Key Points
Therapeutic response in CLL can be influenced by host pharmacogenetics.
Abstract
Fludarabine plus cyclophosphamide (FC) is the chemotherapy backbone of modern chronic lymphocytic leukemia (CLL) treatment. CYP2B6 is a polymorphic cytochrome P450 isoform that converts cyclophosphamide to its active form. This study investigated the possible impact of genetic variation in CYP2B6 on response to FC chemotherapy in CLL. Available DNA samples from the LRF CLL4 trial, which compared chlorambucil, fludarabine, and FC, were screened by TaqMan real-time polymerase chain reaction assays for CYP2B6 SNPs c.516G>T and c.785A>G, which define the most common variant allele (*6). Among the 455 samples successfully genotyped, 265 (58.2%), 134 (29.5%), and 29 (6.4%) were classified as *1/*1, *1/*6, and *6/*6, respectively. Patients expressing at least one *6 allele were significantly less likely to achieve a complete response (CR) after FC (odds ratio 0.27; P = .004) but not chlorambucil or fludarabine. Analysis of individual response indicators confirmed that this inferior response resulted from impaired cytoreduction rather than delayed hemopoietic recovery. Multivariate analysis controlling for age, gender, stage, IGHV mutational status, 11q deletion, and TP53 deletion/mutation identified CYP2B6*6 and TP53 mutation/deletion as the only independent determinants of CR attainment after FC. Our study provides the first demonstration that host pharmacogenetics can influence therapeutic response in CLL. This trial is registered as an International Standard Randomised Control Trial, number NCT 58585610 at www.clinicaltrials.gov.
Introduction
Chronic lymphocytic leukemia (CLL) is the most common form of leukemia in Western countries and typically affects older adults.1 It is a malignancy of mature, anergic B cells that accumulate in the blood, bone marrow, and secondary lymphoid organs.2 Although the majority of patients respond to initial therapy, the disease is incurable and runs a clinical course characterized by repeated recurrences culminating in drug resistance.2,3 Growth kinetics, response to therapy, and propensity for disease acceleration and transformation vary considerably between individual patients, and a large number of biological variables have been identified that correlate with adverse outcomes. These include advanced age, male gender, advanced stage, germline configuration of the immunoglobulin heavy-chain gene (IGHV), mutation or deletion of TP53, and deletion of chromosome 11q.3 TP53 defects are strongly associated with chemo-resistance but affect only a minority of previously untreated patients.4,5 Consequently, chemotherapy remains the backbone of modern frontline therapy for most patients.
The 2 main classes of chemotherapy drugs used for CLL treatment are alkylating agents such as chlorambucil and cyclophosphamide and purine analogs such as fludarabine. Chlorambucil was developed in the 1950s by adding an aryl group to the nitrogen mustard bis(-2-chloroethyl)amine.6 The addition of alternative active moieties onto the same base molecule led to the development of other alkylating agents including cyclosphosphamide.7 Fludarabine phosphate is the 2-fluoro, 5′-monophosphate derivative of vidarabine (ara-A). It is resistant to deamination by adenosine deaminase (ADA) and is converted to its toxic triphosphate form by deoxycytidine kinase, which is highly expressed in lymphoid cells.8 Clinical trials of frontline CLL therapy have shown that fludarabine in combination with cyclophosphamide (FC) is superior to fludarabine or chlorambucil alone.9-11 Consequently, FC has emerged as the chemotherapy backbone of modern CLL treatment.12
Although FC is active in the majority of previously untreated patients with CLL, the complete response (CR) rate is only 23% to 38%,9-11 implying a degree of therapy resistance in a significant proportion of patients. Although it is clear that the efficacy of FC is influenced by disease-related factors such as TP53 mutation/deletion, such factors do not account for all patients who fail to achieve a CR. It is therefore relevant to consider other variables that might affect the pharmacokinetics or pharmacodynamics of the FC drug combination.
Cyclophosphamide (CPA) is a pro-drug that requires activation to its active metabolite, 4-hydroxycyclophosphamide (4OH-CPA), to exert its cytotoxic effects. 4OH-CPA readily diffuses into cells, is very unstable, and spontaneously decomposes into the alkylating agent phosphoramide mustard.13 Among the several enzymes that are thought to convert CPA to 4OH-CPA, one of the most important is the cytochrome P450 isoform CYP2B6, which is expressed mainly in the liver.14,15 CYP2B6 is highly polymorphic, with >100 known single nucleotide polymorphisms (SNPs) currently identified in humans (www.cypalleles.ki.se/cyp2b6.htm). CYP2B6 SNPs have distinct ethnic frequencies16-18 and some have been linked to alterations in CYP2B6 expression and function.18,19 There is some circumstantial evidence to suggest that CYP2B6 SNPs might be clinically important. For example, they have been implicated as possible determinants of treatment outcome in patients receiving CPA for lymphoma and breast cancer20 or as myeloablative conditioning before hematopoietic stem cell transplantation,21 although definitive evidence is lacking.
Given the potential for functional interaction between individual SNPs, it is more meaningful to consider genetic variants of CYP2B6 in terms of its 37 known alleles (www.cypalleles.ki.se/cyp2b6.htm). Most of these alleles are rare but one (*6) is particularly common, with a frequency ranging from approximately 25% in Caucasians to 60% in Asian populations.17 CYP2B6*6 is characterized by the presence of 2 SNPs, c.516G>T in exon 4 (Q172H; rs3745274) and c.785A>G in exon 5 (K262R; rs2279343), and displays altered expression and function compared with the *1 wild-type (WT) allele. Specifically, *6 carriers express significantly reduced levels of CYP2B6 mRNA and protein.22-24 On the other hand, most reports have shown that the *6 allele is associated with a higher rate of CPA 4-hydroxylation.20,24,25 The overall effect of CYP2B6*6 expression on the pharmacokinetics and therapeutic efficacy/toxicity of CPA is therefore difficult to predict and would depend on whether the dominant effect is reduced enzyme expression or increased specific enzyme activity.
In light of these considerations, we sought to investigate the effect of CYP2B6*6 expression on the efficacy and toxicity of FC chemotherapy in CLL. To do this, we determined the CYP2B6 status of DNA samples linked to the phase 3 LRF CLL4 trial investigating FC, fludarabine, and chlorambucil and compared treatment outcomes in patients with *1/*1 (WT) vs *1/*6 or *6/*6 genotypes.
Materials and methods
Leukaemia Research Fund (LRF) CLL4 trial
The LRF CLL4 trial recruited 777 patients between February 1999 and October 2004. Patients were randomly assigned to receive chlorambucil, fludarabine alone, or FC at a ratio of 2:1:1. Written informed consent was obtained from all patients according to the Declaration of Helsinki, and the study was registered as an International Standard Randomized Control Trial (number NCT 58585610). Further details of the trial and associated biomarker studies have been published elsewhere.4,9,26-31
Samples
This study was carried out with the approval of the Regional Ethics Committee Liverpool Central (Northwest 2). Cases were selected for study solely on the basis of sample availability. Genomic DNA samples were available for 489 patients. Because of the small quantity of DNA available in some cases, 210 samples were subjected to whole-genome amplification (WGA) before genotyping using the Illustra GenomiPhil V2 amplification kit (GE Health Care, Buckinghamshire, UK).
CYP2B6 genotyping
The CYP2B6 c.516G>T polymorphism (rs3745274) was genotyped using a commercially available TaqMan real-time polymerase chain reaction (PCR) SNP genotyping assay (Applied Biosystems, Carlsbad, CA). For the CYP2B6 c.785A>G polymorphism (rs2279343) a TaqMan “Assay-by-Design” SNP genotyping assay was used. The assays were designed to specifically detect the CYP2B6 gene without amplification of its homologous pseudogene CYP2B7. The assay included 20 ng of DNA per reaction and 1× Genotyping master mix (Applied Biosystems). For genotyping of c.516G>T in the WGA samples, template DNA (20 ng) was preamplified at CYP2B6 exon 4 using the following sequence-specific primers: F (5′-GGTCTGCCCATCTATAAAC-3′) and R (5′-CTGATTCTTCACATGTCTGCG-3′) using an annealing temperature of 58°C for 45 cycles. For genotyping of c.785A>G in the WGA samples, template DNA (20 ng) was preamplified at CYP2B6 exon 5 using an annealing temperature of 62°C for 45 cycles with sequence-specific primers: F (5′-GTTCCCATGGAGGGATTGGG-3′) and R (5′-CTCTACACATCCAACCGCGTA-3′). One microliter (1 μL) of PCR product was carried forward to the subsequent genotyping reaction. Genotyping of 75 WGA samples with or without preamplification gave identical results for both SNPs. Thermo-cycling and subsequent genotype calling was performed according to the manufacturer’s protocol using an ABI 7900HT real-time PCR system (Applied Biosystems). Reproducibility of the genotyping results was found to be 100% in the 10% of samples that were tested in duplicate. Details of assay validation and quality control can be found in the product manual (http://tools.lifetechnologies.com/content/sfs/manuals/cms_042798.pdf).
Statistical analysis
All statistical analyses were carried out using SAS (v9.2) on an intention-to-treat basis. Categorical data were summarized using frequency counts and tested using the χ2 or Fisher exact test. Continuous data were summarized using means, standard deviations, medians, and ranges as appropriate. Overall survival (OS) was measured from the date of randomization to the date of death from any cause. Progression-free survival (PFS) was measured from the date of randomization to the date of relapse needing further treatment, progression, or death from any cause. Patients who remained alive were censored at the date last seen alive. OS and PFS estimates were calculated using the Kaplan-Meier method and compared using the unweighted Mantel-Haenszel version of the log-rank test. Logistic regression was used to calculate odds ratios (ORs), together with 95% confidence intervals (CIs). Exact logistic regression was used when low numbers of events were observed within a factor. A 2-sided significance level of P < .05 was used throughout.
Results
Selection of the study cohort
Informative CYP2B6 SNP data were obtained from 455 (93.0%) of the 489 samples analyzed. As expected, there was a high level of linkage disequilibrium (LD) between SNPs c.516G>T and c.785A>G (r2 = 0.96). Two-hundred sixty-five samples were classified as *1/*1 (WT) homozygotes, 134 samples as *1/*6 heterozygotes, and 29 samples as *6/*6 homozygotes. The remaining 27 samples harbored other CYP2B6 alleles and were excluded from further analysis, owing to the difficulty of interpreting the significance of results obtained in a small, undefined subgroup. The cohort of 428 patients with the *1/*1, *1/*6, or *6/*6 genotypes was selected for further investigation (Figure 1).
Comparison of the CYP2B6 study cohort with the CLL4 trial cohort
The cohort of 428 patients selected for the CYP2B6 study was first compared with the remaining CLL4 trial patients (n = 349) to establish whether it was representative. No differences between the 2 cohorts were observed in age, gender, stage, TP53 deletion/mutation, 11q–, +12, 13q–, or IGHV mutation status (supplemental Table 1). Furthermore, the PFS/OS and differential effectiveness of Chl, F, and FC in the CYP2B6 cohort was very similar to that in the overall trial cohort (supplemental Figure 1). Specifically, FC was associated with a superior PFS compared with F or Chl, with no differences observed in OS.9 Together these observations indicate that the cohort of 428 patients selected for the CYP2B6 study was indeed representative.
CYP2B6*6 and *1/*1 subgroups are similar in terms of baseline characteristics and treatment exposure
For the purposes of further analyses, the 29 *1/*6 cases and 134 *6/*6 cases were grouped together to maximize statistical power. First, we sought to establish that *1/*1 and *6 cases were similar in terms of baseline characteristics. No differences were observed in age, gender, stage, TP53 deletion/mutation, 11q–, +12, 13q–, or IGHV mutation status (Table 1). Furthermore, no significant differences were observed between *1/*1 and *6 patients in the number of treatment cycles administered in any of the treatment arms (supplemental Table 2).
Comparison of CYP2B6 *6 and *1/*1 patients for baseline features
| . | *1/*1 patients (n = 265) . | *1/*6 & *6/*6 patients (n = 163) . | P value . |
|---|---|---|---|
| Age median, y (range) | 64 (42-83) | 65 (42-85) | .712 |
| Sex (M:F) | 2.8:1 | 2.5:1 | .683 |
| Stage A | 67 (25%) | 35 (21%) | .658 |
| Stage B | 121 (46%) | 77 (47%) | |
| Stage C | 77 (29%) | 51 (31%) | |
| TP53 mutation or deletion | 19/242 (8%) | 11/151 (7%) | .837 |
| 11q– | 48/242 (20%) | 31/154 (20%) | .943 |
| +12 | 24/242 (10%) | 20/154 (13%) | .343 |
| 13q– | 97/242 (40%) | 64/154 (42%) | .771 |
| Unmutated IGHV | 134/225 (60%) | 83/138 (60%) | .912 |
| . | *1/*1 patients (n = 265) . | *1/*6 & *6/*6 patients (n = 163) . | P value . |
|---|---|---|---|
| Age median, y (range) | 64 (42-83) | 65 (42-85) | .712 |
| Sex (M:F) | 2.8:1 | 2.5:1 | .683 |
| Stage A | 67 (25%) | 35 (21%) | .658 |
| Stage B | 121 (46%) | 77 (47%) | |
| Stage C | 77 (29%) | 51 (31%) | |
| TP53 mutation or deletion | 19/242 (8%) | 11/151 (7%) | .837 |
| 11q– | 48/242 (20%) | 31/154 (20%) | .943 |
| +12 | 24/242 (10%) | 20/154 (13%) | .343 |
| 13q– | 97/242 (40%) | 64/154 (42%) | .771 |
| Unmutated IGHV | 134/225 (60%) | 83/138 (60%) | .912 |
CYP2B6*6 is associated with inferior efficacy of FC but not F or Chl
We next compared *1/*1 and *6 patients for response within each arm of the trial. As expected, expression of the *6 allele had no effect on response to Chl or F. However, FC-treated *6 patients were significantly less likely to achieve a CR compared with FC-treated *1/*1 patients (OR, 0.27; P = .004) (Figure 2 and supplemental Table 3). The association between the *6 allele and inferior response to FC was maintained even when the definition of treatment success was relaxed to include CR or nodular partial response (nPR) (OR, 0.35; P = .017). Furthermore, there was a trend toward shorter PFS in FC-treated *6 patients (P = .056; supplemental Figure 2).
Effect of CYP2B6*6 on response in each treatment arm. Within each treatment arm, *6 and *1/*1 patients were compared for response using the Wald χ2 test. Response was defined in 3 ways: CR; CR or nPR; and CR, nPR, or partial response (PR). FC-treated CYP2B6*6 patients were less likely to achieve a CR (P = .004; OR, 0.27) or CR/nPR (P = .017; OR, 0.35). In contrast, response to Chl or F alone was not influenced by CYP2B6 status.
Effect of CYP2B6*6 on response in each treatment arm. Within each treatment arm, *6 and *1/*1 patients were compared for response using the Wald χ2 test. Response was defined in 3 ways: CR; CR or nPR; and CR, nPR, or partial response (PR). FC-treated CYP2B6*6 patients were less likely to achieve a CR (P = .004; OR, 0.27) or CR/nPR (P = .017; OR, 0.35). In contrast, response to Chl or F alone was not influenced by CYP2B6 status.
Inferior response to FC associated with CYP2B6*6 reflects reduced antileukemia activity rather than delayed hematologic recovery
The criteria for defining CR include recovery of hemopoietic function.32,33 It is therefore possible that the lower CR rates observed among FC-treated patients expressing CYP2B6*6 might actually reflect increased hematologic toxicity rather than inferior cytoreduction. To investigate this possibility, FC-treated *1/*1 and *6 patients were compared for individual response indicators (Table 2). This comparison showed that *6 patients had higher posttreatment lymphocyte counts (P = .002), more residual lymphadenopathy (P = .036), and higher posttreatment platelet counts (P = .037). Taken together, these findings confirm that the lower CR rate associated with the *6 allele after FC treatment reflects inferior cytoreduction rather than delayed hemopoietic recovery as a result of treatment toxicity.
Comparison of CYP2B6*6 and *1/*1 patients for specific posttreatment response indicators (means/frequencies) after FC
| . | *1/*1 . | *1/*6 and *6/*6 . | P value . |
|---|---|---|---|
| Hb (g/dL) | 12.6 | 13.1 | .302 |
| Platelets (× 109/L) | 122 | 148 | .037 |
| WBCs (× 109/L) | 3.8 | 4.2 | .001 |
| Lymphocytes (%) | 14.9 | 22.0 | .002 |
| Absolute lymphocytes (× 109/L) | 0.6 | 0.9 | .063 |
| Neutrophils (%) | 62 | 55.9 | .249 |
| Absolute neutrophils (× 109/L) | 2.0 | 2.3 | .224 |
| Lymph node enlargement | 8/72 (11.1%) | 11/40 (27.5%) | .036 |
| Liver enlargement | 11/71 (15.5%) | 2/39 (5.1%) | .132 |
| Spleen enlargement | 1/71 (1.4%) | 1/40 (2.5%) | > .999 |
| . | *1/*1 . | *1/*6 and *6/*6 . | P value . |
|---|---|---|---|
| Hb (g/dL) | 12.6 | 13.1 | .302 |
| Platelets (× 109/L) | 122 | 148 | .037 |
| WBCs (× 109/L) | 3.8 | 4.2 | .001 |
| Lymphocytes (%) | 14.9 | 22.0 | .002 |
| Absolute lymphocytes (× 109/L) | 0.6 | 0.9 | .063 |
| Neutrophils (%) | 62 | 55.9 | .249 |
| Absolute neutrophils (× 109/L) | 2.0 | 2.3 | .224 |
| Lymph node enlargement | 8/72 (11.1%) | 11/40 (27.5%) | .036 |
| Liver enlargement | 11/71 (15.5%) | 2/39 (5.1%) | .132 |
| Spleen enlargement | 1/71 (1.4%) | 1/40 (2.5%) | > .999 |
Hb, hemoglobin; WBC, white blood cells.
CYP2B6*6 and TP53 deletion/mutation are independent determinants of inferior response to FC
To investigate the importance of CYP2B6*6 as a determinant of inferior response to FC relative to other biological variables, a multivariate Cox proportional hazard analysis was carried out, controlling for age, gender, stage, IGHV mutational status, 11q deletion, and TP53 deletion and/or mutation. The only variables that were independently associated with nonattainment of CR after FC were TP53 deletion/mutation (OR, 0.11; P = .023) and CYP2B6 allelotype (OR, 0.37; P = .039) (Table 3).
Univariate and multivariate analyses of variables associated with achievement of CR after FC
| Variables . | Univariate analysis (UA) . | Multivariate analysis (1) . | Multivariate analysis (2) . | ||||||
|---|---|---|---|---|---|---|---|---|---|
| OR . | 95% CI . | P value . | OR . | 95% CI . | P value . | OR . | 95% CI . | P value . | |
| CYP2B6 (*6 vs *1/*1) | 0.27 | 0.11-0.94 | .003 | 0.28 | 0.10-0.85 | .025 | 0.37 | 0.15-0.95 | .039 |
| Age, y (>64 vs ≤64) | 0.69 | 0.32-1.50 | .346 | 1.02 | 0.40-2.64 | .964 | |||
| Gender (M vs F) | 1.17 | 0.44-3.24 | .921 | 1.18 | 0.40-3.51 | .765 | |||
| Stage (B+C vs A) | 1.22 | 0.48-3.11 | .670 | 1.15 | 0.37-3.61 | .812 | |||
| IGHV (UM vs M) | 0.55 | 0.24-1.27 | .161 | 0.92 | 0.35-2.41 | .867 | |||
| 11q (del vs WT) | 0.87 | 0.32-2.33 | .775 | 0.87 | 0.29-2.63 | .803 | |||
| TP53 (del/mut vs WT) | 0.10 | 0.00-0.66 | .013 | 0.16 | 0.00-1.22 | .080 | 0.11 | 0.00-0.77 | .023 |
| Variables . | Univariate analysis (UA) . | Multivariate analysis (1) . | Multivariate analysis (2) . | ||||||
|---|---|---|---|---|---|---|---|---|---|
| OR . | 95% CI . | P value . | OR . | 95% CI . | P value . | OR . | 95% CI . | P value . | |
| CYP2B6 (*6 vs *1/*1) | 0.27 | 0.11-0.94 | .003 | 0.28 | 0.10-0.85 | .025 | 0.37 | 0.15-0.95 | .039 |
| Age, y (>64 vs ≤64) | 0.69 | 0.32-1.50 | .346 | 1.02 | 0.40-2.64 | .964 | |||
| Gender (M vs F) | 1.17 | 0.44-3.24 | .921 | 1.18 | 0.40-3.51 | .765 | |||
| Stage (B+C vs A) | 1.22 | 0.48-3.11 | .670 | 1.15 | 0.37-3.61 | .812 | |||
| IGHV (UM vs M) | 0.55 | 0.24-1.27 | .161 | 0.92 | 0.35-2.41 | .867 | |||
| 11q (del vs WT) | 0.87 | 0.32-2.33 | .775 | 0.87 | 0.29-2.63 | .803 | |||
| TP53 (del/mut vs WT) | 0.10 | 0.00-0.66 | .013 | 0.16 | 0.00-1.22 | .080 | 0.11 | 0.00-0.77 | .023 |
UM, unmutated; M, mutated.
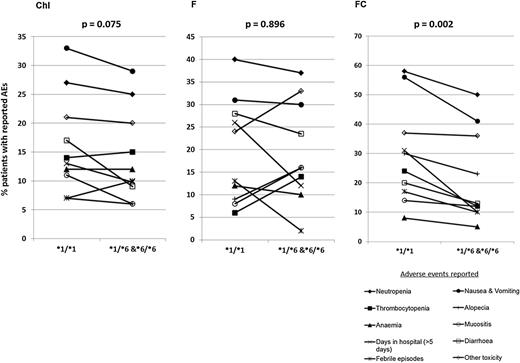
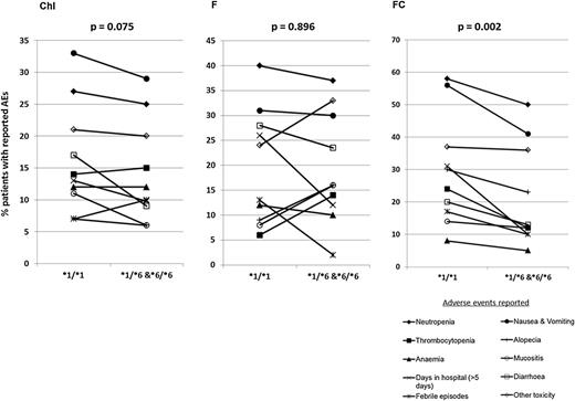
CYP2B6*6 is associated with fewer FC-related adverse events
Because the analysis of individual response indicators suggested that expression of CYP2B6*6 was associated with less hemopoietic suppression after FC treatment (Table 2), it was of interest to establish whether this effect extended to treatment toxicity captured in the form of reported adverse events (AEs). To address this question, *1/*1 and *6 patients were compared for the frequency of 9 specific AEs that reflect the toxicity profile of alkylating agents and purine analogs: neutropenia, thrombocytopenia, anemia, days in hospital, febrile episodes, nausea and vomiting, alopecia, mucositis, and diarrhea. Other reported AEs were grouped together into a tenth category. After FC treatment, *6 patients had fewer AEs in 9 of 10 categories (Figure 3 and supplemental Table 4). Although the only individual AE that occurred significantly less frequently in *6 patients was time spent in the hospital (P = .012), collective analysis of all 10 AE categories showed a highly significant association between CYP2B6*6 and reduced toxicity (P = .002). In contrast, collective analysis of all 10 AE categories in patients treated with Chl or F alone showed no such association. Overall, therefore, our findings indicate that CYP2B6*6 is associated with reduced toxicity after FC but not Chl or F alone.
Effect of CYP2B6*6 on reported AEs. Within each treatment arm, *6 and *1/*1 patients were compared for the reported frequency of 9 specific AEs selected to represent the main toxicities of alkylating agents and purine analogs. Other AEs were grouped together into a tenth category. Collective analysis of all 10 AE categories using the paired Student t test showed a highly significant association between CYP2B6*6 and reduced toxicity after treatment with FC (P = .002). In contrast, no such association was seen in patients treated with Chl or F alone.
Effect of CYP2B6*6 on reported AEs. Within each treatment arm, *6 and *1/*1 patients were compared for the reported frequency of 9 specific AEs selected to represent the main toxicities of alkylating agents and purine analogs. Other AEs were grouped together into a tenth category. Collective analysis of all 10 AE categories using the paired Student t test showed a highly significant association between CYP2B6*6 and reduced toxicity after treatment with FC (P = .002). In contrast, no such association was seen in patients treated with Chl or F alone.
Discussion
There has been much recent interest in biological variables in CLL that correlate with disease progression and survival (prognostic factors). In contrast, relatively little emphasis has been placed on biological variables that can predict the cytoreductive effects of specific drugs and drug combinations in individual patients (predictive biomarkers). This is an important gap in our knowledge because predictive biomarkers are the cornerstone of stratified and personalized medicine. Our study has attempted to address this knowledge gap by investigating genetic variation in CYP2B6 as a possible determinant of therapeutic response to FC chemotherapy in CLL. By showing that the *6 allele was associated with a significantly lower CR rate, this study is the first to demonstrate the impact of host pharmacogenetics on treatment outcome in CLL and the first to implicate a biological variable other than TP53 mutation/deletion as a predictive biomarker for response to FC.
We chose to examine CYP2B6 owing to its high degree of polymorphism,18,19 coupled with its established function in the activation of CPA,14,15 which forms part of the chemotherapy backbone of modern CLL therapy.7-9 We focused on the CYP2B6*6 variant allele owing to its high frequency17 and its established impact on CYP2B6 expression and function.20,22-25 The LRF CLL4 trial provided a large, uniform cohort of patient samples annotated with baseline information and reliable, mature clinical outcome data.9 The trial included not only patients treated with FC but also cohorts treated with Chl and F alone, which served as control populations. The TaqMan real-time PCR assays to analyze the SNPs that defined the *1 and *6 alleles were fully validated, straightforward to perform, and informative in the great majority of cases.
The observed frequency of the *6 allele (163/455 = 36%) was as expected in a predominantly white population, as was the frequency of *6 homozygotes (29/455 = 6%).17 After excluding patients deduced to have CYP2B6 alleles other than *1 and *6, much effort was taken to confirm that the remaining cohort of 428 patients was representative of the overall CLL4 trial cohort, and that there were no significant differences between *1/*1 and *6 patients in terms of other baseline features and treatment exposure.
As expected, no significant differences in response to Chl or F were observed between *1/*1 vs *6 patients. However, a nonsignificant trend toward inferior response was evident among *6 patients treated with F monotherapy (Figure 2). The most likely explanation for this observation is that these patients tended to receive fewer cycles of treatment (supplemental Table 2).
The most striking finding in this study was the association between CYP2B6*6 and inferior response to FC treatment. This association was most evident when treatment success was defined as attainment of CR, but it was also apparent when the criteria were relaxed to include nodular PR.32 Care was taken to ensure that this effect was genuine and did not merely reflect delayed hemopoietic recovery. The higher residual tumor burden (lymphadenopathy and lymphocytosis) and posttreatment platelet counts observed in *6 patients excluded this possibility. Multivariate analysis taking into account age, gender, stage, IGHV mutation status, 11q deletion, and TP53 mutation/deletion showed that CYP2B6*6 is an independent determinant of response to FC and second only to TP53 mutation/deletion in terms of its predictive value. Further evidence of the impact of CYP2B6*6 on FC treatment outcome was provided by the demonstration that *6 patients had fewer treatment-related AEs. Together, these observations strongly suggest that the CYP2B6*6 allele has a negative impact on the conversion of CPA to its active form, resulting in reduced efficacy and toxicity. This conclusion has 2 important implications. First, it suggests that the negative effect of the *6 allele on CYP2B6 expression24-26 is dominant over its positive effect on specific enzyme activity.20,24,25 Second, it implies that the dose of CPA used in the FC combination is a critical determinant of the regimen’s efficacy and toxicity.
It is of interest that the impact of CYP2B6 on PFS after FC was less striking than its effect on response. Such a differential effect on short-term vs long-term outcome measures is similar to that observed with treatment allocation9-11 and likely reflects the fact that in both cases the response determinants relate to drug action and exert their effect only during the treatment period. In contrast, disease-related response determinants such as TP53 defects affect not only drug action but also ongoing biological processes (eg, tumor proliferation and DNA repair) that are operational beyond the treatment period.4,5,31,34
In conclusion, our study has identified CYP2B6*6 as an independent determinant of inferior response to FC chemotherapy in CLL, and in doing so it provides the first demonstration that host pharmacogenetics can have a significant effect on treatment efficacy and toxicity in this setting. Further investigation is clearly warranted regarding the impact of CYP2B6*6 on CPA-containing regimens in others contexts.
Presented previously orally at the British Society of Haematology annual conference, Liverpool, UK, April 2013, and as a poster presentation, 12-iCML, Lugano, Switzerland, June 2013.
The online version of this article contains a data supplement.
There is an Inside Blood commentary on this article in this issue.
The publication costs of this article were defrayed in part by page charge payment. Therefore, and solely to indicate this fact, this article is hereby marked “advertisement” in accordance with 18 USC section 1734.
Acknowledgments
This work was supported by Cancer Research UK.
Authorship
Contribution: G.G.J., D.F.C., R.E., and L.-J.G. performed the experimental work; G.G.J., A.R.P., and D.R.S. designed the study; G.G.J., D.R.S., B.L., D.F.C., and M.P. designed the experimental approaches and assays; K.L. and T.F.C. conducted the statistical analysis; M.O., J.C.S., D.G.O., D.G.d.C., M.E., and D.C. contributed patient samples and data; G.G.J. and A.R.P. wrote the manuscript; and all authors critically reviewed the final paper.
Conflict-of-interest disclosure: The authors declare no competing financial interests.
Correspondence: Andrew R. Pettitt, Institute of Translational Medicine, Department of Molecular & Clinical Cancer Medicine, University of Liverpool, Level 6 Duncan Building, Daulby Street, Liverpool, L69 3GA, UK; e-mail: arp@liverpool.ac.uk.



This feature is available to Subscribers Only
Sign In or Create an Account Close Modal