Key Points
PTCy increased the risk of CMV infection in seropositive Haplo and Sib HCT recipients relative to Sib HCT with conventional GVHD prophylaxis.
CMV infection was associated with higher chronic GVHD in PTCy recipients, potentially negating the protective effect of PTCy.
Abstract
Prior studies suggest increased cytomegalovirus (CMV) infection after haploidentical donor transplantation with posttransplant cyclophosphamide (HaploCy). The role of allograft source and posttransplant cyclophosphamide (PTCy) in CMV infection is unclear. We analyzed the effect of graft source and PTCy on incidence of CMV infection, and effects of serostatus and CMV infection on transplant outcomes. We examined patients reported to the Center for International Blood and Marrow Transplantation Research between 2012 and 2017 who had received HaploCy (n = 757), matched related (Sib) with PTCy (SibCy, n = 403), or Sib with calcineurin inhibitor-based prophylaxis (SibCNI, n = 1605). Cumulative incidences of CMV infection by day 180 were 42%, 37%, and 23%, respectively (P < .001). CMV disease was statistically comparable. CMV infection risk was highest for CMV-seropositive recipients (R+), but significantly higher in PTCy recipients regardless of donor (HaploCy [n = 545]: hazard ratio [HR], 50.3; SibCy [n = 279]: HR, 47.7; SibCNI [n = 1065]: HR, 24.4; P < .001). D+/R− patients also had increased risk for CMV infection. Among R+ or those developing CMV infection, HaploCy had worse overall survival and nonrelapse mortality. Relapse was unaffected by CMV infection or serostatus. PTCy was associated with lower chronic graft-versus-host disease (GVHD) overall, but CMV infection in PTCy recipients was associated with higher chronic GVHD (P = .006). PTCy, regardless of donor, is associated with higher incidence of CMV infection, augmenting the risk of seropositivity. Additionally, CMV infection may negate the chronic GVHD protection of PTCy. This study supports aggressive prevention strategies in all receiving PTCy.
Introduction
Despite preemptive therapy and prophylaxis, cytomegalovirus (CMV) infection remains associated with inferior outcomes after allogeneic hematopoietic cell transplantation (HCT).1,,,,-6 A recent Center for International Blood and Marrow Transplant Research (CIBMTR) analysis demonstrated that CMV seropositivity and CMV reactivation were independently associated with worse nonrelapse mortality (NRM) and overall survival (OS).7 Additionally, despite numerous contemporaneous single-center studies suggesting an association of CMV infection with decreased relapse, this was not observed in larger studies.8,-10
In the above-referenced CIBMTR study, haploidentical HCT was excluded, and posttransplant cyclophosphamide (PTCy) comprised less than 1% of graft-versus-host disease (GVHD) prophylaxis.7 Single-center reports suggest haploidentical HCT with PTCy (HaploCy) is associated with an increased incidence of CMV infection with an earlier onset relative to historical comparisons of HLA-matched HCT.11,,-14 Such findings prompted many to alter prevention strategies, treating haploidentical HCT as higher risk with more aggressive monitoring and earlier triggers for preemptive therapy.15 For example, the pivotal clinical trial of letermovir designated haploidentical transplant as higher risk. However, it and others did not define PTCy itself as a risk for CMV reactivation.16,-18
The success of PTCy to prevent acute and chronic GVHD has expanded its utilization to HLA-matched donor transplantation. Retrospective and prospective studies have suggested its efficacy among matched-related (Sib) and matched-unrelated donor transplantation at preventing GVHD without affecting relapse.19,,-22 PTCy functions by selective impairment of allo-reactive T cells, with preferential sparing and recovery of suppressive regulatory T cells.23,,,-27 Such selective T-cell modulation may have an effect on cellular immunity directed against CMV.28,-30
We queried the CIBMTR database to address whether haploidentical donor source and/or PTCy confer higher risk of CMV infection by comparison of CMV incidence across 3 cohorts (HaploCy, Sibs with PTCy [SibCy], and Sibs with calcineurin inhibitor-based GVHD prophylaxis [SibCNI]). We also investigated the impact of donor/recipient CMV serostatus and CMV infection, with respect to these cohorts, on relapse, mortality, and other transplant-related outcomes.
Methods
Data source
The CIBMTR is a large voluntary working group of more than 500 transplant centers worldwide that collect data on autologous transplants, allogeneic transplants, and other cellular therapies. The CIBMTR complies with federal regulations that protect human research subjects under the guidance of the CIBMTR and the National Marrow Donor Program institutional review board.
Infection definitions
Details on CIBMTR data are reported (supplemental Data, available on the Blood Web site). Infection data are reported only on the CIBMTR comprehensive report forms. Centers report infections in accordance with instructions in the forms manual (https://www.cibmtr.org/manuals/fim/1/en/topic/f2100-q428-440).31 Data include organism, site of infection, and date of onset. There are no data on prophylaxis, diagnostic methodology, or treatment of infection. Forms do not collect specifics on viral load or preemptive protocols for surveillance. CMV infection was defined as blood stream only (DNAemia) ± tissue-invasive (end-organ) disease. The term “CMV reactivation” is not used in this study as some patients have primary infection.32
Inclusion and exclusion criteria
All patients reported to the CIBMTR receiving their first HCT for acute myeloid leukemia (AML), acute lymphoblastic leukemia (ALL), and myelodysplastic syndrome (MDS) between 2012 and 2017 were eligible. Umbilical cord blood–, unrelated donor–, or single-mismatch–related donor transplantations were excluded. Unrelated donor transplantation was excluded as there were few matched unrelated donors with PTCy reported on comprehensive report forms. Those who lacked posttransplant infection information or with documented CMV infection before day 0 were excluded. We excluded patients who had T-cell manipulation in the forms of CD34 selection, ex vivo T-cell depletion, antithymocyte globulin, or alemtuzumab to avoid confounders for infection. The study was restricted to centers that reported HaploCy patients and SibCNI patients to limit center bias for reporting, surveilling, prophylaxis, and treatment.
We excluded patients who received PTCy as monotherapy for GVHD prophylaxis as few such patients were reported (n = 10). Among the SibCNI cohort, GVHD prophylaxis was limited to tacrolimus/cyclosporine + methotrexate ± other or tacrolimus/cyclosporine + mycophenylate mofetil ± other.
The completeness of follow-up indices for the cohorts (HaploCy, SibCy, and SibCNI) at 1 year was 98%, 98%, and 99%, respectively, and 91%, 93%, and 95% at 2 years, respectively.
Study design
This is a retrospective registry study comprised of 3 major analyses. The first analysis examined the 3 general cohorts (HaploCy, SibCy, and SibCNI) to determine the incidence of CMV DNAemia and CMV disease by day 180. In the second analysis, these cohorts were subdivided based on CMV donor/recipient (D/R) serostatus classified as R+, D+/R−, or D−/R− to provide further granularity based on inherent risk of CMV. R+ patients (D−/R+ and D+/R+) were combined based on prior CIBMTR data demonstrating similar cumulative incidence of CMV infection and transplant outcomes by 1 year after transplant for patients receiving bone marrow and peripheral blood stem cells for R+ patients irrespective of donor serostatus.7 CMV infection (DNAemia ± organ disease) was the principal infection related outcome of interest for this analysis. The final analysis examined the impact of CMV DNAemia, treated as a time-dependent covariate, in relation to transplant-related outcomes. The specific transplant outcomes of interest for both the CMV serostatus and CMV DNAemia analyses included OS, disease-free survival, cumulative incidences of relapse, NRM, and GVHD by 2 years.
Statistics
The variables, outcomes, and competing risks in the analyses are detailed in the supplemental Methods. Patient-, disease- and transplant-related factors were compared between groups using the Pearson χ2 test for categorical variables and the Kruskal-Wallis test for continuous variables. In the analysis comparing the incidence of CMV DNAemia and disease across the 3 general cohorts, cumulative incidence estimates were used accounting for competing risks. All tests were performed with a 2-sided α of 0.01 and reported with 99% confidence intervals (CIs).
In the CMV serostatus analysis, the probabilities of disease-free survival and OS were calculated using the Kaplan-Meier estimator, with the variance estimated by Greenwood’s formula. Cumulative incidence estimates were calculated for the other end points to account for competing risks. The main effect variable in the CMV DNAemia analysis was time dependent. Therefore, dynamic landmark analysis was used, in which landmarks at the median and interquartile ranges for CMV DNAemia were chosen, and serial cumulative incidence curves were developed to visualize the univariate impact of the time-dependent main effect variable on time-dependent outcomes (relapse, NRM, and acute GVHD).33
Because of the interactions between donor type, use of PTCy, and CMV variable of interest, composite variables were required in the CMV serostatus analysis and in the CMV DNAemia analysis (Table 1). These composites were the main effect variables in their respective multivariable analyses. Other variables examined in the multivariable analyses are listed in Table 1.
Main effect and other variables included in analyses
| Groups and variables . |
|---|
| Analysis: CMV serostatus |
| Composite: main effect variable (groups by serostatus/donor/PTCy) |
|
| Analysis: CMV DNAemia by day 180 |
| Composite: main effect variable (groups by donor/PTCy/CMV infection) |
|
| Other variables examined in multivariate analyses |
|
| Groups and variables . |
|---|
| Analysis: CMV serostatus |
| Composite: main effect variable (groups by serostatus/donor/PTCy) |
|
| Analysis: CMV DNAemia by day 180 |
| Composite: main effect variable (groups by donor/PTCy/CMV infection) |
|
| Other variables examined in multivariate analyses |
|
Because of the interactions between donor type, use of PTCy, and other variables of interest in each analysis, composite variables were for the CMV serostatus analysis and CMV DNAemia analysis. These composite variables also served as the main effect variables analyzed in their respective multivariate analyses that examined them with respect to the other variables of interest. AL, acute leukemia; BM, bone marrow; cyto, cytogenetics; F, female; KPS, Karnosfky performance status; M, male; nl, normal; PB, peripheral blood; Sib, sibling; TBI, total body irradiation.
Multivariable analyses using Cox proportional hazards regressions were performed for each outcome. Each Cox model was adjusted for center effect.34 The variables considered in the multivariable regression models are listed in Table 1. The assumption of proportional hazards for each factor in the Cox model was tested. Time-dependent variables were added in the model in cases of violation of the proportional hazard assumption. Interactions between the main effect variables and other variables of interest were tested. The stepwise variable selection method was used to identify significant risk factors that associated with the outcomes. The final model retains factors significantly associated with the outcome variable at a 1% level.
Results
Patient, disease, and transplant characteristics
Demographic, disease, and transplant characteristics stratified by HaploCy (n = 757), SibCy (n = 403), and SibCNI (n = 1605) cohorts are presented in Table 2. The SibCy cohort had a significantly younger median age and wider distribution across all age groups, with ages among HaploCy and SibCNI recipients clustering at the sixth decade and beyond. Performance status was modestly, but significantly, worse within the HaploCy cohort. Racial and ethnic minorities made up a significantly higher proportion of both the HaploCy and SibCy groups. Among the HaploCy and SibCy cohorts, 99% and 95%, respectively, received a calcineurin inhibitor (CNI) in addition to PTCy.
Baseline patient, disease, and transplant characteristics stratified by donor source and PTCy
| Variable . | HaploCy, N (%), N = 757 . | SibCy, N (%), N = 403 . | SibCNI, N (%), N = 1605 . | P . |
|---|---|---|---|---|
| Patient related | ||||
| No. of centers | 100 | 77 | 100 | |
| Sex, male | 459 (61) | 243 (60) | 933 (58) | .450 |
| Age, median (range), y | 58 (3-78) | 46 (3-75) | 57 (2-78) | <.001 |
| Age at transplant, y | <.001 | |||
| ≤20 | 86 (11) | 27 (7) | 126 (8) | |
| 21-40 | 112 (15) | 131 (33) | 252 (16) | |
| 41-60 | 223 (29) | 149 (37) | 597 (37) | |
| >60 | 336 (44) | 96 (24) | 630 (39) | |
| Karnofsky/Lansky performance at HCT | <.001 | |||
| <80 | 119 (16) | 65 (16) | 200 (12) | |
| 80-89 | 229 (30) | 102 (25) | 449 (28) | |
| ≥90 | 390 (52) | 233 (58) | 946 (59) | |
| Missing | 19 (3) | 3 (<1) | 10 (<1) | |
| Race/ethnicity | <.001 | |||
| White | 444 (59) | 239 (59) | 1109 (69) | |
| African American | 131 (17) | 56 (14) | 107 (7) | |
| Asian/Pacific Islander, non-Hispanic | 54 (7) | 30 (7) | 106 (7) | |
| Native American, non-Hispanic | 3 (<1) | 1 (<1) | 9 (<1) | |
| Hispanic | 77 (10) | 49 (12) | 145 (9) | |
| Missing | 48 (6) | 28 (7) | 127 (8) | |
| Donor related | ||||
| Donor age, median(range), y | 36 (9-76) | 45 (4-72) | 54 (2-82) | <.001 |
| Donor age (in decades) | <.001 | |||
| 0-20 | 52 (7) | 37 (9) | 125 (8) | |
| 21-40 | 414 (55) | 131 (33) | 279 (17) | |
| 41-60 | 253 (33) | 172 (43) | 698 (43) | |
| >60 | 32 (4) | 63 (16) | 487 (30) | |
| Missing | 6 (<1) | 0 | 16 (<1) | |
| Donor/recipient sex match | .001 | |||
| Male-male | 289 (38) | 156 (39) | 507 (32) | |
| Male-female | 180 (24) | 99 (25) | 347 (22) | |
| Female-male | 170 (22) | 87 (22) | 426 (27) | |
| Female-female | 118 (16) | 61 (15) | 324 (20) | |
| Missing | 0 | 0 | 1 (<1) | |
| Donor/recipient CMV status | .04 | |||
| +/+ | 326 (43) | 172 (43) | 684 (43) | |
| +/− | 54 (7) | 36 (9) | 163 (10) | |
| −/+ | 217 (29) | 101 (25) | 383 (24) | |
| −/− | 131 (17) | 79 (20) | 327 (20) | |
| Recipient missing | 3 (<1) | 2 (<1) | 15 (<1) | |
| Donor missing | 26 (3) | 13 (3) | 33 (2) | |
| Disease related | ||||
| Disease | <.001 | |||
| AML | 528 (70) | 310 (77) | 1025 (64) | |
| ALL | 26 (3) | 19 (5) | 60 (4) | |
| MDS | 203 (27) | 74 (18) | 520 (32) | |
| HCT-CI | .817 | |||
| 0 | 199 (26) | 103 (26) | 392 (24) | |
| 1-2 | 209 (28) | 124 (31) | 447 (28) | |
| 3-4 | 211 (28) | 104 (26) | 476 (30) | |
| 5+ | 137 (18) | 71 (18) | 285 (18) | |
| Missing | 1 (<1) | 1 (<1) | 5 (<1) | |
| Disease status | <.001 | |||
| AML/ALL, early | 308 (41) | 189 (47) | 719 (45) | |
| AML/ALL, intermediate | 143 (19) | 77 (19) | 210 (13) | |
| AML/ALL, advanced | 97 (13) | 61 (15) | 144 (9) | |
| AML/ALL, unknown | 6 (<1) | 2 (<1) | 15 (<1) | |
| MDS, early | 76 (10) | 24 (6) | 179 (11) | |
| MDS, advanced | 127 (17) | 50 (12) | 338 (21) | |
| Cytogenetics for AML/ALL (n = 1968) | .22 | |||
| Favorable | 23 (3) | 18 (4) | 39 (2) | |
| Intermediate (including normal) | 298 (39) | 168 (42) | 601 (37) | |
| Poor | 203 (27) | 132 (33) | 374 (23) | |
| Other | 20 (3) | 6 (1) | 49 (3) | |
| Not tested/missing | 10 (1) | 5 (1) | 22 (1) | |
| IPSS-R before transplant; MDS only (n = 797) | .30 | |||
| Very low/low | 86 (11) | 36 (9) | 193 (12) | |
| Intermediate | 53 (7) | 22 (5) | 160 (10) | |
| High/very high | 43 (6) | 13 (3) | 111 (7) | |
| Missing | 21 (3) | 3 (<1) | 56 (3) | |
| Transplant related | ||||
| Graft type | <.001 | |||
| Bone marrow | 308 (41) | 131 (33) | 200 (12) | |
| Peripheral blood | 449 (59) | 272 (67) | 1405 (88) | |
| Conditioning regimen intensity | <.001 | |||
| Myeloablative | 314 (41) | 222 (55) | 935 (58) | |
| RIC/NMA | 443 (59) | 181 (45) | 670 (42) | |
| GVHD prophylaxis | ||||
| Cyclophosphamide | 757 | 403 | — | |
| TAC/CSA + MMF + others | — | — | 362 (23) | |
| TAC/CSA + MTX + others | — | — | 1243 (77) | |
| TBI, yes | 531 (70) | 234 (58) | 436 (27) | <.001 |
| G-CSF, GM-CSF planned | <.001 | |||
| No | 133 (18) | 84 (21) | 1223 (76) | |
| Yes | 620 (82) | 319 (79) | 379 (24) | |
| Missing | 4 (<1) | 0 | 3 (<1) | |
| Time from diagnosis to transplant, median (range), mo | 7 (1-165) | 7 (<1-396) | 5 (1-556) | <.001 |
| Time from diagnosis to transplant | <.001 | |||
| <6 mo | 315 (42) | 180 (45) | 890 (55) | |
| 6 mo to 1 y | 195 (26) | 117 (29) | 348 (22) | |
| >1 y | 246 (32) | 105 (26) | 363 (23) | |
| Missing | 1 (<1) | 1 (<1) | 4 (<1) | |
| Year of transplant | <.001 | |||
| 2012-2014 | 170 (22) | 87 (22) | 806 (50) | |
| 2015-2017 | 587 (78) | 316 (78) | 799 (50) | |
| Median follow-up of survivors, mo | 25 (3-74) | 25 (3-69) | 37 (2-75) |
| Variable . | HaploCy, N (%), N = 757 . | SibCy, N (%), N = 403 . | SibCNI, N (%), N = 1605 . | P . |
|---|---|---|---|---|
| Patient related | ||||
| No. of centers | 100 | 77 | 100 | |
| Sex, male | 459 (61) | 243 (60) | 933 (58) | .450 |
| Age, median (range), y | 58 (3-78) | 46 (3-75) | 57 (2-78) | <.001 |
| Age at transplant, y | <.001 | |||
| ≤20 | 86 (11) | 27 (7) | 126 (8) | |
| 21-40 | 112 (15) | 131 (33) | 252 (16) | |
| 41-60 | 223 (29) | 149 (37) | 597 (37) | |
| >60 | 336 (44) | 96 (24) | 630 (39) | |
| Karnofsky/Lansky performance at HCT | <.001 | |||
| <80 | 119 (16) | 65 (16) | 200 (12) | |
| 80-89 | 229 (30) | 102 (25) | 449 (28) | |
| ≥90 | 390 (52) | 233 (58) | 946 (59) | |
| Missing | 19 (3) | 3 (<1) | 10 (<1) | |
| Race/ethnicity | <.001 | |||
| White | 444 (59) | 239 (59) | 1109 (69) | |
| African American | 131 (17) | 56 (14) | 107 (7) | |
| Asian/Pacific Islander, non-Hispanic | 54 (7) | 30 (7) | 106 (7) | |
| Native American, non-Hispanic | 3 (<1) | 1 (<1) | 9 (<1) | |
| Hispanic | 77 (10) | 49 (12) | 145 (9) | |
| Missing | 48 (6) | 28 (7) | 127 (8) | |
| Donor related | ||||
| Donor age, median(range), y | 36 (9-76) | 45 (4-72) | 54 (2-82) | <.001 |
| Donor age (in decades) | <.001 | |||
| 0-20 | 52 (7) | 37 (9) | 125 (8) | |
| 21-40 | 414 (55) | 131 (33) | 279 (17) | |
| 41-60 | 253 (33) | 172 (43) | 698 (43) | |
| >60 | 32 (4) | 63 (16) | 487 (30) | |
| Missing | 6 (<1) | 0 | 16 (<1) | |
| Donor/recipient sex match | .001 | |||
| Male-male | 289 (38) | 156 (39) | 507 (32) | |
| Male-female | 180 (24) | 99 (25) | 347 (22) | |
| Female-male | 170 (22) | 87 (22) | 426 (27) | |
| Female-female | 118 (16) | 61 (15) | 324 (20) | |
| Missing | 0 | 0 | 1 (<1) | |
| Donor/recipient CMV status | .04 | |||
| +/+ | 326 (43) | 172 (43) | 684 (43) | |
| +/− | 54 (7) | 36 (9) | 163 (10) | |
| −/+ | 217 (29) | 101 (25) | 383 (24) | |
| −/− | 131 (17) | 79 (20) | 327 (20) | |
| Recipient missing | 3 (<1) | 2 (<1) | 15 (<1) | |
| Donor missing | 26 (3) | 13 (3) | 33 (2) | |
| Disease related | ||||
| Disease | <.001 | |||
| AML | 528 (70) | 310 (77) | 1025 (64) | |
| ALL | 26 (3) | 19 (5) | 60 (4) | |
| MDS | 203 (27) | 74 (18) | 520 (32) | |
| HCT-CI | .817 | |||
| 0 | 199 (26) | 103 (26) | 392 (24) | |
| 1-2 | 209 (28) | 124 (31) | 447 (28) | |
| 3-4 | 211 (28) | 104 (26) | 476 (30) | |
| 5+ | 137 (18) | 71 (18) | 285 (18) | |
| Missing | 1 (<1) | 1 (<1) | 5 (<1) | |
| Disease status | <.001 | |||
| AML/ALL, early | 308 (41) | 189 (47) | 719 (45) | |
| AML/ALL, intermediate | 143 (19) | 77 (19) | 210 (13) | |
| AML/ALL, advanced | 97 (13) | 61 (15) | 144 (9) | |
| AML/ALL, unknown | 6 (<1) | 2 (<1) | 15 (<1) | |
| MDS, early | 76 (10) | 24 (6) | 179 (11) | |
| MDS, advanced | 127 (17) | 50 (12) | 338 (21) | |
| Cytogenetics for AML/ALL (n = 1968) | .22 | |||
| Favorable | 23 (3) | 18 (4) | 39 (2) | |
| Intermediate (including normal) | 298 (39) | 168 (42) | 601 (37) | |
| Poor | 203 (27) | 132 (33) | 374 (23) | |
| Other | 20 (3) | 6 (1) | 49 (3) | |
| Not tested/missing | 10 (1) | 5 (1) | 22 (1) | |
| IPSS-R before transplant; MDS only (n = 797) | .30 | |||
| Very low/low | 86 (11) | 36 (9) | 193 (12) | |
| Intermediate | 53 (7) | 22 (5) | 160 (10) | |
| High/very high | 43 (6) | 13 (3) | 111 (7) | |
| Missing | 21 (3) | 3 (<1) | 56 (3) | |
| Transplant related | ||||
| Graft type | <.001 | |||
| Bone marrow | 308 (41) | 131 (33) | 200 (12) | |
| Peripheral blood | 449 (59) | 272 (67) | 1405 (88) | |
| Conditioning regimen intensity | <.001 | |||
| Myeloablative | 314 (41) | 222 (55) | 935 (58) | |
| RIC/NMA | 443 (59) | 181 (45) | 670 (42) | |
| GVHD prophylaxis | ||||
| Cyclophosphamide | 757 | 403 | — | |
| TAC/CSA + MMF + others | — | — | 362 (23) | |
| TAC/CSA + MTX + others | — | — | 1243 (77) | |
| TBI, yes | 531 (70) | 234 (58) | 436 (27) | <.001 |
| G-CSF, GM-CSF planned | <.001 | |||
| No | 133 (18) | 84 (21) | 1223 (76) | |
| Yes | 620 (82) | 319 (79) | 379 (24) | |
| Missing | 4 (<1) | 0 | 3 (<1) | |
| Time from diagnosis to transplant, median (range), mo | 7 (1-165) | 7 (<1-396) | 5 (1-556) | <.001 |
| Time from diagnosis to transplant | <.001 | |||
| <6 mo | 315 (42) | 180 (45) | 890 (55) | |
| 6 mo to 1 y | 195 (26) | 117 (29) | 348 (22) | |
| >1 y | 246 (32) | 105 (26) | 363 (23) | |
| Missing | 1 (<1) | 1 (<1) | 4 (<1) | |
| Year of transplant | <.001 | |||
| 2012-2014 | 170 (22) | 87 (22) | 806 (50) | |
| 2015-2017 | 587 (78) | 316 (78) | 799 (50) | |
| Median follow-up of survivors, mo | 25 (3-74) | 25 (3-69) | 37 (2-75) |
CSA, cyclosporine; G-CSF, granulocyte-colony stimulating factor; GM-CSF, granulocyte-macrophage-colony stimulating factor; IPSS-R, Revised-International Prognostic Scoring System; MMF, mycophenolate mofetil; MTX, methotrexate; TAC, tacrolimus.
The donors in the SibCNI cohort were significantly older with a higher frequency of female-to-male donation. Donor/recipient CMV serostatus combinations were not statistically different across the 3 cohorts.
AML was the most common indication for HCT across cohorts, but a higher proportion of SibCNI patients had MDS. Although a higher proportion of PTCy recipients had advanced disease at the time of transplant, most patients with ALL and AML were in complete remission.
The use of bone marrow as a graft source differed significantly, 41%, 33%, and 12% for HaploCy, SibCy, and SibCNI, respectively (P < .001). HaploCy recipients received reduced-intensity conditioning regimens more frequently, and both HaploCy and SibCy recipients received TBI as part of their conditioning and planned growth factor more commonly than SibCNI patients.
Cell dose and immune reconstitution after HCT
Cell dose data for both total nucleated cell dose and CD34+ cell dose were missing in about 20% of each cohort (supplemental Table 1). The CD3+ dose infused was missing in about 45% of all patients. Of those reported, total nucleated cell, CD34+, and CD3+ cell doses were significantly lower in the HaploCy and SibCy cohorts, possibly reflecting the increased proportion of bone marrow grafts over peripheral blood stem cells.
Immune reconstitution data at days 100 and 180 were missing in a significant proportion of patients irrespective of cohort; therefore, data are included for descriptive purposes only (supplemental Figure 1).
Incidence of CMV infection with relation to donor source and PTCy
The incidence of CMV DNAemia was significantly higher in both cohorts receiving PTCy compared with the SibCNI cohort. In the univariate analysis, cumulative incidences of CMV DNAemia by day 180 were 42% (99% CI, 37-46), 37% (99% CI, 31-43), and 23% (99% CI, 20-26) for HaploCy, SibCy, and SibCNI, respectively (Figure 1; P < .001). The majority of CMV DNAemia occurred by day 100, with respective cumulative incidences at day 100 of 40% (99% CI, 35-45), 36% (99% CI, 30-42), and 21% (99% CI, 18-24; P < .001). The median time to CMV infection differed significantly (HaploCy: 38 days [range, 2-176]; SibCy, 32 days [range, 5-136]; SibCNI: 42 days [range, 4-176], P < .001) with most rapid onset in the SibCy cohort.
Univariate analysis of the cumulative incidence of CMV DNAemia comparing HaploCy, SibCy, and SibCNI allogeneic HCT. The incidence of CMV DNAemia was significantly higher among both cohorts receiving PTCy compared with that which did not (P < .0001). Cumulative incidences of CMV DNAemia by day 100 were 40% (99% CI, 35-45), 36% (99% CI, 30-42), and 21% (99% CI, 18-24) for HaploCy, SibCy, and SibCNI, respectively; and by D180 were 42% (99% CI, 37-46), 37% (99% CI, 31-43), and 23% (99% CI, 20-26), respectively. The median times to CMV infection (days) were 38 (range, 2-176), 32 (range, 5-136), and 42 (range, 4-176; P < .001).
Univariate analysis of the cumulative incidence of CMV DNAemia comparing HaploCy, SibCy, and SibCNI allogeneic HCT. The incidence of CMV DNAemia was significantly higher among both cohorts receiving PTCy compared with that which did not (P < .0001). Cumulative incidences of CMV DNAemia by day 100 were 40% (99% CI, 35-45), 36% (99% CI, 30-42), and 21% (99% CI, 18-24) for HaploCy, SibCy, and SibCNI, respectively; and by D180 were 42% (99% CI, 37-46), 37% (99% CI, 31-43), and 23% (99% CI, 20-26), respectively. The median times to CMV infection (days) were 38 (range, 2-176), 32 (range, 5-136), and 42 (range, 4-176; P < .001).
Overall, the incidence of CMV organ disease was low. The cumulative incidences of CMV disease were 2.8% (99% CI, 1.4-4.6), 3.4% (99% CI, 1.4-6.2), and 1.4% (99% CI, 0.7-2.3), respectively (P = .026) by day 100. This increased modestly by day 180 and remained nonsignificant (P = .115). Only 70 patients (HaploCy = 24 [3%], SibCy = 14 [3%], and SibCNI = 32 [2%]) reported CMV organ involvement. This included 31 patients with gastrointestinal disease (HaploCy = 8 [1%], SibCy = 1 [<1%], and SibCNI = 22 [1%]) and 25 patients with pulmonary involvement (HaploCy = 9 [1%], SibCy = 10 [2%], and SibCNI = 6 [<1%]).
Impact of donor/recipient CMV serostatus on CMV infection
Baseline characteristics of patients stratified by donor source, PTCy, and D/R CMV serostatus are contained within supplemental Table 2. In the R+ subgroup, the univariate cumulative incidences of CMV DNAemia by day 100 were 51% (99% CI, 46-57) for HaploCy, 48% (99% CI, 41-56) for SibCy, and 29% (99% CI, 25-32) for SibCNI. D+/R− serostatus was associated with an increased incidence CMV DNAemia at day 100 (HaploCy: 21% [99% CI, 8-37], SibCy: 12% [99% CI, 2-30], SibCNI 11% [99% CI, 6-18]), although all 3 cohorts had small populations within this subgroup. The day 100 cumulative incidence of CMV DNAemia among D−/R− patients was low: 2.4% (99% CI, 0.2-7.1), 2.6% (99% CI, 0-9.2), and 1.3% (99% CI, 0.2-3.4) for the respective cohorts.
We performed a multivariable analysis addressing the impact of CMV serostatus on CMV infection, controlling for potential confounding variables (Table 3). Of note, allograft source (peripheral blood vs bone marrow) did not significantly influence CMV infection. Only CMV serostatus interacted with the outcome in question. The R+ subgroup had a much higher risk of CMV infection relative to the D−/R− SibCNI reference cohort, with hazard ratios (HRs) of 50 (99% CI, 14-181), 48 (99% CI, 13-177), and 24 (99% CI, 7-82) among R+ HaploCy, R+ SibCy, and R+ SibCNI, respectively (P < .0001 for all comparisons). Pairwise comparisons contrasting subgroups based on serostatus combination, graft type, and PTCy are presented in supplemental Table 3. Among the R+ subgroup, the use of PTCy apparently doubled the risk of CMV infection regardless of donor source (R+HaploCy vs R+SibCNI: HR, 2.1 [99% CI, 1.4-3.1], P < .0001; R+SibCy vs R+SibCNI: HR, 2.0 [99% CI, 1.3-3.1], P = .0001), although there was not a significant difference between R+ HaploCy and R+ SibCy (HR, 1.0 [99% CI, 0.8-1.4], P = .72). The D+/R− subgroup of each cohort had a significantly higher risk of CMV infection than the reference cohort and their D−/R− counterparts (P < .0001). At least in the D+/R− HaploCy cohort, there was a suggestion of a higher risk of CMV infection relative to other D+/R− cohorts but did not achieve statistical significance. Donor source and PTCy did not appear to significantly impact risk of CMV infection among D−/R− patients.
Multivariate analysis demonstrating that the high risk of donor and/or recipient CMV seropositivity is compounded by PTCy regardless of donor source
| Variables . | N . | HR . | 99% CI lower limit . | 99% CI upper limit . | P . | Category P . |
|---|---|---|---|---|---|---|
| Main effect variable | ||||||
| CMV serostatus | ||||||
| D−/R−, SibCNI* | 325 | 1.0 | <.0001 | |||
| R+, HaploCy | 551 | 49.8 | 13.7 | 181.2 | <.0001 | |
| R+, SibCy | 281 | 47.8 | 12.9 | 177.0 | <.0001 | |
| R+, SibCNI | 1077 | 24.0 | 7.0 | 82.2 | <.0001 | |
| D+/R−, HaploCy | 48 | 17.7 | 3.9 | 80.3 | <.0001 | |
| D+/R−, SibCy | 36 | 9.5 | 2.0 | 44.2 | .0002 | |
| D+/R−, SibCNI | 159 | 7.8 | 2.2 | 27.6 | <.0001 | |
| D−/R−, HaploCy | 129 | 1.5 | 0.2 | 8.9 | .59 | |
| D−/R−, SibCy | 78 | 1.8 | 0.2 | 12.9 | .46 | |
| Notable pairwise comparisons | ||||||
| R+, HaploCy vs R+, SibCy | 1.0 | 0.8 | 1.41 | .72 | ||
| R+, HaploCy vs R+, SibCNI | 2.1 | 1.4 | 3.11 | <.0001 | ||
| R+, SibCy vs R+, SibCNI | 2.0 | 1.3 | 3.12 | .0001 | ||
| D+/R−, HaploCy vs D+/R−, SibCy | 1.9 | 0.4 | 8.24 | .28 | ||
| D+/R−, HaploCy vs D+/R−, SibCNI | 2.3 | 0.9 | 5.52 | .02 | ||
| D+/R−, SibCy vs D+/R−, SibCNI | 1.2 | 0.4 | 4.19 | .69 | ||
| D−/R−, HaploCy vs D-/R−, SibCy | 0.8 | 0.3 | 2.24 | .63 | ||
| Other variables tested | ||||||
| Graft type | ||||||
| Bone marrow* | 612 | 1.0 | .79 | |||
| Peripheral blood | 2072 | 1.0 | 0.7 | 1.6 | .79 | |
| Donor-recipient sex match | ||||||
| Male-male* | 933 | 1.0 | .47 | |||
| Male-female | 608 | 1.2 | 0.9 | 1.5 | .12 | |
| Female-male | 659 | 1.1 | 0.8 | 1.4 | .46 | |
| Female-female | 484 | 1.1 | 0.8 | 1.4 | .54 | |
| Age at transplant, y | ||||||
| 0-20* | 230 | 1.0 | .04 | |||
| 21-40 | 475 | 1.8 | 1.0 | 3.1 | .009 | |
| 41-60 | 946 | 2.0 | 1.0 | 4.0 | .01 | |
| >60 | 1033 | 2.3 | 1.1 | 4.9 | .005 | |
| Karnofsky/Lansky performance at HCT | ||||||
| <80* | 1535 | 1.0 | .58 | |||
| 80-89 | 379 | 0.9 | 0.6 | 1.3 | .35 | |
| ≥90 | 770 | 1.0 | 0.7 | 1.4 | .90 | |
| Conditioning regimen intensity | ||||||
| Myeloablative* | 1422 | 1.0 | .03 | |||
| RIC/NMA | 1262 | 0.8 | 0.6 | 1.0 | .03 | |
| TBI | ||||||
| No* | 1519 | 1.0 | .08 | |||
| Yes | 1165 | 1.2 | 0.9 | 1.6 | .08 | |
| Time from diagnosis to transplant | ||||||
| <6 mo* | 1343 | 1.0 | .04 | |||
| 6 mo to 1 y | 643 | 1.1 | 0.9 | 1.4 | .13 | |
| ≥1 y | 698 | 1.2 | 1.0 | 1.5 | .02 | |
| Year of transplant | ||||||
| 2012-2014* | 1034 | 1.0 | .29 | |||
| 2015-2017 | 1650 | 0.9 | 0.7 | 1.2 | .29 | |
| Cytogenetics/IPSS-R | ||||||
| AML/ALL normal* | 146 | 1.0 | .5 | |||
| AML/ALL favorable | 78 | 0.7 | 0.3 | 1.4 | .18 | |
| AML/ALL intermediate | 888 | 1.1 | 0.7 | 1.7 | .68 | |
| AML/ALL poor | 682 | 1.1 | 0.8 | 1.7 | .39 | |
| MDS very low | 92 | 0.8 | 0.4 | 1.8 | .48 | |
| MDS low | 218 | 1.0 | 0.6 | 1.7 | .95 | |
| MDS intermediate | 230 | 1.3 | 0.8 | 2.2 | .21 | |
| MDS high | 109 | 1.2 | 0.7 | 2.2 | .43 | |
| MDS very high | 54 | 0.8 | 0.4 | 1.7 | .50 | |
| Other/not tested/missing | 187 | 0.8 | 0.4 | 1.5 | .35 |
| Variables . | N . | HR . | 99% CI lower limit . | 99% CI upper limit . | P . | Category P . |
|---|---|---|---|---|---|---|
| Main effect variable | ||||||
| CMV serostatus | ||||||
| D−/R−, SibCNI* | 325 | 1.0 | <.0001 | |||
| R+, HaploCy | 551 | 49.8 | 13.7 | 181.2 | <.0001 | |
| R+, SibCy | 281 | 47.8 | 12.9 | 177.0 | <.0001 | |
| R+, SibCNI | 1077 | 24.0 | 7.0 | 82.2 | <.0001 | |
| D+/R−, HaploCy | 48 | 17.7 | 3.9 | 80.3 | <.0001 | |
| D+/R−, SibCy | 36 | 9.5 | 2.0 | 44.2 | .0002 | |
| D+/R−, SibCNI | 159 | 7.8 | 2.2 | 27.6 | <.0001 | |
| D−/R−, HaploCy | 129 | 1.5 | 0.2 | 8.9 | .59 | |
| D−/R−, SibCy | 78 | 1.8 | 0.2 | 12.9 | .46 | |
| Notable pairwise comparisons | ||||||
| R+, HaploCy vs R+, SibCy | 1.0 | 0.8 | 1.41 | .72 | ||
| R+, HaploCy vs R+, SibCNI | 2.1 | 1.4 | 3.11 | <.0001 | ||
| R+, SibCy vs R+, SibCNI | 2.0 | 1.3 | 3.12 | .0001 | ||
| D+/R−, HaploCy vs D+/R−, SibCy | 1.9 | 0.4 | 8.24 | .28 | ||
| D+/R−, HaploCy vs D+/R−, SibCNI | 2.3 | 0.9 | 5.52 | .02 | ||
| D+/R−, SibCy vs D+/R−, SibCNI | 1.2 | 0.4 | 4.19 | .69 | ||
| D−/R−, HaploCy vs D-/R−, SibCy | 0.8 | 0.3 | 2.24 | .63 | ||
| Other variables tested | ||||||
| Graft type | ||||||
| Bone marrow* | 612 | 1.0 | .79 | |||
| Peripheral blood | 2072 | 1.0 | 0.7 | 1.6 | .79 | |
| Donor-recipient sex match | ||||||
| Male-male* | 933 | 1.0 | .47 | |||
| Male-female | 608 | 1.2 | 0.9 | 1.5 | .12 | |
| Female-male | 659 | 1.1 | 0.8 | 1.4 | .46 | |
| Female-female | 484 | 1.1 | 0.8 | 1.4 | .54 | |
| Age at transplant, y | ||||||
| 0-20* | 230 | 1.0 | .04 | |||
| 21-40 | 475 | 1.8 | 1.0 | 3.1 | .009 | |
| 41-60 | 946 | 2.0 | 1.0 | 4.0 | .01 | |
| >60 | 1033 | 2.3 | 1.1 | 4.9 | .005 | |
| Karnofsky/Lansky performance at HCT | ||||||
| <80* | 1535 | 1.0 | .58 | |||
| 80-89 | 379 | 0.9 | 0.6 | 1.3 | .35 | |
| ≥90 | 770 | 1.0 | 0.7 | 1.4 | .90 | |
| Conditioning regimen intensity | ||||||
| Myeloablative* | 1422 | 1.0 | .03 | |||
| RIC/NMA | 1262 | 0.8 | 0.6 | 1.0 | .03 | |
| TBI | ||||||
| No* | 1519 | 1.0 | .08 | |||
| Yes | 1165 | 1.2 | 0.9 | 1.6 | .08 | |
| Time from diagnosis to transplant | ||||||
| <6 mo* | 1343 | 1.0 | .04 | |||
| 6 mo to 1 y | 643 | 1.1 | 0.9 | 1.4 | .13 | |
| ≥1 y | 698 | 1.2 | 1.0 | 1.5 | .02 | |
| Year of transplant | ||||||
| 2012-2014* | 1034 | 1.0 | .29 | |||
| 2015-2017 | 1650 | 0.9 | 0.7 | 1.2 | .29 | |
| Cytogenetics/IPSS-R | ||||||
| AML/ALL normal* | 146 | 1.0 | .5 | |||
| AML/ALL favorable | 78 | 0.7 | 0.3 | 1.4 | .18 | |
| AML/ALL intermediate | 888 | 1.1 | 0.7 | 1.7 | .68 | |
| AML/ALL poor | 682 | 1.1 | 0.8 | 1.7 | .39 | |
| MDS very low | 92 | 0.8 | 0.4 | 1.8 | .48 | |
| MDS low | 218 | 1.0 | 0.6 | 1.7 | .95 | |
| MDS intermediate | 230 | 1.3 | 0.8 | 2.2 | .21 | |
| MDS high | 109 | 1.2 | 0.7 | 2.2 | .43 | |
| MDS very high | 54 | 0.8 | 0.4 | 1.7 | .50 | |
| Other/not tested/missing | 187 | 0.8 | 0.4 | 1.5 | .35 |
We performed Cox proportional hazard models as a multivariate analysis to assess the combined impact of CMV serostatus, donor source, and PTCy on incidence of CMV infection (defined as CMV DNAemia ± organ disease). Because of the numerous variables and larger sample sizes, all analyzes are reported with 99% confidence intervals with a level of significance defined as P < .01. Recipient seropositivity (R+) conferred a high risk for CMV infection across all groups, which was doubled by PTCy use in both HaploCy and SibCy HCT. Donor-positive (D+)/R− serostatus also had a higher risk of CMV infection, which was increased by PTCy, more so in HaploCy HCT (see supplemental Data for pairwise comparisons between serostatus/graft type combinations). Other than serostatus, no other variables examined interacted with the outcome in question. IPSS-R, Revised International Prognostic Scoring System.
Reference cohort for each variable category analyzed.
Impact of CMV serostatus and CMV DNAemia on transplant-related outcomes
Nonrelapse mortality
In univariate analysis, donor or recipient positive CMV serostatus was associated with worse NRM at 100 days, 1 year, and 2 years, with the effects more pronounced among those who received PTCy and in the R+ subgroup (Table 4; Figure 2).
Univariate analyses of the combined impact of CMV serostatus, donor source, and PTCy on transplant-related outcomes
| Outcomes . | Recipient positive . | Donor positive/recipient negative . | Both donor and recipient negative . | P . | |||||||||||||||
|---|---|---|---|---|---|---|---|---|---|---|---|---|---|---|---|---|---|---|---|
| HaploCy (N = 563) . | SibCy (N = 284) . | SibCNI (N = 1086) . | HaploCy (N = 54) . | SibCy (N = 36) . | SibCNI (N = 163) . | HaploCy (N = 131) . | SibCy (N = 79) . | SibCNI(N = 327) . | |||||||||||
| N . | Prob (99% CI) . | N . | Prob (99% CI) . | N . | Prob (99% CI) . | N . | Prob (99% CI) . | N . | Prob (99% CI) . | N . | Prob (99% CI) . | N . | Prob (99% CI) . | N . | Prob (99% CI) . | N . | Prob (99% CI) . | ||
| Overall survival | 563 | 284 | 1086 | 54 | 36 | 163 | 131 | 79 | 327 | <.001 | |||||||||
| 100 days | 84.7 (80.6-88.4)% | 89.1 (83.9-93.4)% | 91.1 (88.7-93.2)% | 92.6 (81-99)% | 88.9 (72.3-98.4)% | 93.9 (88.2-97.8)% | 90.1 (82.4-95.7)% | 91.1 (81.3-97.5)% | 93.9 (90-96.8)% | .001 | |||||||||
| 2 y | 46.4 (40.6-52.3)% | 54.5 (46.4-62.5)% | 57.3 (53.3-61.3)% | 51.7 (32.5-70.6)% | 59.9 (38.1-79.8)% | 52.1 (41.7-62.5)% | 60.3 (48-72)% | 63.1 (47.8-77.1)% | 68 (61-74.6)% | <.001 | |||||||||
| Relapse | 554 | 280 | 1078 | 53 | 36 | 161 | 130 | 79 | 321 | .263 | |||||||||
| 100 days | 8.3 (5.5-11.6)% | 8.6 (4.8-13.4)% | 14.3 (11.7-17.2)% | 9.4 (1.8-22.2)% | 8.3 (0.6-23.9)% | 17.4 (10.4-25.7)% | 7.7 (2.8-14.8)% | 10.1 (3.1-20.5)% | 11.5 (7.3-16.5)% | .002 | |||||||||
| 2 y | 37.8 (32.3-43.5)% | 37 (29.4-44.8)% | 39.2 (35.4-43.2)% | 37 (20.4-55.4)% | 33.7 (15-55.5)% | 49.7 (39.4-60.1)% | 44.3 (32.3-56.7)% | 49.4 (33.9-65)% | 36.1 (29.2-43.3)% | .098 | |||||||||
| Nonrelapse mortality | 554 | 280 | 1078 | 53 | 36 | 161 | 130 | 79 | 321 | <.001 | |||||||||
| 100 days | 12.6 (9.2-16.5)% | 9.6 (5.6-14.7)% | 5.4 (3.8-7.3)% | 5.7 (0.4-16.5)% | 8.3 (0.6-23.9)% | 2.5 (0.3-6.6)% | 7.7 (2.8-14.8)% | 6.3 (1.2-15.2)% | 3.7 (1.5-6.9)% | <.001 | |||||||||
| 2 y | 26.2 (21.4-31.4)% | 18.6 (12.8-25.1)% | 14.7 (12-17.6)% | 18.2 (6.2-34.7)% | 25 (9-45.7)% | 11.6 (5.8-19.1)% | 12.8 (6.1-21.6)% | 15.2 (5.9-27.9)% | 12.1 (7.8-17.3)% | <.001 | |||||||||
| Grade 2-4 acute GVHD | 556 | 281 | 1071 | 54 | 34 | 160 | 130 | 79 | 322 | .891 | |||||||||
| 100 days | 32.6 (27.6-37.9)% | 31 (24.1-38.3)% | 29.3 (25.8-33)% | 35.5 (19.7-53.1)% | 29.4 (11.6-51.3)% | 25.7 (17.4-35.1)% | 28.6 (19-39.3)% | 36.7 (23.4-51.2)% | 28 (21.8-34.6)% | .588 | |||||||||
| 6 mo | 33.9 (28.8-39.2)% | 33.6 (26.5-41)% | 33.5 (29.8-37.3)% | 35.5 (19.7-53.1)% | 29.4 (11.6-51.3)% | 29.5 (20.7-39.2)% | 29.4 (19.6-40.2)% | 38 (24.5-52.5)% | 33.3 (26.7-40.3)% | .919 | |||||||||
| Chronic GVHD | 563 | 283 | 1084 | 54 | 36 | 163 | 131 | 79 | 327 | <.001 | |||||||||
| 6 mo | 16.8 (12.7-21.3)% | 15.9 (10.5-22.1)% | 22.4 (19.1-25.9)% | 11.8 (2.8-25.8)% | 19.7 (5.6-39.6)% | 18.3 (11.1-26.8)% | 19.4 (11.1-29.3)% | 20.4 (9.7-33.8)% | 20.5 (14.9-26.7)% | .101 | |||||||||
| 2 y | 35.2 (29.4-41.3)% | 34.9 (26.9-43.4)% | 54.3 (50-58.6)% | 26.1 (11.1-44.7)% | 43.6 (21.4-67.2)% | 52.1 (40.8-63.3)% | 39.9 (28.2-52.2)% | 40.2 (25.3-56.1)% | 55.8 (48.1-63.4)% | <.001 | |||||||||
| Outcomes . | Recipient positive . | Donor positive/recipient negative . | Both donor and recipient negative . | P . | |||||||||||||||
|---|---|---|---|---|---|---|---|---|---|---|---|---|---|---|---|---|---|---|---|
| HaploCy (N = 563) . | SibCy (N = 284) . | SibCNI (N = 1086) . | HaploCy (N = 54) . | SibCy (N = 36) . | SibCNI (N = 163) . | HaploCy (N = 131) . | SibCy (N = 79) . | SibCNI(N = 327) . | |||||||||||
| N . | Prob (99% CI) . | N . | Prob (99% CI) . | N . | Prob (99% CI) . | N . | Prob (99% CI) . | N . | Prob (99% CI) . | N . | Prob (99% CI) . | N . | Prob (99% CI) . | N . | Prob (99% CI) . | N . | Prob (99% CI) . | ||
| Overall survival | 563 | 284 | 1086 | 54 | 36 | 163 | 131 | 79 | 327 | <.001 | |||||||||
| 100 days | 84.7 (80.6-88.4)% | 89.1 (83.9-93.4)% | 91.1 (88.7-93.2)% | 92.6 (81-99)% | 88.9 (72.3-98.4)% | 93.9 (88.2-97.8)% | 90.1 (82.4-95.7)% | 91.1 (81.3-97.5)% | 93.9 (90-96.8)% | .001 | |||||||||
| 2 y | 46.4 (40.6-52.3)% | 54.5 (46.4-62.5)% | 57.3 (53.3-61.3)% | 51.7 (32.5-70.6)% | 59.9 (38.1-79.8)% | 52.1 (41.7-62.5)% | 60.3 (48-72)% | 63.1 (47.8-77.1)% | 68 (61-74.6)% | <.001 | |||||||||
| Relapse | 554 | 280 | 1078 | 53 | 36 | 161 | 130 | 79 | 321 | .263 | |||||||||
| 100 days | 8.3 (5.5-11.6)% | 8.6 (4.8-13.4)% | 14.3 (11.7-17.2)% | 9.4 (1.8-22.2)% | 8.3 (0.6-23.9)% | 17.4 (10.4-25.7)% | 7.7 (2.8-14.8)% | 10.1 (3.1-20.5)% | 11.5 (7.3-16.5)% | .002 | |||||||||
| 2 y | 37.8 (32.3-43.5)% | 37 (29.4-44.8)% | 39.2 (35.4-43.2)% | 37 (20.4-55.4)% | 33.7 (15-55.5)% | 49.7 (39.4-60.1)% | 44.3 (32.3-56.7)% | 49.4 (33.9-65)% | 36.1 (29.2-43.3)% | .098 | |||||||||
| Nonrelapse mortality | 554 | 280 | 1078 | 53 | 36 | 161 | 130 | 79 | 321 | <.001 | |||||||||
| 100 days | 12.6 (9.2-16.5)% | 9.6 (5.6-14.7)% | 5.4 (3.8-7.3)% | 5.7 (0.4-16.5)% | 8.3 (0.6-23.9)% | 2.5 (0.3-6.6)% | 7.7 (2.8-14.8)% | 6.3 (1.2-15.2)% | 3.7 (1.5-6.9)% | <.001 | |||||||||
| 2 y | 26.2 (21.4-31.4)% | 18.6 (12.8-25.1)% | 14.7 (12-17.6)% | 18.2 (6.2-34.7)% | 25 (9-45.7)% | 11.6 (5.8-19.1)% | 12.8 (6.1-21.6)% | 15.2 (5.9-27.9)% | 12.1 (7.8-17.3)% | <.001 | |||||||||
| Grade 2-4 acute GVHD | 556 | 281 | 1071 | 54 | 34 | 160 | 130 | 79 | 322 | .891 | |||||||||
| 100 days | 32.6 (27.6-37.9)% | 31 (24.1-38.3)% | 29.3 (25.8-33)% | 35.5 (19.7-53.1)% | 29.4 (11.6-51.3)% | 25.7 (17.4-35.1)% | 28.6 (19-39.3)% | 36.7 (23.4-51.2)% | 28 (21.8-34.6)% | .588 | |||||||||
| 6 mo | 33.9 (28.8-39.2)% | 33.6 (26.5-41)% | 33.5 (29.8-37.3)% | 35.5 (19.7-53.1)% | 29.4 (11.6-51.3)% | 29.5 (20.7-39.2)% | 29.4 (19.6-40.2)% | 38 (24.5-52.5)% | 33.3 (26.7-40.3)% | .919 | |||||||||
| Chronic GVHD | 563 | 283 | 1084 | 54 | 36 | 163 | 131 | 79 | 327 | <.001 | |||||||||
| 6 mo | 16.8 (12.7-21.3)% | 15.9 (10.5-22.1)% | 22.4 (19.1-25.9)% | 11.8 (2.8-25.8)% | 19.7 (5.6-39.6)% | 18.3 (11.1-26.8)% | 19.4 (11.1-29.3)% | 20.4 (9.7-33.8)% | 20.5 (14.9-26.7)% | .101 | |||||||||
| 2 y | 35.2 (29.4-41.3)% | 34.9 (26.9-43.4)% | 54.3 (50-58.6)% | 26.1 (11.1-44.7)% | 43.6 (21.4-67.2)% | 52.1 (40.8-63.3)% | 39.9 (28.2-52.2)% | 40.2 (25.3-56.1)% | 55.8 (48.1-63.4)% | <.001 | |||||||||
Cy, posttransplant cyclophosphamide; Prob, probability.
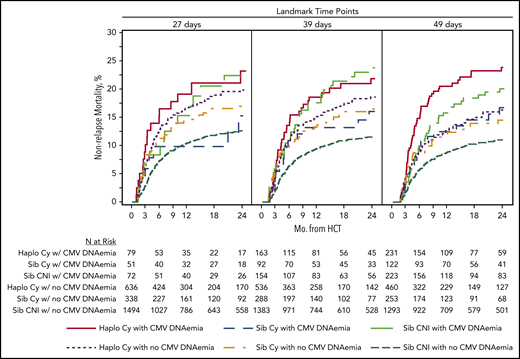
Univariate dynamic landmark analyses demonstrate that those with CMV DNAemia by D100 have worse nonrelapse mortality at day 100, 1 year, and 2 years after HCT. Landmark time points were based on median time to CMV infection and interquartile ranges.
Univariate dynamic landmark analyses demonstrate that those with CMV DNAemia by D100 have worse nonrelapse mortality at day 100, 1 year, and 2 years after HCT. Landmark time points were based on median time to CMV infection and interquartile ranges.
The multivariable analyses examining the impact of D/R CMV serostatus on NRM showed that the R+ HaploCy cohort had a significantly higher risk of NRM than the D−/R− SibCNI reference cohort (HR, 2.4 [99% CI, 1.4-4.2], P = .0001; Figure 3A). Similar, but statistically nonsignificant trends were identified for R+ SibCy (HR, 1.7 [99% CI, 0.9-3.11], P = .022) and D+/R− SibCy (HR, 2.1 [99% CI, 0.9-4.9], P = .021) in comparison with the reference cohort. Within the high-risk R+ subgroup, R+ HaploCy had significantly worse NRM than R+ SibCNI (HR, 1.9 [99% CI, 1.3-2.7], P < .0001) but similar NRM to the R+ SibCy cohort. NRM was comparable between R+ SibCy and R+ SibCNI (supplemental Table 5).
Multivariate analyses of the combined impact of CMV serostatus, donor source, and PTCy. Impact on nonrelapse mortality (A), overall survival (B), relapse (C), and chronic GVHD (D). Notable pairwise comparisons from multivariable analysis are also presented in supplemental Table 5.
Multivariate analyses of the combined impact of CMV serostatus, donor source, and PTCy. Impact on nonrelapse mortality (A), overall survival (B), relapse (C), and chronic GVHD (D). Notable pairwise comparisons from multivariable analysis are also presented in supplemental Table 5.
Additional covariates increasing NRM included female donor for a male recipient (HR, 1.42 [99% CI, 1.10-1.83]); transplant for high/very high risk MDS (HR, 2.85 [99% CI, 1.14-7.14]); and the development of acute GVHD II-IV (HR, 2.46 [99% CI, 1.61-3.76]). Two or more viral infections (by any reported virus) increased NRM beyond 3 months from transplant (2 infections: HR, 1.91 [99% CI, 1.1-3.32]; 3 or more infections: HR, 2.23 [99% CI, 1.11-4.47]), but there was no impact in the first 3 months after transplant. Graft source was not significant.
The impact of CMV DNAemia was also analyzed in multivariable fashion, treating it as a time-dependent variable (Figure 4A). Relative to SibCNI without CMV DNAemia, higher NRM was seen in both the HaploCy (HR, 1.9 [99% CI, 1.3-2.8], P < .0001) and SibCNI (HR, 1.8 [99% CI, 1.2-2.7], P = .0002) cohorts that developed CMV DNAemia. The latter was the only group to have significantly worse NRM relative to its uninfected comparator. Additional factors associated with increased NRM included female donor to male recipient (HR, 1.47 [99% CI, 1.14-1.90]); older age, and development of grade II-IV acute GVHD (HR, 2.56 [99% CI, 1.72 – 3.82]). Graft source was not significant.
Multivariate analyses of the combined impact of CMV infection by day 180, donor source, and PTCy. Impact on nonrelapse mortality (A), overall survival (B), relapse (C), and chronic GVHD (D). Notable pairwise comparisons from multivariable analysis are also presented in supplemental Table 5.
Multivariate analyses of the combined impact of CMV infection by day 180, donor source, and PTCy. Impact on nonrelapse mortality (A), overall survival (B), relapse (C), and chronic GVHD (D). Notable pairwise comparisons from multivariable analysis are also presented in supplemental Table 5.
Overall survival
Within 2 years after HCT, 375 (49.5%), 179 (44.4%), and 753 (46.9%) had died in the HaploCy, SibCy, and SibCNI cohorts, respectively. Causes of deaths are detailed in supplemental Table 4. Thirty-eight percent of deaths in the HaploCy cohort were caused by infection of any kind, either as the primary or secondary cause, compared with 27% of deaths in both the SibCy and SibCNI cohorts (P < .001). GVHD was a significantly higher cause of death in the SibCNI cohort (15%) compared with HaploCy (8%) and SibCy (7%).
As shown in Table 4, there were significant differences in OS based on D/R CMV serostatus within each cohort, with lower 2-year OS for CMV seropositive recipients, particularly the HaploCy cohort. In the multivariable analysis, recipient CMV seropositivity was associated with inferior OS regardless of donor source or PTCy in comparison with the D−/R− SibCNI reference cohort (Figure 3B). Mirroring the results for NRM within the high-risk R+ subgroup, R+ HaploCy had significantly worse OS than R+ SibCNI (HR, 1.4 [99% CI, 1.1-1.7], P = .0001), although no significant difference was seen between the R+ cohorts receiving PTCy or between either of the R+ sibling groups (supplemental Table 5). The R+ HaploCy cohort had significantly inferior OS relative to D−/R− HaploCy (HR, 1.6 [99% CI, 1.1-2.5], P = .004), with a similar but nonsignificant trend between D+/R− HaploCy and D−/R− HaploCy (HR, 1.5 [99% CI, 0.8-2.9], P = .08).
Additional factors associated with decreased OS included higher HCT comorbidity index (HCT-CI); transplant for high/very-high-risk MDS (HR, 2.0 [1.1-3.8]) or advanced acute leukemia (HR, 1.9 [1.1-3.4]); older age; and development of acute GVHD grade II-IV (HR, 1.5 [1.2-1.9]). Graft source was not significant.
Compared with the reference cohort of SibCNI without CMV DNAemia, HaploCy recipients that developed CMV DNAemia had a higher risk of death (HR, 1.3 [99% CI, 1.1-1.7], P = .002; Figure 4B). This was not significantly different than HaploCy recipients without CMV DNAemia (HR, 1.1 [99% CI, 0.7-1.7], P = .52), and CMV infection was not associated with increased risk of death among SibCy or SibCNI recipients. Additional factors associated with decreased OS included transplant for high/very-high-risk MDS (HR, 1.9 [99% CI, 1.1-3.6]) or advanced acute leukemia (HR, 1.9 [99% CI, 1.1-3.3]); higher HCT-CI, older age, and development of grade II-IV acute GVHD (1.5 [99% CI, 1.2-1.9]). Graft source was not significant.
Relapse
CMV serostatus (donor or recipient) did not impact relapse by 2 years in any of the study cohorts neither in univariable nor multivariable analyses (Table 4; Figure 3C). CMV DNAemia, treated as a time-dependent variable, also did not significantly impact relapse in the multivariable analysis (Figure 4C; overall P = .342). Features associated with an increased risk of relapse in both the CMV serostatus and the CMV infection analyses included the following: transplant for high/very-high-risk MDS (serostatus: HR, 2.09 [99% CI, 1.15-3.82]; CMV infection: HR, 2.14 [99% CI, 1.19-3.85]) or advanced acute leukemia/MDS (serostatus: HR, 1.83 [99% CI, 1.06-3.16]; CMV infection: HR, 1.81 [99% CI, 1.05-3.13]); and reduced intensity (RIC)/nonmyeloablative (NMA) conditioning (serostatus: HR, 1.53 [99% CI, 1.28-1.85]; CMV infection: HR, 1.50 [99% CI, 1.26-1.79]). A longer time from diagnosis to transplant was associated with a lower risk of relapse during the first 4 months after transplant, but the effect was lost beyond 4 months from transplant. Development of acute GVHD grade II-IV was associated with a lower risk of relapse (serostatus: HR, 0.79 [99% CI, 0.68-0.92]; CMV infection: HR, 0.80 [99% CI, 0.68-0.93]). Graft source was not significant for either analysis.
Graft-versus-host disease
By univariate analysis, there was no difference in the development of acute GVHD grade II-IV regardless of D/R CMV serostatus or cohort. Similarly, the development of CMV infection by any of the landmark times did not impact the development of acute GVHD. The incidence of chronic GVHD by 6 months was similar across the groups; however, at 2 years, chronic GVHD was lower in R+ HaploCy and R+ SibCy patients in the univariate analysis (Table 4).
When examining by D/R serostatus, factors associated with higher risk of chronic GVHD included use of peripheral blood stem cells (HR, 2.24 [99% CI, 1.67-3.01]), female donor for either a male (HR, 1.28 [99% CI, 1.05-1.58]) or female (HR, 1.25 [99% CI, 1.02-1.53]) recipient, development of any viral infection by day 180, and development of acute GVHD grade II-IV (HR, 1.29 [99% CI, 1.06-1.57]). Adjusting for these covariates, the incidence of chronic GVHD remained significantly lower for R+ HaploCy (HR, 0.68 [99% CI, 0.47-0.98], P = .0064) and R+ SibCy (HR, 0.56 [99% CI, 0.39-0.81], P = .0001) recipients relative to the D−/R− SibCNI reference cohort (Figure 3D). PTCy recipients who were R+, regardless of the donor allograft source, incurred lower chronic GVHD compared with R+ SibCNI (R+ SibCy: HR, 0.63 [99% CI, 0.45-0.88], P = .0004; R+ HaploCy: HR, 0.77 [99% CI, 0.57-1.03], P = .022), although it was only significant for the R+ SibCy cohort. PTCy was not associated with differences in chronic GVHD across other serostatus cohorts (supplemental Table 5).
Figure 4D depicts the impact of CMV DNAemia on chronic GVHD. In comparison with the reference cohort of SibCNI without CMV DNAemia, PTCy recipients without CMV DNAemia had significantly lower incidence of chronic GVHD regardless of donor (HaploCy: HR, 0.60 [0.42-0.85], P = .0002; SibCy: HR, 0.67 [0.44-1.03], P = .02) but was only statistically significant in the HaploCy cohort. Among HaploCy patients, those who developed CMV DNAemia had a higher incidence of chronic GVHD than those without CMV DNAemia (HR, 1.6 [1.0-2.3], P = .006), with a similar trend for SibCy. PTCy recipients who developed CMV DNAemia had statistically comparable rates of chronic GVHD to those who had not received PTCy.
Additional factors associated with higher risk of GVHD include use of peripheral blood stem cells (HR, 2.23 [99% CI, 1.66 –2.99]), female donor for male (HR, 1.26 [99% CI, 1.04-1.54]) or female (HR, 1.25 [99% CI, 1.02-1.53]) recipients, and development of acute GVHD grade II-IV (HR, 1.31 [99% CI, 1.07-1.60]).
Discussion
In this CIBMTR study, which included data from 2765 patients, we were able to analyze comprehensively the incidence and impact of CMV among patients who received either HaploCy or SibCy HCT in comparison with a large contemporaneous control cohort of SibCNI HCT. Among CMV seropositive recipients, PTCy similarly doubled the risk of CMV infection, regardless of haploidentical and matched related donor transplantation, compared with non-PTCy–matched related donor transplantation. Higher risk of NRM and lower OS was seen with donor or recipient seropositivity and appeared compounded by use of PTCy, irrespective of donor type, although statistical significance was principally observed in the R+ HaploCy cohort. For those developing CMV infection by 180 days after transplant, NRM was higher, with lower OS in the HaploCy cohorts. In keeping with the existing literature, chronic GVHD was lower in patients receiving PTCy in our study; however, this protective effect was abrogated by the development of CMV infection.
Regardless of donor type, those who received PTCy had approximately twice the incidence of CMV DNAemia compared with the SibCNI control cohort. This was seen regardless of D/R serostatus, but, as expected, the incidence of CMV infection was greatest in the R+ groups. The lack of a HaploCNI group precludes direct confirmation if this is a Haplo effect, a PTCy effect, or a combination. However, as more than 90% of patients receiving haploidentical grafts reported to the CIBMTR receive PTCy-based GVHD prophylaxis, that comparison is not possible.35 At a 99% confidence interval, the statistically increased risk of CMV infection in the SibCy compared with SibCNI supports that PTCy is clearly implicated. The similar risk in pairwise comparisons between HaploCy and SibCy for this outcome supports that PTCy, rather than just graft type is contributory. These findings mirror those of other forms of T-cell depletion (eg, in vivo and ex vivo alemtuzumab, thymoglobulin, and CD34+ selection), which have been associated with higher rates of CMV infection in haploidentical, mismatched unrelated, and matched donor transplantation.30,36,,,,-41 Overall, the incidence of CMV organ disease was low, which precluded finding a statistical difference, but, similar to CMV DNAemia, the incidence appears higher in the PTCy cohorts.
Two recent CIBMTR analyses examined the impact of CMV serostatus and reactivation on transplant-related outcomes in predominantly matched-donor and umbilical cord blood transplantation, respectively.7,42 Our findings are consistent with theirs in which any positive CMV serostatus contributed to higher NRM and lower OS. Those studies found some variability in NRM and OS based on disease. Ours identified a potential synergistic effect between CMV seropositivity and PTCy, resulting in higher NRM and worse OS, with worse NRM and OS in HaploCy patients who develop CMV infection. Although there was a trend toward higher CMV disease in PTCy cohorts, the overall incidence of CMV disease was low, implying that the connection between CMV serostatus/infection and worse outcomes is indirect. Death from infection was higher in the HaploCy patients, and in other analyses of the same cohorts, we demonstrate incidence of other viral infections is higher in PTCy cohorts (C.M., M.B.A., A.B., R.F.C., S.C., M.Á.P., Brian Friend, E.F., S.G.,and S.R.G., manuscript submitted December 2020). PTCy may result in skewed T-cell repertoires, and among patients with reported immune reconstitution labs, T-cell reconstitution was delayed in PTCy cohorts. However, a mortality analysis of the phase 3 letermovir prophylaxis trial demonstrated reduced all-cause mortality among those receiving prophylaxis because of prevention or delay of CMV infection, implying that CMV is, at least in part, causative of worse outcomes rather than only a symptom.43
Earlier single-center studies suggested that CMV infection may be associated with a decreased incidence of relapse, although subsequent large studies have been unable to replicate this.7,8,10,44 Similarly, we did not identify any association between CMV serostatus/infection and relapse in the HaploCy, SibCy, or SibCNI cohorts. The multivariable analysis did account for the higher risk of relapse seen with RIC/NMA conditioning, which was the more common conditioning in the PTCy cohorts.
Studies have shown that PTCy decreases the risk of chronic GVHD.20,45 However, in our study only those PTCy recipients who did not develop CMV infection retained the chronic GVHD protective effect of PTCy. Although there may be an unaccounted confounder, the multivariable model did account for most variables that would correlate with both chronic GVHD and CMV infection. Previous reports suggest a bidirectional association between CMV infection and acute GVHD and associations of early CMV infection with later development of chronic GVHD.46,,,-50 Ours is the first to suggest that CMV infection may negate the prophylactic role of PTCy in chronic GVHD prevention. Although only speculative, it is possible that active CMV infection promotes expression or presentation of antigens from recipient cells that promote alloreactivity from donor T cells, even if they are quantitatively limited by PTCy.50 Alternatively, CMV infection could alter the reconstitution of donor regulatory and conventional T cells, skewing the ratio to one that favors GVHD. This finding and potential mechanisms warrant further attention in biologic and clinical research, with an emphasis on immune reconstitution.
As this was a multicenter registry study, there were inherent limitations. One of the greatest limitations is the inability to know why a center chose to use a haploidentical graft or the rationale behind using PTCy for GVHD prophylaxis in a matched sibling transplant. The other major limitation is the limited collection of CMV-pertinent data. Specifically, data are unavailable on center specific surveillance protocols, thresholds used to consider CMV viral loads clinically significant, and use of prophylaxis. It is likely that these centers modified their approach over time based on new published data. The analysis limited to centers with patients in both the SibCNI group and PTCy cohorts. This, although imperfect, assists in controlling center bias for the decision of graft and GVHD prophylaxis and the unknown CMV data. In conjunction with an analysis of center effect, this maximizes the likelihood that our findings in this large observational study are not caused by chance alone. The relatively large sample size in each cohort and the use of 99% CIs further support the validity of our findings. Another limitation is that we were unable to conduct meaningful analyses on immune reconstitution because of 78% of patients without reported data on lymphocyte subset and natural killer cells after transplant. In regard to small ethnic variations between cohorts, previous studies have demonstrated that certain immunodominant haplotypes with higher prevalence in Caucasians are associated with a lower risk of CMV reactivation and disease, a variable to which our study lacked the granularity to evaluate.51
In summary, our findings strongly suggest that PTCy contributes significantly to the development of CMV infection, regardless of donor source. This is most pronounced in seropositive recipients. Such findings should now be considered when deciding whether to use PTCy for matched donor transplantation in a seropositive recipient. Of those developing CMV infection in our study, the combination of haploidentical donor and PTCy appears synergistic for higher NRM and lower survival. As there are numerous pending studies comparing different combinations of donor source and PTCy, it is imperative that CMV serostatus be considered for risk stratification and CMV infection as a key secondary outcome. Although letermovir is now generally given in the HaploCy setting, it remains unclear if the CMV risk persists beyond the day 100 prophylaxis period, a question warranting further study. Such prophylaxis has been shown to reduce CMV infection and all-cause mortality.43 Based on our data, all PTCy seropositive recipients or those with a seropositive donor should be regarded as high risk for CMV infection, and prophylaxis should be strongly considered.
CIBMTR supports accessibility of research in accord with the National Institutes of Health (NIH) Data Sharing Policy and the National Cancer Institute (NCI) Cancer Moonshot Public Access and Data Sharing Policy. The CIBMTR only releases de-identified datasets that comply with all relevant global regulations regarding privacy and confidentiality.
The online version of this article contains a data supplement.
The publication costs of this article were defrayed in part by page charge payment. Therefore, and solely to indicate this fact, this article is hereby marked “advertisement” in accordance with 18 USC section 1734.
There is a Blood Commentary on this article in this issue.
Acknowledgments
S.G. acknowledges the Washington University School of Medicine R25 STRENGTH Program (R25CA190190; principal investigator: Ramaswamy Govindan) for protected research time, and the Mentors in Medicine Program at Washington University School of Medicine. The Center for International Blood and Marrow Transplantation Research (CIBMTR) is supported primarily by Public Health Service grant U24CA076518 from the National Institutes of Health (NIH)/National Cancer Institute (NCI), the NIH/National Heart, Lung, and Blood Institute (NHLBI), and the NIH/National Institute of Allergy and Infectious Diseases, as well as NIH/NHLBI/NCI grant U24HL138660, NIH/NHLBI grant U01HL128568, NIH/Health Resources and Services Administration (HRSA) grants HHSH250201700006C and HHSH250201700007C, and US Office of Naval Research grants N00014-18-1-2850, N00014-18-1-2888, and N00014-20-1-2705. Additional federal support is provided by NIH grants P01CA111412, R01CA152108, R01CA215134, R01CA218285, R01CA231141, R01AI128775, R01HL126589, R01HL129472, R01HL130388, R01HL131731, U01AI069197, U01AI126612, and the Biomedical Advanced Research and Development Authority (BARDA). Support is also provided by Be the Match Foundation, Boston Children’s Hospital, Dana Farber, St Baldrick’s Foundation, Stanford University, the Medical College of Wisconsin the National Marrow Donor Program, and from the following commercial entities: AbbVie, Actinium Pharmaceuticals, Inc, Adaptive Biotechnologies, Adienne SA, Allovir, Inc, Amgen Inc, Angiocrine Bioscience, Astellas Pharma US, AstraZeneca, Atara Biotherapeutics, Inc, bluebird bio, Inc, Bristol Myers Squibb Co, Celgene Corp, CSL Behring, CytoSen Therapeutics, Inc, Daiichi Sankyo Co, Ltd, Gamida-Cell, Ltd, Genentech Inc, HistoGenetics, Inc, Incyte Corporation, Janssen Biotech, Inc, Jazz Pharmaceuticals, Inc, Johnson & Johnson, Kiadis Pharma, Kite, a Gilead Company, Kyowa Kirin, Legend Biotech, Magenta Therapeutics, Mallinckrodt LLC, Merck & Company, Inc, Merck Sharp & Dohme Corp, Millennium, the Takeda Oncology Co, Miltenyi Biotec, Inc, Novartis Pharmaceuticals Corporation, Omeros Corporation, Oncoimmune, Inc, Orca Biosystems, Inc, Pfizer, Inc, Pharmacyclics, LLC, Sanofi Genzyme, Shire, Sobi, Inc, Stemcyte, Takeda Pharma, Terumo BCT, Viracor Eurofins, Vor Bio Pharma, and Xenikos BV. The views expressed in this article do not reflect the official policy or position of the NIH, the Department of the Navy, the Department of Defense, HRSA, or any other agency of the US Government.
Authorship
Contribution: S.R.G. proposed and designed the study, reviewed and edited the protocol and analysis, and wrote the manuscript; M.B.A., J.J.A., A. Beitinjaneh, P.C., C.G.K., J.A.K., M.M.K., H.M.L., H.L., P.L., S.N., T.N., K.M.P., and M.-A.P. reviewed and edited the protocol, analysis, and manuscript; A. Bashey, R.F.C., S.C., C.E.D., M.Á.D., E.F., S.G., S.K., K.V.K., R.M., C.M., R.T., R.R., and M.R. designed the study and reviewed and edited the protocol, analysis, and manuscript; S.K. and M.C. contributed to study and statistical design and performed the analyses; and M.R. oversaw the study and reviewed and edited the protocol, analysis, and manuscript.
Conflict-of-interest disclosure: S.R.G. has consulted for Wugen Inc. R.M has consulted for, sat on the advisory board, and received funding from Celgene/Juno; has consulted for, sat on the advisory board, received honorary and sat on the scientific steering committee for Novartis; has consulted for, sat on the advisory board for, and received honoraria from Kite Therapeutics; has consulted for and received honoraria from Juno Therapeutics and Incyte Corporation; and is a patent holder and receives royalties from Athersys, Inc. R.R. received research funding from Kleo Pharma; sat on the advisory board for Glycostem; and has consulted for Kiadis Pharma. R.F.C. received research grants paid to the institution from Merck, Chimerix, Shire/Takeda, Gilead, Ansun Pharmaceuticals, Viracor, Karius, Pulmotec, and Janssen; and was a paid consultant for Merck, Chimerix, Ansun Pharmaceuticals, Kyorin, ReViral, Clinigen, Oxford Immunotec, Janssen, Shire/Takeda, Genentech, Paratek, and Shinogei. K.V.K. has consulted for and sat on the advisory board for Kiadis, Atara, Novartis, Incyte, and Kiadis; sat on the advisory board and received honoraria from Celgene/Juno; consulted for Helocyte; has consulted for, sat on the advisory board, and received research funding from Kite/Gilead; consulted for, sat on the advisory board, and received honoraria from Kadmon; consulted for Takeda and Celgene; and sat on the advisory board for and received research funding from Kite/Gilead. M.-A.P. received honoraria from Abbvie, Bellicum, Celgene, Bristol-Myers Squibb, Incyte, Merck, Novartis, Nektar Therapeutics, Omeros, and Takeda; serve on Data and Safety Monitoring Boards for Cidara Therapeutics, Servier and Medigene, and the scientific advisory boards of MolMed and NexImmune; received research support for clinical trials from Incyte, Kite/Gilead, and Miltenyi Biotec; serves in a volunteer capacity as a member of the Board of Directors of American Society for Transplantation and Cellular Therapy and Be The Match (National Marrow Donor Program; has consulted for Merck, Novartis, and Incyte; and has received research support for clinical trials to the institution from Kite, Incyte, and Miltenyi. M.R. received compensation from DSMC and Gamida Cell. T.N. has research funding from Karyopharm and Novartis. S.G. received personal fees from Seattle Genetics, Kite Pharma, and Kadmon. H.L. received research funding from BMS and Karyopharm and personal fees from Agios. S.C. has sat on the advisory board for Kiadis, CareDx, Spectrum, Cellularity, and MollMed; has consulted for Hansa; has received research funding from Milteny and Kiadis; and has received equity from Kiadis. P.L. received research funding from Merck, Oxford Immunotec and received personal fees from Shire/Takeda and AiCuris. The remaining authors declare no competing financial interests.
Correspondence: Scott R. Goldsmith, Washington University School of Medicine in St Louis, 660 S. Euclid Ave, CB 8056-29, St. Louis, MO 63110, e-mail: goldsm.s@wustl.edu.
REFERENCES
Author notes
R.R. and M.R. contributed equally to this work.





This feature is available to Subscribers Only
Sign In or Create an Account Close Modal