (18) | .79 | ||||||
| Adrenal/kidney | 10 (2) | 5 (4) | 5 (2) | .15 | ||||||
| Testis | 10 (2) | 3 (2) | 7 (2) | .98 | ||||||
| CNS-IPI risk score† | 414 | 124 | 290 | |||||||
| Low (0 to 1) | 139 (34) | 35 (28) | 104 (36) | .10 | ||||||
| Intermediate (2 to 3) | 191 (46) | 55 (44) | 135 (46) | |||||||
| High (≥4) | 84 (20) | 34 (27) | 51 (18) | |||||||
| Hans COO‡ | 426 | 127 | 299 | |||||||
| Non-GCB | 185 (43) | 75 (59) | 110 (37) | <.0001 | ||||||
| GCB | 241 (57) | 52 (41) | 189 (63) | |||||||
| Lymph2Cx COO§ | 328 | 102 | 227 | |||||||
| ABC | 107 (33) | 57 (56) | 50 (22) | <.0001 | ||||||
| GCB | 182 (55) | 34 (33) | 148 (65) | |||||||
| Unclassified | 39 (12) | 11 (11) | 28 (12) | |||||||
Estimates were rounded to the nearest whole number.
Lactate dehydrogenase (LDH) missing (n = 29).
CNS-IPI risk score missing (n = 14).
Hans COO not available (n = 2).
Lymph2Cx COO not available (n = 100).
In total, 127 patients (30%) were dual expressers (MYC+BCL2+) and 301 (70%) were non-dual expressers (non-MYC+BCL2+) (Table 1). Patients who were dual expressers were older (median age, 68 vs 62 years; P = .004), and there was a trend toward having a high CNS-IPI risk score (27% vs 18%; P = .10) and advanced-stage disease (61% vs 51%; P = .06). As in earlier reports, the ABC subtype was present in 56% of dual expressers but in only 22% of the non-dual expressers (P < .0001) (Table 1).
Outcome and risk of CNS relapse
With a median follow-up of 6.8 years (range, 0.8-13.3 years) for living patients, the 5 year TTP, PFS, and OS were 65%, 61%, and 68.5%, respectively. Dual expressers had an inferior TTP (50% vs 71%; P < .0001), PFS (46% vs 68%; P < .0001), and OS (52% vs 75%; P < .0001) compared with non-dual expressers.
The 2-year cumulative risk of CNS relapse for the whole cohort was 4.3%; and by the CNS-IPI risk score, the 2-year CNS relapse was 0.8% for the low-risk (0 to 1), 5.3% for the intermediate-risk (2 to 3), and 10.3% for the high-risk (4 or more) groups (P = .059). Of note, only 1 of 10 patients with testicular involvement had a CNS relapse.
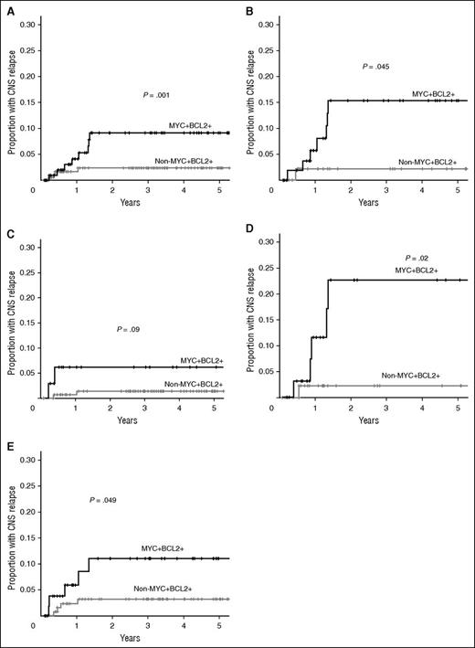
Importantly, patients who were dual expressers had an increased risk of CNS relapse compared with the non-dual expressers (2-year risk, 9.7% vs 2.2%; P = .001; Figure 1A). In total, 376 patients (88%) had FISH information available (12% failed) for evaluating the presence of a classic double- or triple-hit DLBCL. Although there was a greater frequency of classic double-hit (MYC+ and BCL2+ [n = 23]) or triple-hit (MYC+, BCL2+, and BCL6+ [n = 1]) DLBCL by FISH analysis in dual expresser MYC+BCL2+ (12.6% [n = 16]) compared with non-MYC+BCL2+ (2.7% [n = 8]; P < .0001), removal of these patients did not have an impact on the risk of CNS relapse conferred by dual expression (2-year CNS relapse for dual expressers vs non-dual expressers, 9.9% vs 2.3%; P = .001). In fact, there was only one CNS relapse (GCB subtype) among all 24 double- or triple-hit DLBCLs (2-year risk, 4.5%).
Risk of CNS relapse in dual expresser MYC+BCL2+. Cumulative frequency of CNS relapse in dual expresser (MYC+BCL2+) vs non-dual expresser (non-MYC+BCL2+) (A) in DLBCL, (B) in ABC DLBCL by Lymph2Cx, (C) in GCB DLBCL by Lymph2Cx, (D) in high-risk CNS-IPI (4 or more factors) DLBCL, and (E) in intermediate risk CNS-IPI (2 to 3 factors) DLBCL.
Risk of CNS relapse in dual expresser MYC+BCL2+. Cumulative frequency of CNS relapse in dual expresser (MYC+BCL2+) vs non-dual expresser (non-MYC+BCL2+) (A) in DLBCL, (B) in ABC DLBCL by Lymph2Cx, (C) in GCB DLBCL by Lymph2Cx, (D) in high-risk CNS-IPI (4 or more factors) DLBCL, and (E) in intermediate risk CNS-IPI (2 to 3 factors) DLBCL.
By COO, the risk of CNS relapse was also higher in ABC DLBCL patients, as shown by the Lymph2Cx GEP assay, compared with GCB patients (9.1% vs 2.3%; P = .02; supplemental Figure 1A, available on the Blood Web site). Similarly, the non-GCB patients classified by the IHC-based Hans algorithm also had a higher risk of CNS relapse (2-year risk, 7.1% vs 2.2%; P = .02; supplemental Figure 1B). Of interest, patients who were unclassified by Lymph2Cx GEP had a risk of CNS relapse similar to that for GCB DLBCL (3.1%; data not shown). Intriguingly, dual expresser status also defined a group at significantly higher cumulative risk of CNS relapse within the ABC subtype (2-year CNS risk, 15.3% vs 2.2%; P = .045; Figure 1B) but not within the GCB subtype, although the overall number of events within the latter group was low (6.2% vs 1.4%; P = .09; Figure 1C). Similar results were observed in patients with COO by the Hans algorithm; non-GCB dual expresser patients had an elevated risk of CNS relapse (2-year CNS risk in dual expressers vs non-dual expressers, 15.8% vs 3.1%; P = .01; supplemental Figure 1C), but this was not observed in GCB DLBCL (2-year CNS risk in dual expressers vs non-dual expressers, 4.1% vs 1.7%; P = .26; supplemental Figure 1D). Consistent with this, of the patients who relapsed, there were proportionately more with CNS involvement in non-GCB dual expressers compared with non-GCB non-dual expressers (22% vs 5.5%; Table 2). Notably, for all CNS relapses, the majority involved the brain parenchyma (Table 2).
Site of lymphoma and CNS relapse in non-GCB and GCB DLBCL by dual expresser status
| . | Non-GCB DLBCL (n = 185) . | GCB DLBCL (n = 241) . | ||
|---|---|---|---|---|
| MYC+BCL2+ (n = 75) No. (%) . | Non-MYC+BCL2+ (n = 110) No. (%) . | MYC+BCL2+ (n = 52) No. (%) . | Non-MYC+BCL2+ (n = 189) No. (%) . | |
| Any lymphoma relapse | 42 (56) | 37 (34) | 19 (36.5) | 41 (22) |
| Site of lymphoma relapse | ||||
| Systemic only | 30 (71) | 29 (78) | 16 (84) | 34 (83) |
| CNS + systemic | 0 | 1 (3) | 0 | 0 |
| CNS only | 9 (22) | 2 (5.5) | 2 (11) | 2 (7) |
| Unknown | 3 (7) | 5 (13.5) | 1 (5) | 4 (10) |
| Total CNS relapse | 9 | 3 | 2 | 3 |
| Site of CNS relapse | ||||
| Parenchymal only | 7 | 2 | 2 | 2 |
| Parenchmyal and leptomeningeal | 1 | 1 | 0 | 0 |
| Lepotomeningeal only | 1 | 1 | 0 | 1 |
| . | Non-GCB DLBCL (n = 185) . | GCB DLBCL (n = 241) . | ||
|---|---|---|---|---|
| MYC+BCL2+ (n = 75) No. (%) . | Non-MYC+BCL2+ (n = 110) No. (%) . | MYC+BCL2+ (n = 52) No. (%) . | Non-MYC+BCL2+ (n = 189) No. (%) . | |
| Any lymphoma relapse | 42 (56) | 37 (34) | 19 (36.5) | 41 (22) |
| Site of lymphoma relapse | ||||
| Systemic only | 30 (71) | 29 (78) | 16 (84) | 34 (83) |
| CNS + systemic | 0 | 1 (3) | 0 | 0 |
| CNS only | 9 (22) | 2 (5.5) | 2 (11) | 2 (7) |
| Unknown | 3 (7) | 5 (13.5) | 1 (5) | 4 (10) |
| Total CNS relapse | 9 | 3 | 2 | 3 |
| Site of CNS relapse | ||||
| Parenchymal only | 7 | 2 | 2 | 2 |
| Parenchmyal and leptomeningeal | 1 | 1 | 0 | 0 |
| Lepotomeningeal only | 1 | 1 | 0 | 1 |
Dual expresser status is provided in terms of MYC+BCL2+ vs non-MYC+BCL2+.
In Cox regression multivariate analysis that included COO, MYC-BCL2 dual expression, and CNS-IPI, only dual expresser status (hazard ratio, 3.68; 95% confidence interval, 1.27-10.64) and high risk CNS-IPI (hazard ratio, 5.21; 95% confidence interval, 1.03-26.30) and not ABC subtype (P = .28) remained associated with CNS relapse (Table 3). Similar results were observed when COO was evaluated by the Hans algorithm (Table 3).
Cox regression analysis of factors associated with CNS relapse in ABC and non-GCB subtypes
| Factor . | HR (95% CI) . | P . |
|---|---|---|
| ABC Dual expresser MYC+BCL2+ CNS-IPI high risk (≥4) | — 3.68 (1.27-10.64) 5.21 (1.03-26.30) | .281 .016 .046 |
| Non-GCB Dual expresser MYC+BCL2+ CNS-IPI high risk (≥4) | — 3.85 (1.38-10.70) 4.87 (.97-24.50) | .372 .010 .055 |
| Factor . | HR (95% CI) . | P . |
|---|---|---|
| ABC Dual expresser MYC+BCL2+ CNS-IPI high risk (≥4) | — 3.68 (1.27-10.64) 5.21 (1.03-26.30) | .281 .016 .046 |
| Non-GCB Dual expresser MYC+BCL2+ CNS-IPI high risk (≥4) | — 3.85 (1.38-10.70) 4.87 (.97-24.50) | .372 .010 .055 |
Cox regression analysis performed with either ABC (by Lymph2Cx) or non-GCB (by Hans algorithim) in the model. Data represent COO in DLBCL according to ABC vs GCB by Lymph2Cx and non-GCB vs GCB by Hans IHC algorithm.
CI, confidence interval; HR, hazard ratio.
Building on the CNS-IPI, dual expresser patients in the high-risk group had a higher risk of CNS relapse compared to those with a high risk CNS-IPI risk score but were non-dual expressers (2-year risk, 22.7% vs 2.3%; P = .02; Figure 1D). Similarly, patients in the intermediate-risk CNS-IPI group who were dual expressers had a higher risk of CNS relapse (11% vs 3.2%; P = .049; Figure 1E), but there was no difference in the low-risk CNS-IPI groups in which there was only 1 event in each group (P = .40; results not shown).
Discussion
CNS relapse occurs infrequently in patients with DLBCL but is typically an incurable event with a median OS of only 3 to 6 months. The German High Grade Non-Hodgkin Lymphoma study group proposed the first robust CNS relapse clinical model developed in aggressive B-cell non-Hodgkin lymphoma (primarily DLBCL), which defined 3 CNS risk groups, and this model was successfully validated in independent data sets.9,10 However, biomarkers that can be routinely applied in clinical practice may help to refine the identification of patients at risk of CNS relapse to focus on and develop and interpret the impact of prophylaxis strategies.
Given the well-described association of double-hit DLBCL with an increased risk of CNS relapse, we investigated whether MYC and BCL2 dual expression by IHC was also associated with an increased risk of CNS relapse, which would provide further insight into the biology underlying poor outcome. In this cohort of patients with de novo DLBCL who were uniformly treated with R-CHOP, we have shown that dual expression of MYC and BCL2 is associated with a significantly increased risk of CNS relapse, with an estimated 2-year risk of 9.7% compared with 2.2% in non-dual expresser patients. In addition, the ABC subtype of DLBCL determined by the NanoString-based Lymph2Cx assay24 or non-GCB DLBCL determined by the IHC-based Hans algorithm23 were also associated with an increased risk of CNS relapse. However, in multivariate analysis, only the CNS-IPI and dual expressers, and not COO, were associated with an increased risk of CNS relapse. Interestingly, in our cohort, CNS events were infrequent in the subset of patients with double- or triple-hit DLBCL. Recent studies support that the translocation partner may be an important prognostic variable whereby patients who harbor an MYC-immunoglobulin (MYC-Ig) partner compared with an MYC non-IG partner have an inferior prognosis.26 Whether this also translates into differences in the risk of CNS relapse in double-hit lymphoma awaits further study. In addition, selection bias may have been introduced in many of the earlier retrospective studies of double-hit lymphomas for which FISH testing was initiated because of high-risk features that may overestimate the CNS relapse risk compared with an unselected population.
Previous studies have shown that approximately two-thirds of dual expresser patients have ABC or non-GCB DLBCL, and this contributes to the poor prognosis of this DLBCL subtype.19 In a recent study from our own institution, dual expression of MYC and BCL2 identified a group of patients with an inferior prognosis within GCB (5-year TTP, 79% vs 64%; P = .02) but not ABC (5-year TTP, 59% vs 44%; P = .30) DLBCL defined by using the Lymph2Cx 20-gene assay.24 However, in both COO groups, dual expression was associated with an inferior TTP, with an absolute magnitude of difference at 5 years of 15%. Thus, the lack of statistical significance in ABC DLBCL may reflect sample size rather than the absence of a prognostic effect. In the present study, dual expression of MYC and BCL2 defined a group within ABC DLBCL with a high CNS relapse risk (2-year risk, 15.3%) compared with non-dual expressers (2-year risk, 2.2%). These data suggest that a significant component of the poor prognosis of ABC DLBCL may be related to an inherent propensity for CNS relapse in dual expresser MYC+BCL2+ patients. This is also reflected by proportionately more CNS relapses in non-GCB dual expresser DLBCL compared with both non-dual expresser and GCB patients as a whole.
Importantly, within the CNS-IPI intermediate- and high-risk groups, dual expression of MYC and BCL2 also identified a group with a significantly higher risk of CNS relapse compared with non-dual expressers, with a 2-year risk of CNS relapse of 11% and 22.7%, respectively, supporting the notion that clinical factors and biomarkers can be complementary in defining a group of patients with an increased risk of CNS relapse. This is particularly relevant in the intermediate-risk group in which the original and validation CNS-IPI models predict a risk of relapse of <5%.9
To date, there has been a paucity of biomarkers that correlate with CNS relapse in DLBCL. A recent study characterized DLBCL associated with the presence of a serum IgM monoclonal gammopathy, so-called “IgM-secreting DLBCL.”27 It was present in 12.5% of all patients with DLBCL, is almost exclusively non-GCB, and defines a subset with a very poor prognosis.27 Notable was a high frequency of CNS involvement at diagnosis or at relapse, with either event occurring in 7 (41%) of 17 patients.27 Whether IgM-secreting DLBCLs are also enriched for dual expresser MYC+BCL2+ was not described in detail in that study. Interestingly, although primary CNS lymphomas are mostly ABC with well-described MYD88 mutations occurring in up to 80% of patients,28-30 IgM-secreting DLBCLs were exclusively MYD88 wild-type. With unselected populations of DLBCL patients having an overall risk of CNS relapse <5%, larger studies are needed to validate these observations and our findings and to identify other clinically useful biomarkers.
The observation that dual expresser MYC+BCL2+ DLBCL is associated with CNS relapse and, in particular, defines a high-risk group within ABC or non-GCB subtypes, has direct clinical implications. Limited data support that high-dose methotrexate and possibly more dose-intensive regimens may reduce the risk of CNS relapse.31,32 However, these approaches remain challenging in older patients. Data are emerging that novel therapies such as ibrutinib and lenalidomide, which are selectively active in ABC or non-GCB DLBCL,33,34 can penetrate the blood-brain barrier35,36 and are under investigation as treatment strategies in primary CNS lymphomas.35 In addition, phase 2 studies in DLBCL support that adding lenalidomide to R-CHOP can overcome the negative prognostic impact of ABC or non-GCB subtypes.37,38 Given the predominance of MYC+BCL2+ dual expressers in ABC or non-GCB DLBCL, it will be of great interest to determine whether adding these agents to R-CHOP in ongoing randomized controlled studies will have an impact on the risk of secondary CNS relapse. Regardless, a CNS-directed work-up should be strongly considered in dual expressers, particularly in the case of ABC or non-GCB subtypes or intermediate- or high-risk groups by CNS-IPI to rule out CNS involvement at the time of diagnosis.
In summary, our data support that, similar to true double-hit DLBCL, dual expresser MYC+BCL2+ DLBCL defines a group of patients at a higher risk of CNS relapse, and this represents a major component of the poor outcome in ABC or non-GCB DLBCL. The combination of clinical, biological and, in the future, genetic factors may help to further define a high-risk group to focus aggressive CNS-directed staging procedures and select patients for prophylactic strategies.
Presented at the 56th American Society of Hematology Annual Meeting and Exposition, San Francisco, CA, December 6-9, 2014.
The online version of this article contains a data supplement.
The publication costs of this article were defrayed in part by page charge payment. Therefore, and solely to indicate this fact, this article is hereby marked “advertisement” in accordance with 18 USC section 1734.
Acknowledgments
The authors thank Yvonne Zheng for statistical guidance and support.
This work was supported by the Canadian Institutes of Health Research, the British Columbia Cancer Foundation, and Grant No. 1023 from the Terry Fox Research Institute team. C.S. is the recipient of a Career Investigator Scholarship award from the Michael Smith Foundation of Health Research.
Authorship
Contribution: K.J.S. helped with conception and design of the study, collection and assembly of data, data analysis and interpretation, statistical analysis, and manuscript writing; G.W.S. helped with pathology review, collection and assembly of data, data analysis and interpretation, and manuscript writing; A.M. and P.F. helped with pathology review and data analysis and interpretation; L.H.S. and D.V. helped with provision of study materials or patients, collection and assembly of data, and data analysis and interpretation; R. Kansara, R. Kridel, and J.M.C. helped with provision of study materials or patients and data analysis and interpretation; C.S., D.E., and S.B.-N. helped with collection and assembly of data and data analysis and interpretation; K.L.T. helped with data analysis and interpretation; N.A.J. helped with provision of study materials or patients, collection and assembly of data, and data analysis and interpretation; D.W.S. helped with conception and design of the study, collection and assembly of data, data analysis and interpretation, and manuscript writing; R.D.G. helped with conception and design of the study, pathology review, collection and assembly of data, data analysis and interpretation, and manuscript writing; and all authors gave final approval of manuscript.
Conflict-of-interest disclosure: K.J.S., D.W.S., J.M.C., L.H.S., R.D.G., and D.V. received institutional research funding from Roche. G.W.S. received honoraria from Janssen Pharmaceuticals. L.H.S. received honoraria from and served as a consultant/advisor for Roche/Genentech, Janssen Pharmaceuticals, and Celgene. D.V. received honoraria from and served as a consultant/advisor for Roche and Celgene. N.A.J. received honoraria from Roche and served as a consultant/advisor for Janssen Pharmaceuticals. D.W.S. received honoraria from and served as a consultant/advisor for Celgene and was named inventor on a pending patent that has been licensed to NanoString Technologies. R.D.G. received honoraria from Roche/Genentech, Celgene, and Janssen Pharmaceuticals, served as a consultant/advisor for Roche/Genentech, Celgene, Janssen Pharmaceuticals, and NanoString Technologies, and was an inventor on a pending patent that has been licensed to NanoString Technologies. The remaining authors declare no competing financial interests.
Correspondence: Kerry J. Savage, British Columbia Cancer Agency, 600 West 10th Ave, Vancouver, BC, Canada V5Z 4E6; e-mail: ksavage@bccancer.bc.ca.
