Introduction: Intravascular large B-cell lymphoma (IVLBCL) is a rare disease entity characterized by selective growth of lymphoma cells in the lumina of small vessels. IVLBCL has been listed in the WHO classification, which improves recognition of the disease. However, no standard therapy has been established based on the results of prospective studies. We previously reported promising efficacy of rituximab (R)-containing chemotherapy for IVLBCL (JCO 2008) and a high incidence of central nervous system (CNS) recurrence (25% at 3 y) after R-chemotherapy (Lancet Oncol 2009, Cancer Sci 2010). To explore a more effective first-line treatment, we conducted a phase 2 trial of R-CHOP combined with CNS prophylaxis including R-high-dose methotrexate (R-HDMTX) and intrathecal chemotherapy with MTX, cytarabine (Ara-C), and prednisolone (PSL) (IT).
Methods: Major inclusion criteria were untreated, histologically confirmed IVLBCL, age 20-79 y, ECOG PS 0-3, and no apparent CNS involvement at diagnosis. Patients received 3 cycles of R-CHOP followed by 2 cycles of R-HDMTX (3.5 g/m2; 2 g/m2 for ≥70 y) every 2 weeks, and 3 additional cycles of R-CHOP. IT (MTX 15 mg, Ara-C 40 mg, PSL 10 mg) was performed twice during the first 3 cycles of R-CHOP and twice during the final 3 cycles of R-CHOP (4 times in total). If patients achieved complete response (CR), they were observed without any therapy until relapse or disease progression. The primary endpoint was 2-y progression-free survival (PFS), and secondary endpoints included 2-y overall survival (OS), CR rate, cumulative incidence of CNS recurrence at 2 y, patterns of progression, and adverse events. The threshold 2-y PFS was estimated to be 35%, with expected 2-y PFS estimated to be 60%. With a statistical power of 90% and a one-sided, type I error of 5%, a projected sample size of 37 was calculated in anticipation of 10% ineligible patients. The trial was registered in the UMIN Clinical Trials Registry (UMIN000005707).
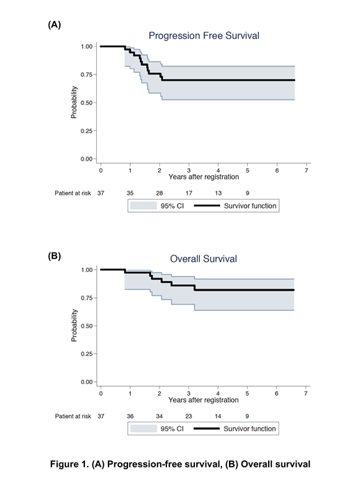
Results: 38 IVLBCL patients were enrolled between June 2011 and July 2016. One patient was found to be ineligible after completion of the protocol treatment due to a past history of lymphoma. The protocol treatment was completed in 34 (89%) of 38 patients. The diagnosis of IVLBCL was histologically confirmed by central pathological review in all enrolled patients. The baseline characteristics of the 37 eligible patients were: male sex, 16 (43%); median age, 66 (range 38-78) y; ECOG PS >1, 15 (41%); stage IV, 37 (100%); serum LDH >ULN, 36 (97%); WBC <4,000/μL, 11 (30%); Hgb <11g/dL, 30 (81%); PLT <105/μL, 17 (46%); and IPI HI/H, 33 (89%) patients. The following clinical symptoms were observed before treatment initiation: B symptoms, 30 (81%); hypoxemia, 10 (27%); neurological symptoms, 3 (8%);exanthema, 4 (11%); hepatomegaly, 15 (40%); splenomegaly, 28 (76%); and hemophagocytosis, 8 (22%) patients. In the 37 eligible patients, the CR rate was 84% (95%CI: 68-94%). With a median follow-up of 3.9 (range, 2.0-6.6) y, 2-y PFS was 76% (95%CI: 59-87%), 2-y OS was 92% (95%CI: 77-97%), and the cumulative incidence of CNS recurrence at 2 y was 2.7% (95%CI: 0.2-12%) (Fig. 1). Only one patient had CNS relapse during follow-up. Of all 38 enrolled pts, there were no treatment-related deaths. G4 non-hematological adverse events were febrile neutropenia, hypokalemia, and low blood pressure in one patient each. Major G3 non-hematological toxicities were febrile neutropenia (32%) and hypokalemia (26%). G3 and G4 lymphocytopenia were observed in 95% and 50% and thrombocytopenia in 40% and 24% of patients, respectively. All toxicities were manageable.
Conclusion: This phase 2 trial met its primary endpoint and showed favorable outcomes with a low cumulative incidence of CNS recurrence and acceptable toxicity profiles. These results indicate that R-CHOP combined with CNS prophylaxis including R-HDMTX and IT could be a reasonable treatment option for untreated IVLBCL without apparent CNS involvement at diagnosis.
Shimada:Takeda Pharmaceutical: Honoraria; MSD: Research Funding; Otsuka Pharmaceutical: Research Funding; Janssen Pharmaceutical: Honoraria; Bristol-Myers Squibb: Honoraria; Celgene: Honoraria; Eisai: Honoraria, Research Funding; Chugai Pharmaceutical: Consultancy, Honoraria; Kyowa Kirin: Honoraria, Research Funding; AstraZeneca: Honoraria. Yamaguchi:Ono Pharmaceutical: Research Funding; Teijin Pharma: Honoraria; MSD: Honoraria; Astrazeneca: Membership on an entity's Board of Directors or advisory committees; Sumitomo Dainippon Pharma: Honoraria; Janssen: Honoraria; Takeda: Honoraria; Astellas Pharma: Research Funding; Sorrento: Membership on an entity's Board of Directors or advisory committees; Celgene: Honoraria; Meiji Seika Kaisha: Honoraria; Kyowa Hakko Kirin: Honoraria, Research Funding; Eisai: Honoraria; Chugai: Honoraria, Research Funding. Atsuta:Chugai Pharmaceutical Co., Ltd.: Honoraria; Kyowa Kirin Co., Ltd: Honoraria; Mochida Pharmaceutical Co. Ltd: Honoraria; Janssen Paharmaceutical K.K.: Honoraria. Matsue:Celgene: Honoraria; Takeda Pharmaceutical Company Limited: Honoraria; Ono Pharmaceutical: Honoraria; Novartis Pharma K.K: Honoraria; Janssen Pharmaceutical K.K.: Honoraria. Kusumoto:Chugai Pharmaceutical Co., Ltd.: Consultancy, Honoraria, Research Funding; Kyowa Kirin Co., Ltd.: Honoraria, Research Funding. Nagai:Eisai: Honoraria, Research Funding; HUYA Bioscience International: Research Funding; AstraZeneca: Honoraria, Research Funding; Takeda Pharmaceutical: Honoraria, Research Funding; Celgene: Honoraria, Research Funding; Janssen Pharmaceutical: Honoraria, Research Funding; Ono Pharmaceutical: Honoraria, Research Funding; Zenyaku Kogyo: Honoraria, Research Funding; Sanofi: Honoraria; Otsuka Pharmaceutical: Research Funding; SymBio Pharmaceuticals Limited: Honoraria, Research Funding; Solasia Pharma K.K.: Research Funding; Bristol-Myers Squibb: Honoraria, Research Funding; Kyowa Kirin: Honoraria, Research Funding; IQVIA: Research Funding; Chugai Pharmaceutical: Honoraria, Research Funding; MSD: Honoraria; Novartis Pharma: Honoraria; Mundi Pharma: Honoraria, Research Funding; Bayer Pharma: Honoraria, Research Funding; AbbVie: Research Funding. Fukuhara:Mundi: Honoraria; Celgene Corporation: Honoraria, Research Funding; Chugai Pharmaceutical Co., Ltd.: Honoraria; Eisai: Honoraria, Research Funding; Janssen Pharma: Honoraria; Kyowa-Hakko Kirin: Honoraria; Mochida: Honoraria; Nippon Shinkyaku: Honoraria; Ono Pharmaceutical Co., Ltd.: Honoraria; Takeda Pharmaceutical Co., Ltd.: Honoraria, Research Funding; Zenyaku: Honoraria; AbbVie: Research Funding; Bayer: Research Funding; Gilead: Research Funding; Solasia Pharma: Research Funding. Miyazaki:Eisai: Honoraria; Chugai: Honoraria; Kyowa Hakko Kirin: Honoraria, Research Funding; Celgene: Honoraria; Ono Pharmaceutical: Research Funding; Astellas Pharma: Research Funding; Takeda: Honoraria; SymBio Pharmaceuticals: Honoraria; Nippon Shinyaku: Honoraria; Janssen Pharmaceutical: Honoraria. Okamoto:Kyowa Kirin Co., Ltd.: Other: Scholarship donation; Chugai Pharmaceutical Co., Ltd.: Other: Scholarship donation; Takeda Pharmaceutical Co., Ltd.: Other: Scholarship donation; Taiho Pharmaceutical Co., Ltd.: Other: Scholarship donation. Uchida:Eisai: Honoraria. Tsukasaki:Daiichi Sankyo: Consultancy; Kyowa Kirin: Honoraria; Huya: Consultancy, Honoraria, Research Funding; Byer: Research Funding; Mundi Pharma: Honoraria; Ono Pharmaceutical: Consultancy; Eisai: Research Funding; Chugai Pharmaceutical: Honoraria, Research Funding; Celgene: Honoraria, Research Funding. Masaki:Tanabe Mitsubishi: Research Funding; Taiho: Research Funding; Kyowa Kirin: Research Funding; Astellas Pharma: Research Funding; Chugai Pharmaceutical: Research Funding; Ono Pharmaceutical: Research Funding; Pfizer: Research Funding; Eisai: Research Funding; Taisho Toyama: Research Funding; Daiichi Sankyo: Research Funding; Teijin: Research Funding; Takeda Pharmaceutical: Research Funding. Kiyoi:Sumitomo Dainippon Pharma Co., Ltd.: Research Funding; Bristol-Myers Squibb: Research Funding; Chugai Pharmaceutical Co., Ltd.: Research Funding; Astellas Pharma Inc.: Honoraria, Research Funding; Takeda Pharmaceutical Co., Ltd.: Research Funding; Zenyaku Kogyo Co., Ltd.: Research Funding; Kyowa Hakko Kirin Co., Ltd.: Research Funding; Otsuka Pharmaceutical Co.,Ltd.: Research Funding; FUJIFILM Corporation: Research Funding; Eisai Co., Ltd.: Research Funding; Nippon Shinyaku Co., Ltd.: Research Funding; Pfizer Japan Inc.: Honoraria; Perseus Proteomics Inc.: Research Funding; Daiichi Sankyo Co., Ltd: Research Funding. Suzuki:Chugai Pharmaceutical Co.,Ltd.: Honoraria; Meiji Seika: Honoraria; Merck Sharp & Dohme: Honoraria; Takeda Pharmaceutical Co., Ltd.: Honoraria; Bristol-Myers Squibb: Honoraria; Kyowa Hakko Kirin: Honoraria; Celgene: Honoraria; Eisai: Honoraria; ONO Pharmaceutical Co., Ltd.: Honoraria; Janssen: Honoraria; AbbVie: Honoraria; Novartis: Honoraria.
Author notes
Asterisk with author names denotes non-ASH members.

This feature is available to Subscribers Only
Sign In or Create an Account Close Modal