Abstract
Results of unrelated cord blood transplantation (UCBT) in childhood acute myeloid leukemia (AML) have not been previously reported. We analyzed 95 children receiving UCB transplants for AML (20 in first complete remission [CR1], 47 in CR2, and 28 in more advanced stage). Poor prognosis cytogenetic abnormalities were identified in 29 cases. Most patients received a 1 or 2 HLA antigens-mismatched UCB transplants. The median number of collected nucleated cells (NCs) was 5.2 × 107/kg. Cumulative incidence (CI) of neutrophil recovery was 78% ± 4%, acute graft-versus-host disease (GVHD) was 35% ± 5%, and 100-day transplantation-related mortality (TRM) was 20% ± 4%. In multivariable analysis, a collected NC dose higher than 5.2 × 107/kg was associated with a lower 100-day TRM. The 2-year CI of relapse was 29% ± 5% and was associated with disease status. The 2-year leukemia-free survival (LFS) was 42% ± 5% (59% ± 11% in CR1, 50% ± 8% in CR2, and 21% ± 9% for children not in CR). Children with poor prognosis cytogenetic features had similar LFS compared with other patients (44% ± 11% vs 40% ± 8%). In CR2, LFS was not influenced by the length of CR1 (53% ± 11% in CR1 < 9.5 months compared with 50% ± 12% in later relapses). We conclude that UCBT is a therapeutic option for children with very poor-prognosis AML and who lack an HLA-identical sibling. (Blood. 2003;102:4290-4297)
Introduction
Bone marrow transplantation (BMT) from an HLA-matched sibling or unrelated donor plays a major role in the treatment of children with relapsed acute myeloid leukemia (AML).1-6 However, although there are currently more than 8 million donors registered in marrow donor registries around the world, a substantial proportion of children who lack a sibling donor will never undergo BMT from an HLA-matched unrelated donor either because such a donor cannot be found or because the time to identify a donor is too long. Moreover, for those children who received unrelated bone marrow transplants, increased HLA disparity adversely affects survival because of high risk of graft-versus-host disease (GVHD) and opportunistic infections.7-9 The use of haploidentical family donors provides a potential source of hematopoietic stem cells for children who lack both a sibling and an unrelated donor.10,11 T-cell depletion of the graft can in part overcome the risk of severe GVHD, but it substantially increases the risk of severe and prolonged posttransplantation immunodeficiency.
Hematopoietic stem cells from an unrelated cord blood (UCB) transplant can restore hematopoiesis and immune function after a myeloablative conditioning regimen, even if the graft is not perfectly HLA identical to the recipient.12-15 This important medical advance led to the establishment of large cord blood banks that made possible the use of UCB to provide transplants for patients who lack a conventional related or unrelated donor. In addition, UCB offers the advantage of significantly faster availability of banked cryopreserved UCB units compared with the availability of unrelated bone marrow grafts.16
The efficacy of BMT in AML is at least partially linked to a graft-versus-leukemia effect (GVL), which is mediated by the engrafted T lymphocytes and is statistically associated with the clinical manifestations of graft-versus-host disease (GVHD). GVHD is less frequent after UCB transplantation (UCBT) than after unrelated bone marrow transplantation (UBMT).17 This particular characteristic of UCBT could raise theoretical concerns about the efficacy of this kind of transplantation in childhood AML that cannot currently be clinically clarified because there are very few data in the literature reporting specific results and prognostic factors of UCBT in childhood AML. In a previous Eurocord comparative study of children receiving UCB transplants or UBM transplants for acute leukemia, relapse rate was not increased after UCBT.17 However, it was not possible to report specific data for children with AML at different stages of their disease because of the relatively small number of patients in each subgroup. Using data from the Eurocord registry, we are now able to report outcomes and their association with patient-, disease-, and transplant-related factors in 95 children who underwent UCBT for AML.
Patients, materials, and methods
Patients' selection criteria
All children reported to the Eurocord registry as having undergone UCBT for AML were included in this study, with the exception of those with either Down syndrome (n = 2) or Fanconi anemia (n = 2). Ninety-five children aged 16 years or younger were analyzed. They received transplants from 1994 through March 2002 in 49 centers from 17 countries. Approval for this study was obtained from the Eurocord institutional review board. Informed consent was provided according to the Declaration of Helsinki.
Patient characteristics
The characteristics of the 95 children are listed in Table 1. Ten of them were considered as having secondary AML on the basis of a history of previous exposure to chemotherapy or radiotherapy or a previous history of myelodysplasia, myeloproliferative disorders, or Blackfan-Diamond anemia.
Abnormal karyotypes were classified in the favorable-risk group if t(8; 21), t(15; 17), or inv(16) was detected. In patients lacking these favorable changes, the presence of monosomy 7, 11q23 abnormalities other than t(9;11), monosomy 5, del(5q), abnormal 3q, t(6; 9), or a complex karyotype defined the poor-risk group. The remaining abnormalities were classified in the intermediate-risk group.
At time of UCBT, 20 children were in first complete remission (CR1), 47 were in CR2, 5 were in third or subsequent CR, and 23 were in relapse. Children in CR1 received transplants at a median time of 4 months after they achieved remission (range, < 1 month to 10 months). Nine of them were in the poor-risk cytogenetic group and 2 had secondary leukemia. In the subgroup of 47 children who received transplants in CR2, the median time from CR2 to UCBT was 2 months (range, < 1 month to 14 months); the median duration of CR1 was 9.5 months with only 5 relapses occurring more than 18 months after CR1.
Twenty-two of the 95 children had previously received hematopoietic stem cell transplants. Eighteen had relapsed after having received a prior autologous transplantation. In the 4 remaining cases, UCBT was performed after engraftment failure of a prior unrelated bone marrow transplantation.
Umbilical cord blood characteristics and transplantation procedure
HLA-A, -B antigen serologic testing and a low-resolution generic DRB1 oligotyping were available for all cord blood transplants and recipients (Table 2). In addition, high-resolution allelic DRB1 typing of cord blood and recipient was performed in 93 of 95 cases. Using HLA-A, -B serology and high-resolution allelic DRB1 typing, most of the children had either 1 (47%) or 2 (33%) disparities with their graft.
As shown in Table 2, conditioning and GVHD prophylaxis regimens greatly varied among centers in this retrospective and multicenter study. A hematopoietic growth factor, most frequently granulocyte colony-stimulating factor (G-CSF), was started during the early posttransplantation period (from day 0 to day +7) in 47 children.
Statistical methods
For this analysis, we used July 1, 2002, as the reference date (ie, the day at which all centers locked data on patient outcomes). The median duration of follow-up was 31 months (range, 3 to 92 months).
The outcome end points were neutrophil recovery, platelet recovery, GVHD, relapse, transplantation-related mortality (TRM), overall survival and leukemia-free survival (LFS). Neutrophil recovery was defined by an absolute neutrophil count (ANC) of at least 0.5 × 109/L for 3 consecutive days, the first of these 3 days being used as the recovery day. Platelet recovery was defined by a nontransfused platelet count of at least 20 × 109/L for 7 consecutive days. Death, relapse, and infusion of a stem cell rescue occurring before day 60 or day 180 were considered as competing risks for neutrophil or platelet recovery, respectively. Graft failure rates for neutrophil or platelets were calculated for patients living without relapse or autologous infusion (competing events) more than 60 or 180 days, respectively. Acute and chronic GVHD were diagnosed and graded at each center according to standard criteria.18,19 Relapse was defined on the basis of morphologic evidence of leukemia in bone marrow or other extra-medullary organs. TRM was defined as all causes of nonleukemic deaths occurring after transplantation. Overall survival was the time between transplantation and death due to any cause. LFS was defined as time interval from UCBT to first event, either relapse or death in complete remission.
These outcomes were all right-censored. For overall survival and LFS, Kaplan-Meier estimates provided estimated incidence over time, whereas Cox models were used to evaluate the joint influence of patient-, disease-, and transplant-related variables on the outcome. However, the other end points shared a competing risks setting, that is patients could develop events that avoid the occurrence of the event of interest; as an example, after death or relapse before engraftment, no recovery and no GVHD could occur. Therefore, these end points (neutrophil and platelet recovery, acute and chronic GVHD, relapse, TRM) were analyzed through the use of cumulative incidence curves for estimating incidence over time20 and Fine and Gray models21 to assess prognostic factors.
Whatever the model, we first fit univariable models that contain each of the variables (Table 3) one at a time. Secondly, all variables with a P value below .05 by the likelihood ratio test were included in a multivariable model. Cause-specific hazard ratios (HRs) were estimated with 95% confidence intervals. Statistical analysis used the SAS 8.2 (Sas, Cary, NC) and S-Plus 2000 (MathSoft, Seattle, WA) software packages.
Results
Neutrophil and platelet recoveries
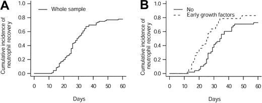
The cumulative incidence (CI) of neutrophil recovery at day 60 was 78% ± 4% (Figure 1A). During the first 60 days after transplantation, competing risks for neutrophil recovery were death (n = 7), relapse (n = 5), and infusion of a stem cell rescue (n = 3). Graft failure rate for neutrophil recovery was 7.5% (6 of 80 patients). For those patients who recovered, the median time to achieve an ANC equal to or more than 0.5 × 109/L was 26 days (range, 12-57 days). In the univariable analysis, factors associated with neutrophil recovery were (1) status of disease at transplantation (cumulative incidence of neutrophil recovery at day 60 was 87% ± 4% for children who received transplants in CR1 or CR2 versus 57% ± 10% for those with more advanced disease; P = .01); (2) period of transplantation (63% ± 10% for patients treated before January 1998 versus 84% ± 5% after this date; P = .03); (3) prophylactic use of hematopoietic growth factors (the cumulative incidence was 83% ± 6% when a hematopoietic growth factor was started during the immediate posttransplantation period versus 73% ± 7% in the other cases; P = .015, Figure 1B); and (4) methotrexate (MTX) in the GVHD prophylaxis (63% ± 10% versus 84% ± 5% when MTX was not used; P = .04). The association of neutrophil recovery with the nucleated cells dose was not statistically significant. In a multivariable analysis, the factors associated with an improved neutrophil recovery were standard risk status of disease at transplantation (CR1 or CR2) and prophylactic use of hematopoietic growth factor (Table 4).
The cumulative incidence of neutrophil recovery. Cumulative incidence of neutrophil recovery (A) and neutrophil recovery according to use of prophylactic hematopoietic growth factors (B).
The cumulative incidence of neutrophil recovery. Cumulative incidence of neutrophil recovery (A) and neutrophil recovery according to use of prophylactic hematopoietic growth factors (B).
The day-180 CI of platelet recovery was 58% ± 5% (Figure 2A). During the first 180 days after transplantation, competing risks for platelet recovery were death (n = 18), relapse (n = 10), and infusion of a stem cell rescue (n = 4). Graft failure rate was 8.4% for platelet recovery (5 of 59 patients). For those patients who recovered, the median time to achieve platelet recovery was 52 days (range, 18-171 days). In the univariable and multivariable analyses (Table 4), the only factor, which was statistically associated with platelet recovery, was the disease status at time of transplantation. The incidence of platelet recovery by day 180 was 66% ± 6% for children who received transplants in CR1 or CR2 compared with 39% ± 10% in patients who received transplants in a more advanced phase (P = .001). Use of prophylactic hematopoietic growth was not statistically associated with speed of platelet recovery (Figure 2B).
The cumulative incidence of platelet recovery. Cumulative incidence of platelet recovery (A) and platelet recovery according to use of prophylactic hematopoietic growth factors (B).
The cumulative incidence of platelet recovery. Cumulative incidence of platelet recovery (A) and platelet recovery according to use of prophylactic hematopoietic growth factors (B).
Acute and chronic GVHD
Acute GVHD (grade II or more) was observed in 34 patients (15 had grade II, 14 grade III, and 5 grade IV). One hundred-day cumulative incidence of acute GVHD was 35% ± 5%. We did not find any patient-, disease-, or transplant-related factor that could be associated with the incidence of acute GVHD. Notably, the number of HLA disparities between cord blood and recipient was not statistically associated with grades II to IV acute GVHD.
Two years after UCBT, the cumulative incidence of chronic GVHD was 15% ± 5%. Nine of 53 patients at risk presented signs of chronic GVHD (6 limited and 3 extensive).
Early transplant-related mortality
Nineteen patients died of nonleukemic causes during the first 100 days after UCBT (3 of acute GVHD, 13 of infections, and 3 of other causes). Cumulative incidence of transplantation-related mortality at day 100 was 20% ± 4%. In univariable analyses, the following factors were associated with increased risk of death: patients older than 6 years of age (31% ± 7% versus 10% ± 4%; P = .025); patient's weight more than 21 kg (30% ± 7% versus 11% ± 5%; P = .048); collected nucleated cell dose lower than 5.2 × 107/kg (33% ± 7% versus 9% ± 4% for patients receiving more than 5.2 × 107/kg, P = .013); and infused nucleated cell dose lower than 4.4 × 107/kg (30% ± 7% versus 11% ± 5% for those receiving more than 4.4 × 107/kg, P = .046). There was a trend toward an increased risk of 100-day TRM when major ABO incompatibility was present (32% ± 9% versus 16% ± 5% in the other cases, P = .078). In multivariable analysis, the only factor associated with an increased early TRM was a low collected nucleated cell dose (less than 5.2 × 107/kg; Figure 3).
Collected nucleated cell dose. Cumulative incidence of 100-day transplantation-related mortality according to the median number of cells before freezing per recipient's weight.
Collected nucleated cell dose. Cumulative incidence of 100-day transplantation-related mortality according to the median number of cells before freezing per recipient's weight.
Relapse incidence
Twenty-five patients had hematologic relapse after UCBT and 26 patients died without experiencing disease recurrence. Two-year cumulative relapse incidence (RI) was 29% ± 5%. It was 29% ± 5% in 85 patients with de novo AML and 33% ± 17% in 10 patients with secondary leukemia. In univariable and multivariable analyses (Table 4), the 2 following features were associated with increased RI: patient's weight lower than 21 kg (16% ± 6% versus 42% ± 8%; P = .0001) and status of disease at transplantation (19% ± 5% for CR1 and 2 versus 53% ± 10% for more advanced disease status; P = .000 43). More precisely, the 2-year cumulative RI was 10% ± 7% for patients who received transplants in CR1, 23% ± 7% for patients in CR2, 1 of 5 for patients in CR3 or higher, and 61% ± 11% for patients who were not in remission at time of UCBT (Figure 4A). The RI after UCBT in children presenting with poor-risk cytogenetic abnormalities was 26.5% ± 10% compared with 31% ± 6% in other patients. The absence of previous acute GVHD (grades II to IV) was not associated with an increased RI (P = .62). In the subgroup of patients who received transplants in CR2, there was a trend toward an increased post-UCBT relapse risk for children who had suffered from an early pre-UCBT relapse (length of CR1 < 9.5 months) when compared with children with later pre-UCBT relapses (33% ± 11% versus 12% ± 9%; P = .09).
Two-year cumulative RI. Cumulative incidence of relapse (A) and probability of leukemia-free survival (B) according to disease status at unrelated cord blood transplantations.
Two-year cumulative RI. Cumulative incidence of relapse (A) and probability of leukemia-free survival (B) according to disease status at unrelated cord blood transplantations.
Leukemia-free survival, overall survival, and causes of death
Forty-nine patients died: 23 from disease relapse, 3 of GVHD, 18 of infectious complication (bacterial 6, viral 5, fungal 5 and parasitic 2), 3 of interstitial pneumonitis, and 2 of organ failure.
Estimated 2-year overall survival and leukemia-free survival were 49% ± 5% and 42% ± 5%, respectively. The univariable analyses of factors considered as potential predictors for 2-year LFS are detailed in Table 3. As shown in this table, the most significant factor was status of disease at time of UCBT. Two-year LFS was 59% ± 11% for children who received transplants in first CR, 50% ± 8% for those in second CR, none among 5 in CR3 or beyond, and 21% ± 9% for children who were not in remission at time of UCBT (Figure 4B). Two other factors had a statistically significant influence: the date of transplantation and ABO compatibility between donor and recipient, with favorable outcome occurring in children who received transplants after January 1998 and without major ABO incompatibility. LFS of children with a poor prognostic karyotype was similar to LFS of other patients. In the subgroup of 47 children who received transplants while in CR2, LFS was not influenced by the length of CR1: it was 53% ± 11% for patients relapsing in the first 9.5 months and 50% ± 12% for those relapsing later. In multivariate analysis, 2 factors were associated with overall survival and LFS: status of the disease at transplantation and major ABO incompatibility (Table 4).
Discussion
This retrospective registry-based analysis is the first, to our knowledge, that was specifically designed to describe the results of UCBT in childhood AML. As expected, we found that the outcome was associated with disease status at time of transplantation. Precisely, LFS was 59% ± 11% for children who received transplants in CR1, 50% ± 8% in CR2, 0 of 5 in CR3 or beyond, and 21% ± 9% for children who were not in remission at time of UCBT. The corresponding 2-year relapse incidences were 10% ± 7%, 23% ± 7%, 1 of 5 patients, and 61% ± 11%. These estimated relapse incidences are comparable to those reported after BMT from an unrelated HLA-matched donor.2-4 In the Seattle experience of 161 patients with AML who received unmanipulated BM transplants from unrelated donors, the cumulative incidences of relapse were 19% in CR1, 23% in CR2, 25% in subsequent CR, 44% during relapse, and 63% during primary induction failure.2 In another series reported by Marks et al,4 39 patients with AML received T-cell-depleted unrelated BM transplants during first or second CR. Five of these 39 patients (13%) relapsed.
We also analyzed the association of 3 well-identified prognostic factors of childhood AML such as the karyotype of malignant cells, de novo or secondary, and the duration of first CR for children who received transplants during their second CR. The karyotype of malignant cells has been shown to be one of the most relevant predictors of treatment outcome in childhood AML.22-27 In our study, 36% of the patients with a successful cytogenetic analysis were classified in the poor-risk cytogenetic category. This unusually elevated incidence for a pediatric AML population probably indicates that the patients were selected for their high risk of treatment failure. Interestingly, children with a poor karyotype had similar 2-year LFS and a similar incidence of relapse compared with other patients (44% ± 11% versus 40% ± 8% and 26.5% ± 10% versus 31% ± 6%, respectively). Children with secondary leukemia are usually considered as having more aggressive disease than children with de novo AML. Only 10 children in this study had secondary leukemia but their outcome after UCBT did not differ from that of children with de novo AML. The length of first remission has been demonstrated to be a major prognostic factor for children with relapsed AML.28,29 We tested the potential influence of the length of first remission in the subgroup of children that received transplants in CR2 and did not find any correlation between this variable and LFS, although there was a trend toward a lower rate of relapse in patients with more prolonged CR1. Taken together, our results suggest that these 3 prognostic factors, identified in patients with AML undergoing contemporary chemotherapy or standard allogeneic BMT, may not have the same predictive value in the context of unrelated UCBT. This apparently potent antileukemic effect in poor-risk AML does not support the hypothesis of an inadequate GVL effect after UCBT.
In our study, the 100-day cumulative incidence of TRM was 20% ± 4%. This high incidence is similar to the ones reported in other series of children receiving UCB transplants.17,30-32 Clearly, TRM is currently the principal obstacle for a wider use of UCBT in children with high-risk AML as well as in many other diseases. In our analysis, TRM was 17% ± 5% in transplantations carried out after January 1998 and 30% ± 9% before this date. Moreover, when the collected nucleated cell dose was above the median (5.2 × 107/kg), the 100-day TRM decreased to 9% ± 4%. The same effect on TRM was found when the analyzed variable was the infused cell dose with a TRM of 11% ± 5% for children receiving a cell dose above the median value. The influence of the graft nucleated cell dose on posttransplantation outcome has been consistently demonstrated since the first reports of successful UCBT. Gluckman et al14 first demonstrated that children who received more than 3.7 × 107 nucleated cells/kg, the median infused cell dose in their series, had better outcome than children who received a lower cell dose. More recently, Wagner et al33 showed that the infused CD34+ cell dose was a more potent indicator of prognosis than the nucleated cell dose. They described a threshold of 1.7 × 105 CD34+ cells/kg and suggested that UCB units containing less than this CD34+ cell dose should be considered inadequate to routine use because of a very high TRM risk.33 In fact, whatever the cell dose criteria may be, it probably has to be interpreted in the context of HLA disparity. Several studies have recently suggested that the impact of cell dose could be more significant when the graft/recipient HLA-incompatibility increases.15,33,34 These issues are crucial in the choice of an umbilical cord transplantation for a given patient but will be more efficiently addressed in large registry studies than in a disease-specific study like ours.
Of note, the primary cause of nonleukemic death in our series of 95 children was more frequently infection (n = 18 cases) than GVHD (n = 3). The fact that most deaths were secondary to infections has important implications for the clinical care of children treated with UCBT. In addition to the choice of a CB graft with high cell counts, improved prophylaxis, prompter diagnosis, and treatment of infectious complications may have a major impact on the outcome of these patients. The relatively low incidence of lethal GVHD and the high risk of infectious complications raise questions on the intensity of posttransplantation immunosuppressive therapy. In order to clarify these important issues, carefully designed prospective trials are needed.
We conclude that UCBT is a good treatment for children with AML who have a very high risk of treatment failure under chemotherapy and who lack an HLA-compatible sibling. The results of UCBT were particularly promising for children with secondary leukemia, a poor prognosis karyotype, and in children who received transplants in CR2 after an early relapse.TBL5
Presented in abstract form at the 44th annual meeting of the American Society of Hematology, Philadelphia, PA, December 6-10, 2002.
Prepublished online as Blood First Edition Paper, August 14, 2003; DOI 10.1182/blood-2003-04-1288
A complete list of the members of the Eurocord Group appears in the “Appendix.”
Supported by an European Union grant for Eurocord BIOMED II QLRT-1999-00380 and QLK3-CT-2002-01918.
The publication costs of this article were defrayed in part by page charge payment. Therefore, and solely to indicate this fact, this article is hereby marked “advertisement” in accordance with 18 U.S.C. section 1734.
We would like to thank S. Armitage and M. Contreras (London CBB); S. Querol and J. Garcia (Barcelona CB); L. Lecchi and P. Rebulla (Milan-Grace CBB); P. Rubinstein (NY CBB); T. Nagamura (Tokyo CBB); C. Oswald and M. Vowels (Sydney CBB); G. Koegler, P. Horn, and P. Wernet (Düsseldorf CBB); V. Bons (Eurocord, Paris); and all data managers from Eurocord centers who collaborated with this study.



