Abstract
Because caspase activation is an essential step in programmed cell death (apoptosis) and cytotoxic drug-induced apoptosis is mediated by caspase 2 and caspase 3, we hypothesized that caspase 2 and 3 levels predict clinical outcome in acute myelogenous leukemia (AML). Using quantitative Western blot analysis, we studied the levels of nonactivated (uncleaved) caspase 2 and 3 in peripheral blood low-density cells from 185 patients with newly diagnosed AML. We also measured the level of activated (cleaved) caspase 3 in 41 randomly selected samples from the 185 patients. Finally, we analyzed the effect of caspase 2 and 3 levels and other prognostic variables on patient survival using a multivariate Cox model. We found that median levels of nonactivated caspase 2 and 3 were higher in AML than in normal peripheral blood cells (P < .001 and P <.02, respectively). There was no association between caspase level and either the percentage of peripheral blasts or any specific type of leukemia cell cytogenetic abnormalities. When the effect of each uncleaved caspase was considered individually, a high level of uncleaved caspase 3 (P = .04), but not of caspase 2 (P = .16), was associated with decreased survival. Conversely, a high level of cleaved caspase 3 denoted improved survival and correlated with the inactivation of the DNA-repair enzyme poly(ADP-ribose) polymerase. Thus, cleaved caspase 3 could stimulate the apoptotic cascade further, and lack of its activation likely caused an accumulation of the uncleaved caspase. Although uncleaved caspase 2 level per se had no prognostic significance, the interactive effect of high levels of both uncleaved caspase 2 and 3 denoted very poor survival (P < .001) and had the largest effect of all prognostic variables (P < .001; estimated relative risk, 2.49; 95% confidence interval, 1.59 to 3.90). Taken together, caspase 2 and caspase 3 protein levels obtained at diagnosis may constitute a reliable prognostic factor in AML.
© 1998 by The American Society of Hematology.
NUMEROUS STUDIES HAVE indicated that the growth, differentiation, and survival of acute myelogenous leukemia (AML) cells are regulated by intracellular and extracellular signals. Positive regulators include cyclins, cyclin-dependent kinases (cdk), growth-stimulatory cytokines, and bcl-2, while negative regulators include p53 and the retinoblastoma (RB) genes, inhibitory cytokines, and cdk inhibitors (see Karp1). Most signals that lead to apoptosis do so by activating interleukin-1β converting enzyme (ICE)-like proteases termed caspases.2-5
Caspases are synthesized as proenzymes. Cleavage at specific aspartate residues converts the proenzymes into biologically active cysteine proteases. The activated caspases abrogate the effect of substrates that protect cellular integrity, such as the DNA-repair enzyme poly(ADP-ribose) polymerase (PARP), and thereby induce apoptotic cell death. The activation of at least one caspase appears to be an essential step in cellular apoptosis.2-4 Consistent with this scheme, caspase 3 (CPP32, prICE, or Yama)6-8 has been found to be involved in leukemia-cell apoptosis induced by cytotoxic agents such as ara-C,9,10 etoposide, mitoxantrone,10 and CPT-11.11 In addition, activation of caspase 3 and, to some extent, caspase 2 (ICH-1)12-16 appears to be necessary to induce apoptosis in HL-60 myeloid leukemia cells.17 However, the clinical significance of these caspase levels in AML is unknown.
Caspase 2 was isolated from a human fetal cDNA library by screening with a probe of the mouse ICE-homolog Need-2 gene,12,13 and the caspase 2 gene has been assigned to chromosome 7q35.18Its mRNA is alternatively spliced into two mRNA species encoding two protein products named ICH-1L and ICH-1S.13 Over expression of ICH-1Linduces apoptosis in several cell types.13,14 Caspase 2 is activated by cleavage into three fragments that are then further processed into 18- and 12-kD active subunits.15,16 Caspase 3 is a cysteine protease homologous with ICE.6-8 Its gene has been located on chromosome 4q33-q35.118 In vitro data suggest that both ICE8 and the cytotoxic T-cell product granzyme B19 cleave CPP32. The cleaved form of caspase 3 consists of biologically active subunits p17 and p12.6
Given their role in promoting apoptosis, we hypothesized that caspase levels predict the clinical outcome of AML patients. We therefore quantitated the concentrations of caspase 2 and 3 in peripheral blood low-density cells of 185 patients with newly diagnosed AML and correlated these concentrations with clinical outcome. We found that high levels of both caspase 2 and 3 predict poor outcome in AML.
MATERIALS AND METHODS
Subjects.
Between October 1, 1991 and July 15, 1995, 376 patients with newly diagnosed, untreated AML were admitted to M.D. Anderson Cancer Center. Peripheral blood samples were obtained from 218 of these patients before therapy, during routine diagnostic evaluations as part of protocols approved by the Human Subjects Committee of The University of Texas M.D. Anderson Cancer Center. Emergency initiation of therapy at night or on weekends, before samples could be obtained, and the absence of circulating blasts were the predominant reasons for nonaccrual in this study. Eight patients opted for no therapy and were excluded from analysis, and blood samples from 25 patients were not available for study, leaving a sample size of 185. Clinical data are presented in Table 1.
Clinical Characteristics of Study Patients
| Characteristics . | . |
|---|---|
| No. of patients | 185 |
| Age (yr) | |
| Range | 18-87 |
| Median | 54 |
| Hemoglobin (g/dL) | |
| Range | 2.8-14.4 |
| Median | 8.6 |
| White blood cell count (×109/L) | |
| Range | 0.3-233 |
| Median | 17.9 |
| Platelets (×109/L) | |
| Range | 1-835 |
| Median | 45 |
| % Bone marrow blasts | |
| Range | 0-99 |
| Median | 58 |
| % Peripheral blood blasts | |
| Range | 0-99 |
| Median | 39 |
| FAB category (no. of patients) | |
| M0 | 11 |
| M1 | 50 |
| M2 | 35 |
| M3 | 17 |
| M4 | 39 |
| M5 | 11 |
| M6 | 6 |
| M7 | 2 |
| Unclassified | 14 |
| Cytogenetic abnormality (no. of patients) | |
| Inversion 16 | 13 |
| t(8;21) | 8 |
| t(15;17) | 14 |
| Diploid | 59 |
| Insufficient metaphases | 9 |
| Miscellaneous | 26 |
| Trisomy 8 | 11 |
| −5, −7 | 37 |
| 11q | 5 |
| t(9;22) | 3 |
| Antecedent hematologic disorder (no. of patients) | 34 |
| Characteristics . | . |
|---|---|
| No. of patients | 185 |
| Age (yr) | |
| Range | 18-87 |
| Median | 54 |
| Hemoglobin (g/dL) | |
| Range | 2.8-14.4 |
| Median | 8.6 |
| White blood cell count (×109/L) | |
| Range | 0.3-233 |
| Median | 17.9 |
| Platelets (×109/L) | |
| Range | 1-835 |
| Median | 45 |
| % Bone marrow blasts | |
| Range | 0-99 |
| Median | 58 |
| % Peripheral blood blasts | |
| Range | 0-99 |
| Median | 39 |
| FAB category (no. of patients) | |
| M0 | 11 |
| M1 | 50 |
| M2 | 35 |
| M3 | 17 |
| M4 | 39 |
| M5 | 11 |
| M6 | 6 |
| M7 | 2 |
| Unclassified | 14 |
| Cytogenetic abnormality (no. of patients) | |
| Inversion 16 | 13 |
| t(8;21) | 8 |
| t(15;17) | 14 |
| Diploid | 59 |
| Insufficient metaphases | 9 |
| Miscellaneous | 26 |
| Trisomy 8 | 11 |
| −5, −7 | 37 |
| 11q | 5 |
| t(9;22) | 3 |
| Antecedent hematologic disorder (no. of patients) | 34 |
The median follow-up of patients alive on study is 123 weeks.
Patients received induction therapy consisting of high-dose ara-C–based regimens combined with idarubicin alone, fludarabine alone, or both, as described previously.20 Filgrastim (granulocyte colony-stimulating factor [G-CSF]) was given to 152 patients according to existing clinical protocols. Maintenance therapy was administered for 6 or 12 months and consisted of standard-dose ara-C alternating with lower-dose versions of the induction regimen, as previously described.20 All 17 patients with acute promyelocytic leukemia (APL) received idarubicin and all-trans-retinoic acid, as reported previously.21Only one patient underwent allogeneic bone marrow transplantation.
Peripheral blood cells from nine hematologically normal individuals were used as controls.
Western immunoblotting for detection of caspase and PARP proteins.
All samples were processed immediately after the blood was drawn. Low-density cells were obtained by Ficoll-Hypaque (Pharmacia, Piscataway, NJ) fractionation. The percentage of blasts in these peripheral blood samples ranged from 0% to 99% (median, 39%). Western immunoblotting was performed using cell lysates (from 5 × 105 cells), as described previously.22-24 Each gel run included a sample of K562 cells (American Type Culture Collection [ATCC]; Rockville, MD), two to three samples of peripheral blood cells from normal individuals, and molecular-weight markers. The following antibodies were used to detect the relevant proteins: monoclonal mouse antihuman CPP32, mouse antihuman ICH-1L(Transduction Laboratories, Lexington, KY), rabbit antihuman cleaved CPP32, mouse antihuman PARP (Upstate Biotechnology, Lake Placid, NY), rabbit antihuman CPP32 (generously provided by Dr Donald W. Nicholson, Merck Frosst Center for Therapeutic Research, Pointe Clair-Dorval, Quebec, Canada), and mouse antihuman tubulin (Sigma Chemical Co, St Louis, MO). Normal mouse IgG (Sigma Chemical Co) was used as a control. To confirm detection of CPP32 and ICH-1L (positive controls), Jurkat and HeLa cell lines (ATCC), respectively, were used; for the detection of cleaved CPP32 and PARP, 3T3 cells (ATCC) and HeLa cell nuclear extracts, respectively, were used.
Bound antibody was detected according to the ECL protocol (Amersham Life Science, Arlington Heights, IL). Chemiluminescence was detected on X-OMAT AR5 film (Kodak, Rochester, NY). The levels of caspase 2 and caspase 3 expression were scored by densitometry on both a Personal Densitometer SI (Molecular Dynamics, Sunnyvale, CA) and an UltraScan XL (Pharmacia), and scoring by the two densitometers yielded similar results. The results were then normalized by dividing the numerical value of a sample’s caspase 2 or caspase 3 signal by that of either the tubulin signal or the signal of the same caspase obtained from the K562 positive control on the same blot. To insure standardization of the positive control, all K562 cell protein used was from a single, large protein preparation aliquoted into a single-use vial as previously described.25 To insure that the results were linear for both the amount of protein loaded and the time of exposure, various titers of K562 protein were analyzed using the same antibodies. A linear curve was obtained with preparations of 3 × 104 to 5 × 105 cells. Exposures used for these data are from the linear range.
Cellular fractionation.
To identify the cells responsible for the production of high levels of caspase protein, we used fresh peripheral blood cells from eight additional newly diagnosed AML patients in whom greater than 50% of the leukemic blasts expressed CD33, but not CD3 antigen. We used the immunomagnetic selection technique as previously described.26 27 Briefly, low-density peripheral blood cells were incubated with CD33 monoclonal antibodies (Becton Dickinson, San Jose, CA) at a concentration of 1 μg/106 cells in phosphate-buffered saline (PBS) with 0.25% fetal calf serum for 30 minutes at 4°C. The labeled cells were washed three times and incubated with goat antimouse IgG-conjugated immunomagnetic beads (Advanced Magnetics, Cambridge, MA) at 4°C for 60 minutes in an end-over-end rotation at 20:1 bead:cell ratio. Immunomagnetic bead-rosetted cells were removed using a magnetic particle concentrator (Advanced Magnetics), and unrosetted cells remaining in suspension were harvested by a Pasteur pipette. CD3+ cells were isolated from these cells using the same method. Caspase 3 protein was detected in both the CD33+ and CD3+ cells as described above.
Statistical methods.
Differences in the values of numerical variables between patient subgroups were tested using the Mann-Whitney-Wilcoxon and Kruskal-Wallis tests.28 Associations or differences between categorical variables were assessed using the Fisher exact test and its generalizations. Associations between caspase levels and other patient characteristics were assessed using standard regression methods. Survival and event-free survival (EFS) were evaluated using Kaplan-Meier plots, log-rank tests, and their generalizations.29,30 The effects of covariates such as age, cytogenetic abnormalities, and caspase levels on survival and EFS were evaluated using martingale residual plots31 and the Cox model and its generalizations.29,30,32 A multivariate Cox model was obtained via backward elimination, with a P value cutoff of .05. Before the model was derived, martingale residual plots were used to assess the functional relationship between each numerical covariate and survival or EFS and the covariate was transformed as appropriate. Goodness-of-fit was assessed using the Grambsch-Therneau test.33,34 All computations were performed on a DEC alpha 2100 5/250 system computer (Digital Electronics Corp, Nashua, NH) in Splus35 and StatXact (Cytel Software Corp, Cambridge, MA), using the standard Splus functions and the Splus survival package of Therneau.36
RESULTS
Levels of uncleaved caspases 2 and 3 in AML peripheral blood low-density cells.
Both uncleaved caspase 2 and uncleaved caspase 3 were detected in peripheral blood low-density cells of normal donors, in K562 cells and in all AML blood samples (Fig 1). Normalization of caspase levels to K562 and tubulin levels yielded similar results. Normalized levels of caspase 2 were higher and the range of caspase 2 expression larger in AML (median, 0.92) than in normal peripheral blood low-density cells (median, 0.40; P < .001). Likewise, normalized levels of caspase 3 were higher and the range of caspase 3 expression larger in AML (median, 1.31) than in peripheral blood mononuclear cells obtained from hematologically normal donors (median, 0.85; P = .02) (Fig2). There was no correlation between the caspase levels and either the percentage of peripheral blood blasts (R2 = .003 for caspase 2; R2 = .011 for caspase 3) or French-American-British (FAB) category. A separate analysis of immunomagnetic bead-fractionated cells verified that most of the uncleaved caspase 3 protein was present in the leukemic (CD33) fraction, not in the T-cell (CD3) fraction in seven of eight AML samples (Fig 3). These data also indicate that the level of caspase 3 protein per blast varies from patient to patient. Among the 185 AML patients, neither caspase 2 nor caspase 3 level differed significantly between patients whose cytogenetics were favorable [inversion 16, t(8;21), or t(15;17)], intermediate (a diploid karyotype or insufficient metaphases), or poor [trisomy 8; −5,−7; 11q; t(9;22); or miscellaneous changes]. Uncleaved caspase 2 and uncleaved caspase 3 exhibited a positive association in that caspase 3 increased as a quadratic fraction of caspase 2. While this regression was statistically significant (P = .023), it explained onlyR2 = 5.6% of the variability in caspase 3 so the association was very weak.
Detection of caspase 2 and caspase 3 protein in AML peripheral blood low-density cells. A representative blot for cells from 16 of 185 patients is depicted. The lane loaded with protein of K562 cells is labeled “K562” and the lane loaded with protein from hematologically normal individuals’ peripheral blood cells is labeled “N.” The various protein levels of tubulin (55 kD) and of the uncleaved forms of caspase 2 (48 kD) and caspase 3 (32 kD) are depicted.
Detection of caspase 2 and caspase 3 protein in AML peripheral blood low-density cells. A representative blot for cells from 16 of 185 patients is depicted. The lane loaded with protein of K562 cells is labeled “K562” and the lane loaded with protein from hematologically normal individuals’ peripheral blood cells is labeled “N.” The various protein levels of tubulin (55 kD) and of the uncleaved forms of caspase 2 (48 kD) and caspase 3 (32 kD) are depicted.
Box plots of uncleaved caspase 2 (upper panel) and of uncleaved caspase 3 (lower panel) for normal subjects and AML patients by cytogenetic category. The normalized levels of both caspases are depicted. Each box runs from the 25th percentile (X25) to the 75th percentile (X75), with the median represented by a horizontal line inside the box. The width of each box is proportional to √ n, where n = number of patients to represent n appropriately. Each whisker runs from the box to 1.5 multiplied by the interquartile range, but not beyond the sample maximum or minimum, and points beyond the whiskers are denoted by dashed lines.
Box plots of uncleaved caspase 2 (upper panel) and of uncleaved caspase 3 (lower panel) for normal subjects and AML patients by cytogenetic category. The normalized levels of both caspases are depicted. Each box runs from the 25th percentile (X25) to the 75th percentile (X75), with the median represented by a horizontal line inside the box. The width of each box is proportional to √ n, where n = number of patients to represent n appropriately. Each whisker runs from the box to 1.5 multiplied by the interquartile range, but not beyond the sample maximum or minimum, and points beyond the whiskers are denoted by dashed lines.
Detection of caspase 3 protein in CD3+ and CD33+ cells obtained from AML peripheral blood low-density cells. Data from four of eight patients are depicted.
Detection of caspase 3 protein in CD3+ and CD33+ cells obtained from AML peripheral blood low-density cells. Data from four of eight patients are depicted.
Association between uncleaved caspase 2 and 3 levels and clinical outcome.
Martingale residual plots of each caspase indicated that each had a possible threshold effect on the excess risk of death. To avoid searching for “optimal” cut points for these variables, which may be misleading and typically has associated difficulties in interpretation, we divided each caspase normalized level into its lower, middle, and upper third. This methodology ensures nearly equal samples in each subgroup, avoids the arbitrariness of an “optimal” cut point and is very likely to identify a threshold effect. A similar analysis dividing each variable into four levels using quartiles yielded substantively identical results. Because results for EFS were similar to those for survival, only results for survival are presented below.
Effect of uncleaved caspase 2 level on survival.
Dividing the caspase 2 distribution into thirds showed that patients with the highest caspase 2 levels had a slightly poorer overall survival than patients with caspase 2 levels in the lower two thirds (data not shown), but this difference was not significant (P = .16). Caspase 2 had a similar effect among patients with favorable or intermediate cytogenetics and among patients with poor-prognosis cytogenetics, but neither effect was significant (data not shown).
Effect of uncleaved and cleaved caspase 3 levels on survival.
Patients with uncleaved caspase 3 levels in the highest third (above 1.57) had a worse survival than patients with lower caspase 3 levels (median survival, 48 v 96 weeks; P = .04) (Fig 4A). This remained true for patients whose cytogenetic abnormalities predicted a favorable or intermediate survival rate (P = .03) (Fig 4B), but not for patients whose cytogenetic abnormalities predicted a poor outcome (P = .38) (Fig 4C).
Effect of uncleaved caspase 3 level on AML patient survival. The plots show Kaplan-Meier survival curves for AML patients with the lowest, middle, and highest thirds of normalized caspase 3 levels. Data shown are for all patients (lower two thirds, 123 patients; upper one third, 62 patients) (A), for patients with favorable and intermediate cytogenetic abnormalities (lower two thirds, 67 patients; upper one third, 36 patients) (B), and for patients with poor cytogenetic markers (lower two thirds, 56 patients; upper one third, 26 patients) (C).
Effect of uncleaved caspase 3 level on AML patient survival. The plots show Kaplan-Meier survival curves for AML patients with the lowest, middle, and highest thirds of normalized caspase 3 levels. Data shown are for all patients (lower two thirds, 123 patients; upper one third, 62 patients) (A), for patients with favorable and intermediate cytogenetic abnormalities (lower two thirds, 67 patients; upper one third, 36 patients) (B), and for patients with poor cytogenetic markers (lower two thirds, 56 patients; upper one third, 26 patients) (C).
To assess the effect of cleaved caspase 3 on survival, we studied its level in randomly selected samples from 41 of the 185 AML patients and divided its normalized levels into high (≥15) and low (<15) groups, as suggested by martingale residual plots that showed a threshold effect of survival and cleaved caspase 3 level on survival. Three patients who died during the first 2 weeks of induction chemotherapy were omitted from this analysis. Patients with high levels of cleaved caspase 3 had a better survival rate than patients with low levels of cleaved caspase 3 (Fig 5), but this was only marginally significant (P = .08).
Effect of cleaved caspase 3 levels on AML patient survival. The plot shows the Kaplan-Meier survival curve for patients with high (≥15) and low (<15) normalized protein levels of cleaved (17 kD) caspase 3. Data of 27 patients with high and 11 patients with low normalized levels of cleaved caspase 3 are depicted.
Effect of cleaved caspase 3 levels on AML patient survival. The plot shows the Kaplan-Meier survival curve for patients with high (≥15) and low (<15) normalized protein levels of cleaved (17 kD) caspase 3. Data of 27 patients with high and 11 patients with low normalized levels of cleaved caspase 3 are depicted.
To confirm that the cleaved caspase 3 detected by our assay was indeed biologically active, we analyzed randomly selected frozen protein samples (106 cells each) from 16 of the 185 AML patients. In two samples we detected high levels of cleaved caspase 3, and in these two cases, but not in others, we also detected high levels of cleaved PARP (Fig 6). These data suggest that a high level of cleaved caspase 3 may be associated with a favorable prognosis and that lack of activation (cleavage) of the proenzyme caspase 3 may result in its accumulation.
Detection of caspase 3 and PARP protein in AML peripheral blood cells. Data from five of 16 AML patients are depicted. The lane loaded with protein from peripheral blood cells from normal individuals is labeled “N.” Uncleaved (32 kD) and cleaved (17 kD) caspase 3 (A) and uncleaved (116 kD) and cleaved (85 kD) PARP (B) are depicted.
Detection of caspase 3 and PARP protein in AML peripheral blood cells. Data from five of 16 AML patients are depicted. The lane loaded with protein from peripheral blood cells from normal individuals is labeled “N.” Uncleaved (32 kD) and cleaved (17 kD) caspase 3 (A) and uncleaved (116 kD) and cleaved (85 kD) PARP (B) are depicted.
Interactive effect of uncleaved caspases 2 and 3 levels on survival.
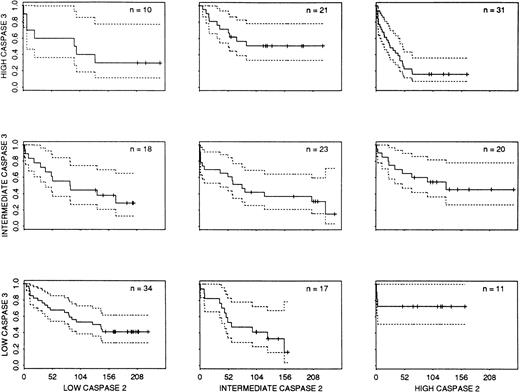
The 31 patients with high levels of both uncleaved caspase 2 and uncleaved caspase 3, represented by the Kaplan-Meier plot in the upper right corner of Fig 7, had significantly worse survival compared with the remaining 154 patients (P < .001). The small sample sizes for high caspase 2 and low caspase 3 levels (n = 11, lower right corner plot of Fig 7) and for low caspase 2 and high caspase 3 levels (n = 10, upper left corner plot of Fig 7) are an artifact of the joint distribution of these two variables and are reflected by the wide 95% confidence bands around these Kaplan-Meier plots. Similar results were obtained for EFS (P = .003; data not shown).
Interactive effects of caspase 2 and 3 levels on AML patient survival. The figure shows a matrix of Kaplan-Meier survival plots for the 3 × 3 = 9 patient subgroups, determined by caspase 2 level (low, intermediate, or high) and caspase 3 level (low, intermediate, or high). In each plot the abscissa depicts survival in weeks, and the ordinate depicts survival probability. The dotted lines in each plot represent 95% confidence bands.
Interactive effects of caspase 2 and 3 levels on AML patient survival. The figure shows a matrix of Kaplan-Meier survival plots for the 3 × 3 = 9 patient subgroups, determined by caspase 2 level (low, intermediate, or high) and caspase 3 level (low, intermediate, or high). In each plot the abscissa depicts survival in weeks, and the ordinate depicts survival probability. The dotted lines in each plot represent 95% confidence bands.
We also explored possible associations between the normalized levels of uncleaved caspase 2 and uncleaved caspase 3 and the presence of antecedent hematologic disorder (AHD), poor performance status, and complete remission and relapse rates. Among the 16 tests, a significant association was found between complete remission and low caspase 2 levels (P = .04) and between treatment failure rate and high caspase 3 levels (P = .046). A separate analysis indicated that a good EFS rate was associated with low levels of caspase 3 (P= .05) in all patients.
Caspase 2 and 3 as prognostic factors.
Given the strong interactive effect of the two caspases on survival (Fig 7) and EFS (data not shown), univariate analyses were performed to ascertain the importance of these caspases as prognostic factors while also accounting for the effect of other covariates. In addition to the normalized levels of uncleaved caspase 2 and 3 and the level of caspase 2 and 3 combined, the prognostic impact of other variables previously shown to be prognostic in AML were evaluated. Prognostic variables for poor survival that were significant in the univariate analysis were age >50 years, hemoglobin ≤7 g/dL, unfavorable cytogenetics, FAB categories 1 and 2, Zubrod performance status ≥3, AHD of >2 months duration, a high level of uncleaved caspase 3, and a high level of uncleaved caspase 2 and 3 combined. Ninety of the 185 patients (48.6%) were treated in laminar air-flow rooms, but this had no significant effect on survival (P = .13). The cutoffs for the continuous variables age, hemoglobin, and AHD were determined from an examination of preliminary martingale residual plots. Other variables evaluated, but that lacked prognostic significance, were gender, white blood cell count, platelet count, fibrinogen, serum bilirubin, and serum albumin.
A multivariate analysis using the Cox proportional-hazards model was performed with all variables that were prognostic in the univariate analysis. The final model included only age >50 years, unfavorable cytogenetics, and a high level of uncleaved caspases 2 and 3 combined. The fitted model is summarized in Table 2. The interactive term for the two caspases had the largest effect of the three variables, with an estimated relative risk of 2.49 (95% confidence interval, 1.59 to 3.90).
Multivariate Cox Model for Survival in 185 AML Patients
| Variable . | Estimated Coefficient . | Relative Risk . | Lower 95% Confidence Bound . | Upper 95% Confidence Bound . | P Value . |
|---|---|---|---|---|---|
| Age (>50 yr) | 0.0113 | 1.01 | 1.0 | 1.02 | .001 |
| Unfavorable cytogenetics | 0.7635 | 2.15 | 1.47 | 3.13 | <.001 |
| High caspase 2 and caspase 3 levels | 0.9126 | 2.49 | 1.59 | 3.90 | <.001 |
| Variable . | Estimated Coefficient . | Relative Risk . | Lower 95% Confidence Bound . | Upper 95% Confidence Bound . | P Value . |
|---|---|---|---|---|---|
| Age (>50 yr) | 0.0113 | 1.01 | 1.0 | 1.02 | .001 |
| Unfavorable cytogenetics | 0.7635 | 2.15 | 1.47 | 3.13 | <.001 |
| High caspase 2 and caspase 3 levels | 0.9126 | 2.49 | 1.59 | 3.90 | <.001 |
DISCUSSION
Because leukemia cells are believed to acquire a survival advantage and because caspases 2 and 3 mediate apoptotic cell death, we expected caspase levels to be low in AML. Conversely, we found that the levels of both uncleaved caspase 2 and uncleaved caspase 3 were higher in peripheral blood low-density cells of AML patients than in those of hematologically normal individuals, suggesting that the caspase pathway is dysregulated in AML. Because there was no association whatsoever between the percentage of blasts and either of the two caspase concentrations, we postulated that either various nonleukemic cells or AML blasts produce large amounts of caspase 2 and 3. Production of high levels of caspase 3 is not characteristic of normal myeloid blasts, as myeloid progenitors produce only low levels of this protease.37 Similarly, T lymphocytes, constituting most of the normal peripheral blood low-density cell population, are probably not the major source of these caspases because caspase levels in normal low-density cells were lower than those in AML. Furthermore, in seven of eight samples, high caspase 3 levels were found in the leukemic fraction, not in the T-cell fraction. Therefore, leukemia cells are probably the source of high caspase levels. The chromosomal localizations of the genes encoding these caspases18 do not appear to be involved in any of the cytogenetic abnormalities detected in our patients. Therefore, it is unlikely that these cytogenetic aberrations account for the high levels of either caspase 2 or caspase 3.
High levels of uncleaved caspase 3 were associated with decreased survival, particularly in patients with a good or intermediate prognosis. Furthermore, low levels of the unprocessed caspase 3 correlated with a better EFS. While signal transducers and activators of transcription might upregulate caspase expression in AML, as recently found in human fibroblasts,38 lack of caspase processing could increase the level of the uncleaved caspase form. To test this hypothesis, we measured the level of cleaved caspase 3 protein in 41 randomly selected AML samples and found that its high level indicated an increased survival rate. Although a relatively small cohort of patients was studied and the results were only marginally significant (P = .08), the data suggest that lack of cleavage and accumulation of the inactive caspase form may account for its high levels. A similar mechanism may account for the abnormally high levels of caspase 2.
Cleaved caspase 3 was detected in several AML samples, and in two of 16 cases a high level of cleaved caspase 3 was associated with PARP cleavage. This suggests that the processed form of caspase 3 may indeed cleave PARP and abrogate its ability to effect DNA repair,2-4 thus inducing apoptosis in AML. Because we used AML blood samples obtained at diagnosis, before the initiation of chemotherapy, it is likely that caspase activation was either triggered by the immune system or spontaneously. Our results, showing various degrees of caspase activation in several AML low-density cell samples, agree with those of Banker et al,39 who demonstrated, using a flow-cytometry–based assay, that diagnostic AML cells expressed variable degrees of apoptosis that overlapped the control apoptosis range of normal myeloid cells. Thus, the apoptotic cascade may be activated without exogenous intervention in AML, which may in turn indicate leukemia cell chemosensitivity, the ability of the immune system to eradicate leukemia cells, or both.
While the level of caspase 2 by itself had no prognostic significance, univariate analyses showed that expression of high levels of both uncleaved caspases characterized patients with very poor survival. Furthermore, a multivariate analysis using the Cox proportional-hazards model showed that high levels of both caspase 2 and 3 had the largest prognostic effect of all the variables analyzed, including cytogenetic abnormalities. Thus, caspase 2 is probably involved in the induction of apoptosis in AML, although it may be activated in a pathway independent of caspase 3, as previously suggested by Harvey et al.40The interactive effect of uncleaved caspase 2 and 3 levels on survival also suggests that caspase 2 is involved in the induction of apoptosis in AML and that more than one potential apoptotic pathway is not fully activated in AML.
Taken together, our data suggest that regardless of the upstream events that modulate the caspase pathways, caspase activation or its lack is a powerful independent predictor of survival in AML.
Supported in part by National Cancer Institute Grant No. PO1 CA 55164.
Address reprint requests to Zeev Estrov, MD, Department of Bioimmunotherapy, Box 302, The University of Texas M.D. Anderson Cancer Center, 1515 Holcombe Blvd, Houston, TX 77030.
The publication costs of this article were defrayed in part by page charge payment. This article must therefore be hereby marked "advertisement" is accordance with 18 U.S.C. section 1734 solely to indicate this fact.







This feature is available to Subscribers Only
Sign In or Create an Account Close Modal