Key Points
Homeostatic recovery after allogeneic HSCT favors the production, expansion, and survival of effector T cells over CD4Tregs.
Unbalanced reconstitution of regulatory and effector T-cell subsets contributes to the development of chronic graft-versus-host disease.
Abstract
The development and maintenance of immune tolerance after allogeneic hematopoietic stem cell transplantation (HSCT) requires the balanced reconstitution of donor-derived CD4 regulatory T cells (CD4Tregs) as well as effector CD4 (conventional CD4 T cells [CD4Tcons]) and CD8 T cells. To characterize the complex mechanisms that lead to unbalanced recovery of these distinct T-cell populations, we studied 107 adult patients who received T-replete stem cell grafts after reduced-intensity conditioning. Immune reconstitution of CD4Treg, CD4Tcon, and CD8 T cells was monitored for a 2-year period. CD3 T-cell counts gradually recovered to normal levels during this period but CD8 T cells recovered more rapidly than either CD4Tregs or CD4Tcons. Reconstituting CD4Tregs and CD4Tcons were predominantly central memory (CM) and effector memory (EM) cells and CD8 T cells were predominantly terminal EM cells. Thymic generation of naive CD4Tcon and CD8 T cells was maintained but thymic production of CD4Tregs was markedly decreased with little recovery during the 2-year study. T-cell proliferation was skewed in favor of CM and EM CD4Tcon and CD8 T cells, especially 6 to 12 months after HSCT. Intracellular expression of BCL2 was increased in CD4Tcon and CD8 T cells in the first 3 to 6 months after HSCT. Early recovery of naive and CM fractions within each T-cell population 3 months after transplant was also strongly correlated with the subsequent development of chronic graft-versus-host disease (GVHD). These dynamic imbalances favor the production, expansion, and persistence of effector T cells over CD4Tregs and were associated with the development of chronic GVHD.
Introduction
Successful allogeneic hematopoietic stem cell transplantation (HSCT) relies on engraftment of donor hematopoietic stem cells and full reconstitution of a donor-derived immune system in the recipient. Importantly, the reconstituting immune system must include critical regulatory elements as well as highly diverse populations of effector cells. This key feature of immune reconstitution is needed to provide a broad array of adaptive immune effector cells capable of recognizing external pathogens and antigens on recipient tumor cells while suppressing responses to antigens expressed on normal recipient cells. Previous studies have demonstrated that phenotypic and functional recovery of donor T cells is often delayed for months to years after allogeneic HSCT.1-4 Although most studies have focused on reconstitution of effector T cells, several studies have also examined recovery of CD4 regulatory T cells (CD4Tregs).5-9 These studies suggest that CD4Treg deficiency can enhance alloreactivity and promote graft-versus-host disease (GVHD).10-14 Conversely, prompt recovery of CD4Tregs can prevent GVHD while also supporting recovery of a broad T-cell repertoire.12,15 These results suggest that balanced recovery of CD4Tregs, conventional CD4 T cells (CD4Tcons), and CD8 T cells is needed to control alloimmunity and establish immune tolerance. However, the mechanisms that maintain this balance and regulate the recovery of each T-cell population in vivo are not fully understood.16,17
In healthy individuals, the T-cell compartment is maintained at a relatively constant number and functional state by homeostatic mechanisms that regulate the generation, expansion, and survival of each T-cell population.18,19 Following HSCT, the recovery of peripheral T cells is a dynamic process that also relies on homeostatic signals to restore each T-cell population to normal steady-state levels. As donor T cells engraft, antigen-specific responses also contribute to T-cell recovery after transplant. In patients who receive T-replete stem cell grafts with conditioning regimens that do not include antithymocyte globulin, mature donor T cells in the stem cell product contribute to the early phase of T-cell recovery after transplant.20,21 Subsequently, T cells derived from donor hematopoietic stem cells and lymphoid progenitors also contribute to T-cell reconstitution.22 When exposed to lymphopenic conditions and antigen stimulation, naive T cells proliferate and acquire phenotypic and functional features of memory T cells.23,24 The homeostatic controls that regulate each T-cell population are distinct, and this may result in an unbalanced recovery of the total T-cell pool.20,25,26 Finally, prophylactic administration of immune-suppressive agents to prevent GVHD affects the ability of T cells to respond to homeostatic signals as well as specific antigens and also profoundly affects immune reconstitution.
To examine reconstitution of CD4Tregs, CD4Tcons, and CD8 T cells, we prospectively monitored immune recovery in a cohort of 107 adult patients who underwent allogeneic HSCT. Within each major T-cell population, we identified subsets that expressed differentiation markers of naive, central memory (CM), effector memory (EM), and terminal EM (TEMRA) T cells.27-29 To define homeostatic characteristics of each subset, we characterized cells for expression of functional markers of recent thymic emigration, cell proliferation, and survival. Taken together, our prospective analysis of T-cell reconstitution identified several factors that contribute to delayed recovery of CD4Tregs relative to other T-cell subsets. This imbalance appears to support the development of chronic GVHD after allogeneic HSCT.16,17
Methods
Patients and sample collection
This study included 107 adult patients who underwent allogeneic HSCT at the Dana-Farber Cancer Institute and Brigham and Women’s Hospital (Boston, MA) between June 2010 and August 2012 (Table 1). All patients received reduced-intensity conditioning with fludarabine (120 mg/m2) plus IV low-dose busulfan (3.2 mg/kg in 66 patients; 6.4 mg/kg in 41 patients) followed by transplantation of unmodified stem cell grafts. No patients received antithymocyte globulin for GVHD prophylaxis or low-dose interleukin-2 (IL-2) for treatment of chronic GVHD. Fresh blood samples were obtained at 8 different time points (1, 2, 3, 6, 9, 12, 18, 24 months) after transplant. Samples obtained after relapse were not included for analysis. Samples were also obtained from 15 healthy individuals (13 males and 2 females) with a median age of 54 years (range, 20-69 years). Written informed consent was obtained from patients and healthy donors prior to sample collection, in accordance with the Declaration of Helsinki. Protocol approval was obtained from the Human Subjects Protection Committee of the Dana-Farber/Harvard Cancer Center.
Patient characteristics
| Patient characteristics . | N . | % . |
|---|---|---|
| Total | 107 | |
| Age, median (range), y | 62 (19, 73) | |
| Patient-donor sex | ||
| M-M | 47 | 43.9 |
| M-F | 18 | 16.8 |
| F-M | 23 | 21.5 |
| F-F | 19 | 17.8 |
| Diagnosis | ||
| AML | 37 | 34.6 |
| MDS | 24 | 22.4 |
| NHL | 12 | 11.2 |
| MPD | 7 | 6.5 |
| CLL/SLL/PLL | 6 | 5.6 |
| ALL | 5 | 4.7 |
| Mixed MDS/MPD | 4 | 3.7 |
| CML | 2 | 1.9 |
| Hodgkin disease | 3 | 2.8 |
| MM/PCD | 4 | 3.7 |
| Anemia/red cell disorder | 2 | 1.9 |
| Immunodeficiency | 1 | 0.9 |
| Disease risk index | ||
| Low | 17 | 15.9 |
| Intermediate | 46 | 43 |
| High | 37 | 34.6 |
| Donor HLA type | ||
| Matched unrelated | 66 | 61.7 |
| Matched related | 30 | 28 |
| Mismatch unrelated | 11 | 10.3 |
| Stem cell source | ||
| PBSCs | 99 | 92.5 |
| Bone marrow | 7 | 6.5 |
| Bone marrow and PBSCs | 1 | 0.9 |
| Acute GVHD prophylaxis | ||
| Tac-Sir-MTX | 74 | 69.2 |
| Tac-Sir | 24 | 22.4 |
| Tac-MTX | 8 | 7.5 |
| Sir-MMF-MTX | 1 | 0.9 |
| Acute GVHD grade | ||
| 0 | 63 | 58.9 |
| I | 12 | 11.2 |
| II | 16 | 15 |
| III | 15 | 14 |
| IV | 1 | 0.9 |
| Chronic GVHD | ||
| None | 61 | 57 |
| Extensive | 42 | 39.3 |
| Limited | 4 | 3.7 |
| Patient characteristics . | N . | % . |
|---|---|---|
| Total | 107 | |
| Age, median (range), y | 62 (19, 73) | |
| Patient-donor sex | ||
| M-M | 47 | 43.9 |
| M-F | 18 | 16.8 |
| F-M | 23 | 21.5 |
| F-F | 19 | 17.8 |
| Diagnosis | ||
| AML | 37 | 34.6 |
| MDS | 24 | 22.4 |
| NHL | 12 | 11.2 |
| MPD | 7 | 6.5 |
| CLL/SLL/PLL | 6 | 5.6 |
| ALL | 5 | 4.7 |
| Mixed MDS/MPD | 4 | 3.7 |
| CML | 2 | 1.9 |
| Hodgkin disease | 3 | 2.8 |
| MM/PCD | 4 | 3.7 |
| Anemia/red cell disorder | 2 | 1.9 |
| Immunodeficiency | 1 | 0.9 |
| Disease risk index | ||
| Low | 17 | 15.9 |
| Intermediate | 46 | 43 |
| High | 37 | 34.6 |
| Donor HLA type | ||
| Matched unrelated | 66 | 61.7 |
| Matched related | 30 | 28 |
| Mismatch unrelated | 11 | 10.3 |
| Stem cell source | ||
| PBSCs | 99 | 92.5 |
| Bone marrow | 7 | 6.5 |
| Bone marrow and PBSCs | 1 | 0.9 |
| Acute GVHD prophylaxis | ||
| Tac-Sir-MTX | 74 | 69.2 |
| Tac-Sir | 24 | 22.4 |
| Tac-MTX | 8 | 7.5 |
| Sir-MMF-MTX | 1 | 0.9 |
| Acute GVHD grade | ||
| 0 | 63 | 58.9 |
| I | 12 | 11.2 |
| II | 16 | 15 |
| III | 15 | 14 |
| IV | 1 | 0.9 |
| Chronic GVHD | ||
| None | 61 | 57 |
| Extensive | 42 | 39.3 |
| Limited | 4 | 3.7 |
ALL, acute lymphoid leukemia; AML, acute myeloid leukemia; CLL, chronic lymphocytic leukemia; CML, chronic myeloid leukemia; CMV, cytomegalovirus; F, female; HLA, human leukocyte antigen; M, male; MDS, myelodysplastic syndrome; MM, multiple myeloma; MMF, mycophenolate mofetil; MPD, myeloproliferative disease; MTX, methotrexate; NHL, non-Hodgkin lymphoma; PBSC, peripheral blood stem cell; PCD, plasma cell dyscrasias; PLL, prolymphocytic leukemia; Sir, sirolimus/rapamycin; SLL, small lymphocytic lymphoma; Tac, tacrolimus.
Flow cytometry
A panel of directly conjugated monoclonal antibodies (Mabs) (supplemental Table 1, available on the Blood Web site) was used to define functionally distinct T-cell subsets and homeostatic characteristics of each subset. Three major T-cell populations, CD4Treg, CD4Tcon, and CD8 T cells, were defined as CD3+CD4+Foxp3+, CD3+CD4+Foxp3−, and CD3+CD4−CD8+, respectively. Within each population, subsets were defined as follows: naive T cells (CD45RA+CD62L+), CM (CD45RA−CD62L+), EM (CD45RA−CD62L−), and CD8 TEMRA T cells (CD8+CD45RA+CD62L−). Within the CD4 T-cell population, coexpression of CD45RA and CD31 was used to define recent thymic emigrants (RTEs).30,31 Proliferation was measured by expression of Ki67.32 Susceptibility to apoptosis was assessed by intensity of surface membrane expression of CD95 (Fas) and intracellular expression of BCL2.9,33 Prior to analysis, peripheral blood mononuclear cells were purified by density gradient centrifugation. peripheral blood mononuclear cells were incubated with fluorochrome-conjugated Mabs directed against cell surface antigens for 20 minutes at room temperature. Thereafter, surface-stained cells were fixed for 30 minutes, permeabilized with FOXP3 Fix/Perm buffer (eBioscience), and stained with Mabs directed against intracellular antigens for 30 minutes at 4°C. Cells were acquired in a FACSCanto II flow cytometer (BD) and analyzed using FlowJo software (Tree Star). An example of the gating/analysis strategy for simultaneous assessment of T-cell populations and homeostatic markers is shown in supplemental Figure 1.
Statistical analysis
Patient baseline characteristics and immunophenotype data were analyzed primarily descriptively. Immunophenotype data were compared using the Wilcoxon rank-sum test for unpaired group comparison and the Wilcoxon signed-rank test for paired comparison. Correlation studies were assessed using the nonparametric Spearman test. All tests are 2-sided at the significance level of 0.05 and multiple comparisons are not considered. All statistical analyses were performed using SAS version 9.2 (SAS Institute) and R version 3.1.3 (the CRAN project). All graphs were made using Prism software (GraphPad). Heatmaps were generated using GENE-E (http://www.broadinstitute.org/ cancer/software/GENE-E).
Results
Patient characteristics
Clinical characteristics of the patients included in the study are summarized in Table 1. The median age was 62 years (range, 19-73 years), 97% had hematologic malignancies (and most were classified with intermediate [43%] or high [34.6%] disease risk), 89.7% underwent transplantation from HLA-matched donors, and 92.5% received filgrastim-mobilized peripheral blood stem cells. In 92.5% of patients, GVHD prophylaxis included sirolimus combined with a calcineurin inhibitor, with or without methotrexate and mycophenolate mofetil. Following transplant, 80% of patients achieved complete donor chimerism in peripheral blood by day +30, 25 patients (23.3%) developed grade II-IV acute GVHD, 46 patients (42.9%) developed chronic GVHD, and 10 patients (9.3%) developed both acute and chronic GVHD. Relapse within the 2-year period of follow-up occurred in 46 patients (42.9%).
Kinetics of T-cell reconstitution after HSCT
Recovery of the major T-cell populations is summarized in Figure 1. CD3 T cells gradually increased and approached the normal range 18 months after transplant (Figure 1A). Delayed T-cell recovery was primarily due to slow CD4 T-cell reconstitution. CD8 T cells reached normal levels 12 months after transplant but CD4 T cells remained below normal throughout the 2-year follow-up period (P < .001). Within the CD4 T-cell population, both CD4Tregs and CD4Tcons increased gradually, but neither subset reached normal levels (P < .001) 2 years after HSCT (Figure 1B). Despite the more rapid recovery of CD8 T cells, CD4 T-cell numbers were higher than CD8 T-cell counts for the first 6 months after HSCT. By 9 months, CD8 T-cell counts were higher than CD4 T-cell counts resulting in an inverse CD4:CD8 ratio (Figure 1C). Due to the similar pace of reconstitution of CD4Tregs and CD4Tcons, the Treg:Tcon ratio remained relatively stable and within normal range throughout the follow-up period. In contrast, CD4:CD8 and Treg:CD8 ratios decreased in the first 9 months and remained below normal (P < .001) throughout the follow-up period (Figure 1C).
Reconstitution of major T-cell populations after allogeneic HSCT. The recovery of each T-cell population in peripheral blood was assessed prospectively by flow cytometry. The median cell counts per microliter for each population are represented at each time point, as well as the corresponding median value in healthy donors (HD), with the interquartile range (IQ) range (whisker bars). (A) Median CD3+ (blue), CD4+ (green), and CD8+(red) T-cell counts. (B) Median CD4Treg (green) and CD4Tcon (red) counts. (C) Median CD4:CD8, Treg:CD8, and Treg:Tcon ratios. To compare the patterns of recovery of CD4Tregs and CD4Tcons in the same graph, different scales were used in panels B and C. aCD4, absolute CD4; aCD8, absolute CD8; aTcon, absolute Tcon; aTreg, absolute Treg.
Reconstitution of major T-cell populations after allogeneic HSCT. The recovery of each T-cell population in peripheral blood was assessed prospectively by flow cytometry. The median cell counts per microliter for each population are represented at each time point, as well as the corresponding median value in healthy donors (HD), with the interquartile range (IQ) range (whisker bars). (A) Median CD3+ (blue), CD4+ (green), and CD8+(red) T-cell counts. (B) Median CD4Treg (green) and CD4Tcon (red) counts. (C) Median CD4:CD8, Treg:CD8, and Treg:Tcon ratios. To compare the patterns of recovery of CD4Tregs and CD4Tcons in the same graph, different scales were used in panels B and C. aCD4, absolute CD4; aCD8, absolute CD8; aTcon, absolute Tcon; aTreg, absolute Treg.
Within CD4Treg, CD4Tcon, and CD8 T-cell populations, we determined the fraction of cells that had a naive, CM, or EM phenotype (Figure 2). Within CD8 T cells, we also defined a TEMRA subset. Within each T-cell population, memory cells represented the predominant subsets. This was evident at early as well as late time points and the relative distribution at all time points was similar to what was found in healthy adults (Figure 2, right panels). More detailed analysis of CD4Treg reconstitution (Figure 2A) revealed a gradual increase in both CM and EM fractions with very little recovery of naive CD4Tregs during the entire follow-up period. In healthy donors, naive cells represent a relatively small fraction (median: 14.1%) of circulating CD4Tregs. Nevertheless, the naive Treg fraction was significantly decreased throughout the posttransplant period (P < .001) compared with healthy donors. In the first 6 months, CM CD4Tregs comprised the major CD4Treg subset. Beginning 9 months after HSCT, there was a gradual increase in the EM CD4Treg subset (Figure 2A, right panel). Analysis of CD4Tcon recovery showed no increase in the numbers of circulating cells in the first 9 months after HSCT (Figure 2B). Beginning 12 months after HSCT, there was a gradual increase in all CD4Tcon subsets but the greatest increase occurred within the EM CD4Tcon subset. Notably, the frequency of naive CD4Tcons was relatively normal early post-HSCT and gradually decreased as the EM CD4Tcon subset increased 9 to 24 months post-HSCT (Figure 2B, right panel). Analysis of CD8 T-cell recovery showed that all subsets began to increase in number 6 months post-HSCT (Figure 2C). Rapid CD8 recovery occurred primarily as a result of increasing numbers of CD8 TEMRA that achieved normal levels 9 months post-HSCT and comprised >50% of all CD8 T cells. Naive and EM CD8 subsets also showed substantial recovery. In contrast to CD4 T cells, the CM subset represented a small fraction of CD8 T cells and this subset showed very little recovery (Figure 2C, right panel).
Reconstitution of naive and memory T-cell compartments. Absolute numbers (cells per microliter) of each subset in peripheral blood are shown on the left and relative percentages at each time point are shown on the right. Graphs on the left show median cell counts per microliter for each population and the corresponding median in HDs, with the IQ range (whisker bars). Bar graphs on the right show the median percentage of each population and the corresponding median in HDs. (A) CD4Treg subsets: naive (green), CM (red), EM (blue). (B) CD4Tcon subsets: naive (green), CM (red), EM (blue). (C) CD8 T-cell subsets: naive (green), CM (red), EM (blue), TEMRA (purple).
Reconstitution of naive and memory T-cell compartments. Absolute numbers (cells per microliter) of each subset in peripheral blood are shown on the left and relative percentages at each time point are shown on the right. Graphs on the left show median cell counts per microliter for each population and the corresponding median in HDs, with the IQ range (whisker bars). Bar graphs on the right show the median percentage of each population and the corresponding median in HDs. (A) CD4Treg subsets: naive (green), CM (red), EM (blue). (B) CD4Tcon subsets: naive (green), CM (red), EM (blue). (C) CD8 T-cell subsets: naive (green), CM (red), EM (blue), TEMRA (purple).
Thymic-dependent T-cell reconstitution
In CD4 T cells, RTEs can be identified within the naive T-cell subset by coexpression of CD31 and CD45RA (RTE: Figures 3-4).30,31 In healthy donors, the frequency of RTE is greater within CD4Tcons (median = 18%) than within CD4Tregs (median = 11%; P = .001). In the first 3 months after transplant, the percentage of RTE CD4Tregs was within the lower limits of normal but subsequently decreased below normal from 6 to 24 months post-HSCT (Figure 3A, RTE). In contrast, the RTE CD4Tcon percentage was within the high normal range 1 to 6 months post-HSCT and remained at normal levels as CD4Tcon recovery continued (Figure 4A, RTE). Taken together, these results indicate that thymic production of CD4 T cells strongly favors CD4Tcons over CD4Tregs for at least 2 years after transplant.
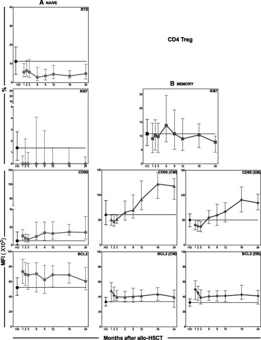
Dynamic profile of CD4Treg subsets. Phenotypic markers of thymic production, proliferation, and susceptibility to apoptosis were measured at different time points over a 2-year period. Results are shown for (A) naive and (B) memory subsets of CD4Tregs. Individual graphs show the percentage of RTEs, the percentage of Ki67 (proliferation), and the MFIs of CD95 and BCL2. Median values and the IQ range (whisker bars) are shown for each parameter. Results in HD are shown in black. MFI, mean fluorescence intensity.
Dynamic profile of CD4Treg subsets. Phenotypic markers of thymic production, proliferation, and susceptibility to apoptosis were measured at different time points over a 2-year period. Results are shown for (A) naive and (B) memory subsets of CD4Tregs. Individual graphs show the percentage of RTEs, the percentage of Ki67 (proliferation), and the MFIs of CD95 and BCL2. Median values and the IQ range (whisker bars) are shown for each parameter. Results in HD are shown in black. MFI, mean fluorescence intensity.
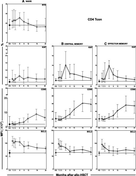
Dynamic profile of CD4Tcon subsets. Phenotypic markers of thymic production, proliferation, and susceptibility to apoptosis were measured at different time points over a 2-year period. Results are shown for (A) naive, (B) memory, and (C) EM subsets of CD4Tcons. Individual graphs show the percentage of RTEs, the percentage of Ki67 (proliferation), and the MFIs of CD95 and BCL2. Median values and the IQ range (whisker bars) are shown for each parameter. Results in HD are shown in black.
Dynamic profile of CD4Tcon subsets. Phenotypic markers of thymic production, proliferation, and susceptibility to apoptosis were measured at different time points over a 2-year period. Results are shown for (A) naive, (B) memory, and (C) EM subsets of CD4Tcons. Individual graphs show the percentage of RTEs, the percentage of Ki67 (proliferation), and the MFIs of CD95 and BCL2. Median values and the IQ range (whisker bars) are shown for each parameter. Results in HD are shown in black.
Reconstitution of CD4Tregs
T-cell recovery relies on proliferation of mature T cells as well as generation of naive cells from lymphoid progenitor cells. Persistence of differentiated cells is also dependent on their susceptibility to apoptosis. In our study, these factors were evaluated by measuring expression of Ki67 (a marker of proliferation), cell surface CD95 (a marker of extrinsic pathway apoptosis), and intracellular BCL2 (a marker of intrinsic pathway apoptosis).34 Concurrent analysis of each major T-cell population revealed important similarities as well as differences unique to each major T-cell population. Within the CD4Treg population, naive CD4Tregs exhibited very low levels of proliferation with no evidence of recovery over a 2-year period (Figure 3A). CD95 expression in naive CD4Tregs was relatively normal in the first 6 months post-HSCT and then remained stable at levels above normal for the next 18 months. BCL2 expression in naive CD4Tregs was above normal for the entire 2-year period. Although proliferation of naive CD4Tregs was very low, proliferation of memory CD4Tregs was consistently normal both early and late post-HSCT (Figure 3B). This is remarkable because steady-state proliferation of memory CD4Tregs in healthy donors is normally 9- to 10-fold higher than naive Tregs. In the first 2 to 3 months post-HSCT, memory CD4Tregs expressed relatively low levels of CD95 and relatively high levels of BCL2 compared with healthy donors. Subsequently, expression of CD95 gradually increased to very high levels 12 to 24 months post-HSCT. BCL2 expression also remained high 6 to 24 months post-HSCT in memory CD4Tregs. Expression of CD95 and BCL2 was very similar in CM and EM CD4Treg subsets.
Reconstitution of CD4Tcons
Within the CD4Tcon population, assessment of Ki67, CD95, and BCL2 expression revealed several changes during post-HSCT recovery (Figure 4). Proliferation of naive, CM, and EM subsets was consistently at or above normal at all time points (Figure 4, Ki67 panels). Within the CM and EM subsets, proliferation was markedly increased at 6 to 12 months post-HSCT. Expression of CD95 was relatively normal in all CD4Tcon subsets 1 to 9 months post-HSCT but then increased to very high levels 12 to 24 months post-HSCT (Figure 4, CD95 panels). Expression of BCL2 was elevated in all CD4Tcon subsets in the first 6 months post-HSCT (Figure 4, BCL2 panels). BCL2 levels gradually decreased to just above normal levels in CM and EM CD4Tcon subsets but remained elevated in naive CD4Tcons.
Reconstitution of CD8 T cells
Although recovery of CD8 T cells was more rapid than CD4Tcons, patterns of proliferation and expression of CD95 and BCL2 were remarkably similar in these 2 populations as peripheral counts gradually recovered after HSCT (Figure 5). Proliferation of all CD8 subsets remained normal or above normal throughout the 2-year study period (Figure 5, Ki67 panels). High levels of proliferation were observed at 6 to 12 months post-HSCT in CD8 CM and EM subsets. Expression of CD95 was relatively normal in all subsets 1 to 9 months post-HSCT and subsequently gradually increased in all subsets as CD8 counts recovered (Figure 5, CD95 panels). BCL2 expression was relatively high in all subsets in the first 3 to 6 months post-HSCT and then gradually returned to normal levels 9 to 24 months post-HSCT (Figure 5, BCL2 panels).
Dynamic profile of CD8 T-cell subsets. Phenotypic markers of proliferation and susceptibility to apoptosis were measured at different time points over a 2-year period. Results are shown for (A) naive, (B) CM, (C) EM, and (D) TEMRA subsets. Individual graphs show the percentage of Ki67 (proliferation) and the MFIs of CD95 and BCL2. Median values and the IQ range (whisker bars) are shown for each parameter. Results in HD are shown in black.
Dynamic profile of CD8 T-cell subsets. Phenotypic markers of proliferation and susceptibility to apoptosis were measured at different time points over a 2-year period. Results are shown for (A) naive, (B) CM, (C) EM, and (D) TEMRA subsets. Individual graphs show the percentage of Ki67 (proliferation) and the MFIs of CD95 and BCL2. Median values and the IQ range (whisker bars) are shown for each parameter. Results in HD are shown in black.
Aberrant T-cell dynamics in chronic GVHD
In our cohort, 46 patients (43%) developed chronic GVHD and 61 patients (57%) did not develop chronic GVHD during the 2-year follow-up period. Immune reconstitution of total CD4Treg, CD4Tcon and CD8 T cells was similar between groups during the first 6 months post-HSCT (data not shown). Forty patients were analyzed 9 months post-HSCT. By this time, 20 had developed chronic GVHD and 20 remained free of any clinical manifestations of chronic GVHD. As shown in Figure 6A, the ratio of both Tregs:Tcons and Tregs:CD8 was significantly greater in patients who had not developed chronic GVHD compared with patients who had developed chronic GVHD (P = .0007 and P = .028, respectively). The significant difference in Tregs:Tcons and Tregs:CD8 primarily reflects a significantly lower percentage of CD4Tregs and a higher percentage of CD4Tcons in patients with chronic GVHD (P = .0007 and P = .0006, respectively) (Figure 6B). The percentage of CD8 was not different between patients with and without chronic GVHD (P = .54). Central memory CD4Tregs represent the predominant Treg subset at this time and proliferation of this CD4Treg subset was significantly lower in patients with chronic GVHD (P = .0018) (Figure 6C).
Reconstitution of CD4Tregs, CD4Tcons, and CD8 T cells according to cGVHD status 9 months after transplant. (A) CD4Treg:CD4Tcon and CD4Treg:CD8 ratios. (B) The percentages of CD4Tregs, CD4Tcons, and CD8 T cells. (C) Proliferation (%Ki67) in CM CD4Tregs. Each figure compares patients with (red) and without (blue) cGVHD. Box plots in panels A and B depict the 75th percentile; median and 25th percentile values and whiskers represent maximum and minimum values. In panel C, dots depict the number of patients (n = 20 for each group) and the whiskers correspond to the 75th and 25th percentile. cGVHD, chronic GVHD.
Reconstitution of CD4Tregs, CD4Tcons, and CD8 T cells according to cGVHD status 9 months after transplant. (A) CD4Treg:CD4Tcon and CD4Treg:CD8 ratios. (B) The percentages of CD4Tregs, CD4Tcons, and CD8 T cells. (C) Proliferation (%Ki67) in CM CD4Tregs. Each figure compares patients with (red) and without (blue) cGVHD. Box plots in panels A and B depict the 75th percentile; median and 25th percentile values and whiskers represent maximum and minimum values. In panel C, dots depict the number of patients (n = 20 for each group) and the whiskers correspond to the 75th and 25th percentile. cGVHD, chronic GVHD.
As naive T cells encounter antigen and differentiate into memory T cells, CM cells remain relatively immature whereas EM cells acquire functional characteristics of increased tissue homing and increased cytolytic capacity. Examination of the ratio of CM:EM at 3 and 6 months post-HSCT revealed changes during this period that were significantly different in patients who developed or did not develop chronic GVHD. As shown in Figure 7A-B, the CM:EM ratio was significantly higher 3 months post-HSCT in patients who develop chronic GVHD. This shift was most evident in CD4Tregs but was also present in CD4Tcons. As shown in Figure 7C-D, the switch in predominance between CM and EM subsets is driven primarily by the increase in CM cells in patients who develop chronic GVHD. The fraction of CM cells is significantly increased in both CD4Tregs and CD4Tcons at 3 months post-HSCT in patients who subsequently develop chronic GVHD but there is little change in the CM fraction at 6 months post-HSCT and the percentage of CM is similar in patients with and without chronic GVHD at this time point. Also evident 6 months post-HSCT is the selective increase in naive CD4Tregs in patients who do not develop chronic GVHD.
Differentiation characteristics of CD4Tregs, CD4Tcons, and CD8 T cells associated with cGVHD. Percentages of naive, CM, and EM subsets were determined at 3 and 6 months after transplant. Results were compared in patients who developed (red) or did not develop (blue) cGVHD. (A) CM:EM ratio in CD4Tregs. (B) CM:EM ratio in CD4Tcons. (C) CD4Tregs: Median percentage of the naive, CM, and EM. (D) CD4Tcons: Median percentage of the naive, CM, and EM. (E) Frequency profile of the entire T-cell compartment at 3 months after transplant. Data are presented as a heatmap using hierarchical clustering after standardization of each row. Top bar indicates subsequent cGVHD outcome (green, cGVHD; yellow, no cGVHD). Blue, white, and red represent low, intermediate, and high subset frequency.
Differentiation characteristics of CD4Tregs, CD4Tcons, and CD8 T cells associated with cGVHD. Percentages of naive, CM, and EM subsets were determined at 3 and 6 months after transplant. Results were compared in patients who developed (red) or did not develop (blue) cGVHD. (A) CM:EM ratio in CD4Tregs. (B) CM:EM ratio in CD4Tcons. (C) CD4Tregs: Median percentage of the naive, CM, and EM. (D) CD4Tcons: Median percentage of the naive, CM, and EM. (E) Frequency profile of the entire T-cell compartment at 3 months after transplant. Data are presented as a heatmap using hierarchical clustering after standardization of each row. Top bar indicates subsequent cGVHD outcome (green, cGVHD; yellow, no cGVHD). Blue, white, and red represent low, intermediate, and high subset frequency.
Differences in CD4Treg and CD4Tcon subsets noted 3 months after HSCT led us to undertake a more detailed analysis of all T-cell subsets at this early time point comparing patients who would subsequently develop chronic GVHD with those that remained free of chronic GVHD. The unsupervised hierarchical clustering of the percentage of naive, CM, and EM T cells is shown in the Figure 7E heatmap. Patient clusters on the right are characterized by increased fractions of more differentiated subsets in all 3 major T-cell populations represented by CD8 TEMRA as well as EM within CD4Treg, CD4Tcon, and CD8 T-cell populations. In contrast, patient clusters on the left are characterized by increased frequency of less differentiated subsets in all 3 major T-cell populations represented by naive and CM subsets within CD4Treg, CD4Tcon, and CD8 T-cell populations. Patients who subsequently develop chronic GVHD predominate within the latter group of patients that have high percentages of naive and CM T cells and low percentages of TEMRA and EM T cells 3 months after HSCT. In contrast, patients who do not develop chronic GVHD are characterized by having high percentages of differentiated T-cell subsets and low percentages of naive and CM subsets 3 months after HSCT. Further analysis of 3-month data excluding patients who developed acute GVHD did not change these findings.
Discussion
Full reconstitution of T-cell immunity after allogeneic HSCT requires the balanced recovery of both effector and regulatory T-cell populations. To coordinate recovery of CD4Tregs, CD4Tcons, and CD8 T cells, we monitored immune reconstitution in serial blood samples from a large cohort of 107 adult patients who received T-replete stem cell products; results were compared with 15 healthy donors. In addition to measuring absolute recovery of each major T-cell population, we evaluated reconstitution of naive and memory subsets within each population. In the first year after transplant, T-cell recovery is primarily driven by homeostatic proliferation in response to persistent lymphopenia. However, antigen-specific responses as well as generation of new T cells from donor hematopoietic precursor cells also play important roles. To evaluate these various factors that influence immune recovery, we concurrently identified RTEs and the fraction of proliferating cells within each subset. Although T cells can persist for prolonged periods, activated proliferating cells also become more susceptible to apoptosis. As surrogate markers for susceptibility to apoptosis, we quantified the intracellular expression of BCL2 and surface expression of CD95 (Fas) within each subset.9,26,34 These markers do not provide a complete picture of cellular dynamics because they cannot measure critically important transitions from one phenotype to the next as T cells mature. Nevertheless, this comprehensive phenotypic analysis allowed us to simultaneously evaluate the response of both regulatory and effector T cells to both homeostatic and antigen-specific signals in vivo during a 2-year period of immune reconstitution after allogeneic HSCT and identify significant differences that contribute to the subsequent development of chronic GVHD.
Consistent with previous reports, CD3 T cells did not reach normal levels until 1 to 1.5 years after transplant. Within the T-cell compartment, CD8 T cells recovered more rapidly, and neither CD4Tregs nor CD4Tcons achieved normal levels during the 2-year observation period. Within CD4Tregs and CD4Tcons, naive cells were the slowest to recover. As a result, reconstituting CD4Tregs were predominantly CM cells and CD4Tcons were predominantly EM cells. Within the CD8 T-cell population, recovery was primarily due to expansion of terminal EM cells but naive CD8 T cells also recovered to normal levels 1.5 years after transplant.
To examine production of new T cells from lymphoid progenitor cells, we monitored CD4+CD45RA+CD31+ RTEs. As RTEs proliferate, CD31 expression is lost and these cells become indistinguishable from other naive CD4 T cells.31,35 In healthy adults, limited availability of IL-2 in the thymic microenvironment favors production of CD4Tcons.36,37 Early after transplant, CD4Tcon RTEs are maintained within the high normal range but very few CD4Treg RTEs are produced for at least 2 years. CD8 RTEs do not express a unique phenotype, but the frequency of naive CD8 T cells is relatively normal after transplant. Thus, thymic production of CD4Tregs is selectively compromised for prolonged periods whereas maturation of new T cells is markedly skewed to maintain production of CD4Tcons and CD8 T cells at relatively normal frequencies.
Following transplant, mature T cells undergo homeostatic proliferation to expand the number of cells available for immune surveillance. In our cohort, proliferation, measured by expression of Ki67, of both naive and memory CD4Tcons and CD8 T cells was maintained at relatively normal levels in the first 3 months after transplant. Subsequently, increased proliferation of memory cells was noted 6 months posttransplant within both CD4Tcons and CD8 T cells. Proliferation of other CD4Tcon and CD8 T-cell subsets was also normal or above normal but the increased proliferative thrust at 6 months was not observed in these subsets. In contrast, proliferation of memory CD4Tregs is only maintained at normal levels and proliferation of newly generated naive CD4Tregs is markedly reduced. In fact, proliferation of naive CD4Tregs is not detectable in the majority of patients.
Within each T-cell population, proliferation of mature T cells is balanced by apoptosis of activated cells. In our cohort, expression of BCL2 was relatively high in the first 3 to 6 months after transplant and then returned to normal levels in all CD4Tcons and CD8 T cells. In contrast, CD95 expression was normal in the first 6 to 9 months and subsequently increased 12 to 24 months after transplant. Within CD4Tregs, BCL2 expression was only increased in the first 2 months after transplant in CM and EM subsets. BCL2 expression is increased for a longer period in naive CD4Tregs but this represents a very small fraction of the CD4Treg population. CD95 expression is relatively normal in CD4Tregs in the first 6 to 9 months posttransplant and subsequently increases to high levels 12 to 24 months after transplant. When compared with other T cells, lower expression of BCL2 early after transplant and higher expression of CD95 at later time points suggests that CD4Tregs are more susceptible to apoptosis and therefore likely have shorter survival in vivo.
Having identified differences in T-cell recovery that favored expansion of CD4Tcons and CD8 T cells over CD4Tregs, we examined whether this dynamic imbalance was associated with the development of chronic GVHD. In the first 6 months post-HSCT, recovery of CD4Tregs, CD4Tcons, and CD8 T cells is similar in patients who subsequently developed or did not develop chronic GVHD. However, at 9 months posttransplant, some patients have already developed chronic GVHD and the ratio of CD4Tregs:CD4Tcons and CD4Tregs:CD8 T cells was significantly lower in patients with chronic GVHD. The lower CD4Treg:CD4Tcon ratio reflects both lower CD4Tregs and greater CD4Tcons, but the lower CD4Treg:CD8 ratio is entirely due to a lower percentage of CD4Tregs. A major driver of this imbalance appears to be the significantly lower proliferation of CM CD4Tregs in patients who develop chronic GVHD. Patients who develop chronic GVHD begin immune-suppressive therapy and some of these changes may therefore reflect effects of this therapy. Nevertheless, a variety of dynamic factors support the generation, expansion, and survival of T effector cells over CD4Tregs and contribute to the inability to establish immune tolerance after allogeneic transplant.
As we monitored T-cell reconstitution, we also observed that altered CD4Treg and CD4Tcon differentiation associated with development of chronic GVHD could be observed as early as 3 months following transplant. At this early time point, the great majority of T cells are CD4Tcons but all T-cell populations, including CD4Tregs, CD4Tcons, and CD8 T cells, were skewed toward predominance of naive and CM subsets in patients who subsequently developed chronic GVHD. This skewing was less evident 6 months after transplant and began to reverse in CD4Treg and CD4Tcon populations as patients begin to develop chronic GVHD (data not shown). Further studies will be needed to fully understand the immunologic causes of these shifts in T-cell differentiation after transplant. Previous studies in murine models have shown that T cells capable of promoting GVHD are primarily contained within the naive T-cell compartment.38 Moreover, a recent clinical trial demonstrated that depletion of naive T cells from the stem cell product had little effect on the incidence of acute GVHD but appeared to markedly reduce the incidence of chronic GVHD.39 In part, early recovery of naive T cells in our cohort reflects increased thymic production of CD4Tcons and CD8 T cells. Homeostatic proliferation and increased survival also plays a role in the expansion of naive T cells in the early posttransplant period. In this setting, robust expansion of relatively immature T cells in the early posttransplant period appears to expand the pool of potential alloreactive T cells and increase the risk of subsequent development of chronic GVHD. These naive cells do not immediately respond to alloantigens and do not increase the risk of acute GVHD, perhaps because of concurrent immune-suppressive therapy. Nevertheless, increased early expansion of relatively immature T cells appears to set the stage for subsequent development of chronic GVHD when immune-suppressive medications are reduced and unbalanced recovery of CD4Tregs is not sufficient to promote immune tolerance. Sequential tracking of specific T-cell populations is now possible through T-cell receptor sequencing and further studies using this approach may help elucidate the role of early expansion of naive T-cell populations in the subsequent development of GVHD.40
In summary, prospective monitoring of T-cell reconstitution revealed several homeostatic imbalances that appear to contribute to the development of chronic GVHD. In this setting, interventions that selectively promote the generation, expansion, or persistence of CD4Tregs may improve the balanced recovery of effector and regulatory T-cell populations and promote immune tolerance after transplant.41,42 Various methods to selectively enhance CD4Tregs after transplant, including adoptive CD4Treg infusions and administration of low-dose IL-2, are already being evaluated in clinical trials.43-47 The clinical effectiveness of these interventions may depend on their long-term ability to alter the homeostatic balance of regulatory and effector T cells after transplant.
The online version of this article contains a data supplement.
The publication costs of this article were defrayed in part by page charge payment. Therefore, and solely to indicate this fact, this article is hereby marked “advertisement” in accordance with 18 USC section 1734.
Acknowledgments
The authors are grateful to all patients and healthy donors who kindly volunteered to participate in this study. The authors thank the Pasquarello Hematologic Malignancies Tissue Bank for prospective collection and processing of serial blood samples.
This work was supported by a Collaborative Research Grant from the Harvard Medical School-Portugal Program in Translational Research HMSP-ICT/0001/201, and National Institutes of Health, National Cancer Institute grants CA183559, CA183560, and CA142106.
Authorship
Contribution: A.C.A., J.F.L., and J.R. conceived and designed the study; R.J.S., S.N., C.S.C., J.K., V.T.H., P.A., J.H.A., and E.P.A. provided patients; M.J.C., C.G.R., T.R.M., J.W., E.F., and A.C.A. collected and assembled data; A.C.A. and J.R. analyzed and interpreted data; H.T.K. analyzed and interpreted data and performed statistical analysis; and all authors wrote the manuscript.
Conflict-of-interest disclosure: The author declares no competing financial interests.
Correspondence: Jerome Ritz, Division of Hematologic Malignancies, Dana-Farber Cancer Institute, 450 Brookline Ave, Boston, MA 02215; e-mail: jerome_ritz@dfci.harvard.edu.







This feature is available to Subscribers Only
Sign In or Create an Account Close Modal