High doses of recombinant human erythropoietin (rhEpo) are required for the treatment of chronic anemia. Thus, it is clear that therapy for chronic anemia would greatly benefit from an erythropoietin derivative with increased erythropoietic activity rather than the native endogenous hormone. In this report, the activity of a human Epo-Epo dimer protein, obtained by recombinant technology, is described and compared with its Epo monomer counterpart produced under identical conditions. Although monomer Epo and dimer Epo-Epo had similar pharmacokinetics in normal mice, the increase in hematocrit value was greater with the dimer than with the monomer. Moreover, in clonogenic assays using CD34+ human hematopoietic cells, the human dimer induced a 3- to 4-fold-greater proliferation of erythroid cells than the monomer. Controlled secretion of dimeric erythropoietin was achieved in β-thalassemic mice by in vivo intramuscular electrotransfer of a mouse Epo-Epo plasmid containing the tetO element and of a plasmid encoding the tetracycline controlled transactivator tTA. Administration of tetracycline completely inhibited the expression of the mEpo dimer. On tetracycline withdrawal, expression of the Epo-Epo dimer resumed, thereby resulting in a large and sustained hematocrit increase in β-thalassemic mice. No immunologic response against the dimer was apparent in mice because the duration of the hematocrit increase was similar to that observed with the monomeric form of mouse erythropoietin.
Introduction
Erythropoietin (Epo) is a 34-kd glycoprotein produced mainly by kidney paratubular cells in response to reduced oxygen delivery.1,2 Epo stimulates erythroid progenitor cell proliferation, differentiation, and maturation, and it inhibits cell apoptosis, which results in increased erythrocyte production.3-5 The recombinant human erythropoietin (rhEpo) hormone is widely used to compensate for the reduced production of endogenous Epo in renal failure and to correct the associated anemia. Administration of rhEpo alleviates the necessity for blood transfusion and greatly improves the quality of life for patients.6-8 Clinical studies have shown that rhEpo can also be effective in the treatment of other chronic anemias,9 especially when endogenous Epo levels are inappropriately low. When injected into β-thalassemic mice, rhEpo has been shown to restore balanced globin chain synthesis and to improve the erythrocyte phenotype.10 In patients with β-thalassemia, serum Epo levels are often lower than expected,11 and injections of high doses of rhEpo have been shown to increase blood hemoglobin levels and occasionally to alleviate the need for transfusion.12-15
Although high doses of Epo may be beneficial for patients with β-thalassemia, the cost of such a treatment prevents its use in long-term controlled therapeutic trials and in routine clinical practice. Consequently, various strategies have been pursued to increase the yield of Epo produced by gene transfer and to enhance its intrinsic activity. For instance, codon optimization of the Epo DNA sequence resulted in greater protein production.16 In another strategy, the purification of rhEpo bearing an elevated number (up to 14) of sialic acid residues led to a 3-fold enhancement of its in vivo half-life.17
Epo mimetic peptides18 are small and relatively easy to produce in large quantity, but their activity is still very low compared with that of native Epo.19 It was found that the dimerization of 2 Epo mimetic peptides strongly increased their activity, though it remained inferior to that of native Epo.20,21 The association of 2 Epo molecules obtained by either chemical cross-linking or recombinant DNA-mediated fusion of coding regions resulted in a more stable protein than the native monomer with an increased in vivo life span.22 23
Based on evidence that the bridging of 2 adjacent Epo receptors triggers a conformational change that initiates signal transduction24,25 and that high- and low-affinity sites for the Epo receptor are present on Epo,26-28 we hypothesized that the fusing of 2 Epo molecules might confer an increase in intrinsic activity by providing 2 closely associated high-affinity domains.
In this study, we report the design and characterization of a recombinant fusion protein made of 2 human Epo molecules linked by a peptide linker of 9 amino acids. We show that this dimer has enhanced erythropoietic activity, both in vitro on primary human erythroid progenitors and in vivo in normal mouse compared with its monomer counterpart.
Materials and methods
The following oligonucleotides were from Genset (Paris, France): Epo1, 5′-CCTCTAGAGTCGAGCTCGACGG-3′; Epo2, 5′-CGGGATCCCCTGTCCCCTCTCCTGCAT-3′; Epo3, 5′-AACGGGCGCCGCTCCCCCACGCCTCATG-3′; Epo4, 5′-CGGAATTCAGCGCTTCGTACC-3′; Epo6, 5′-CGGGATCCTCTGTCCCCTGTCCTGCA-3′; Epo7, 5′-CGGAATTCTGGACACACCTGGTCATC-3′; Epo8, 5′-CGGAATTCGAGATGGGGGTGCACGAATG-3′; and Epo9, 5′-CATGCACGTGTCTGTCCCCTGTCCTGCAGG-3′.
Dimeric and monomeric mouse erythropoietin-expressing plasmids
The N-terminal Epo domain of the mouse Epo dimer-encoding construct was amplified by polymerase chain reaction (PCR) from a plasmid containing the mouse Epo cDNA29 with primers Epo1 and Epo2. With the exception of the stop codon, this domain contains the complete erythropoietin open-reading frame. The C-terminal Epo domain was prepared using primers Epo3 and Epo4. It contains the complete open-reading frame except the signal sequence. A plasmid was constructed by ligation of the peptide linker fragment encoding 9 amino acid residues (Figure 1) into theBamHI- and EcoRI-digested BS-KS II+ phagemid (Stratagene, Saint-Quentin en Yvelines, France). After the insertion of the mEpo N-terminal fragment between the XbaI andBamHI sites of this plasmid, the C-terminal fragment was introduced at the NarI and EcoRI sites, giving the pBS-mEpoD plasmid. Epo sequences were verified by sequencing and were found to be in agreement with the expected sequence. The final construct, ptet-mEpoD, was obtained by subcloning theClaI-HindIII mEpoD fragment from pBS-mEpoD in the ptet-splice plasmid (Gibco, Cergy Pontoise, France). This plasmid encodes the mouse Epo dimer under the control of the tetO promoter.30 The ptet-mEpoM plasmid (encoding the mouse erythropoietin native molecule) was obtained by removing the internalBsrGI fragment from ptet-mEpoD.
The linker fragment used to bridge Epo encodes a peptide of 9 residues.
When annealed, the 2 oligonucleotides shown in this figure present protruding BamHI and EcoRI extremities. On translation of the mouse or human Epo dimers, they lead to the production of the peptide sequence indicated at the top.
The linker fragment used to bridge Epo encodes a peptide of 9 residues.
When annealed, the 2 oligonucleotides shown in this figure present protruding BamHI and EcoRI extremities. On translation of the mouse or human Epo dimers, they lead to the production of the peptide sequence indicated at the top.
Dimeric and monomeric human erythropoietin-expressing plasmids
The human Epo cDNA was introduced into the BamHI site of a retroviral vector, as described for the mouse Epo cDNA.29 The BamHI-digested and -blunted human Epo cDNA was purified from this vector and inserted into theEcoRV site of ptet-splice (Gibco). The resultant ptet-hEpoM plasmid encodes the human Epo monomer under the control of the tetO promoter.30 The N-terminal Epo domain of the human Epo dimer-encoding construct was amplified by PCR from ptet-hEpoM with synthetic oligodeoxynucleotides Epo1 and Epo6. With the exception of the stop codon, this domain contains the complete human erythropoietin open-reading frame. The C-terminal fragment was prepared using primers Epo3 and Epo7. This fragment contains the complete open-reading frame except the signal sequence. After insertion of the hEpo N-terminal fragment between the XbaI and BamHI sites of the plasmid containing the peptide linker fragment (see above), the C-terminal fragment was introduced between the NarI andEcoRI sites, leading to the pBS-hEpoD plasmid. Epo sequences were verified by sequencing. The final construct, ptet-hEpoD (encoding the human dimeric molecule under the control of the tetO promoter30), was obtained by cloning the SalI hEpoD fragment from pBS-hEpoD into the SalI site of the ptet-splice plasmid.
Polymerase chain reactions were performed on 100 ng template with 300 nM primers, 200 μM each dNTP, 5% formamide, 1.5 mM MgCl2, and 1 U Expand high-fidelity PCR enzyme mix (Roche Diagnostics, Meylan, France) for 30 cycles of 30-second denaturation at 94°C, 30-second annealing at 50°C, and 60-second extension at 72°C.
Hemagglutinin tag-containing constructs
Human Epo monomer (hEpoM)- and dimer (hEpoD)-encoding cDNAs were amplified by PCR from ptet-hEpoD with primers Epo8 and Epo9. AfterEcoRI and PmlI digestion of the purified PCR products, both fragments were introduced into the mammalian epitope tag expression vector pMH (Roche Diagnostics), in-frame with a C-terminal hemagglutinin (HA) tag-encoding sequence, giving pMHhEpoM-HA and pMHhEpoD-HA plasmids.
Polymerase chain reactions were performed on 100 ng template, with 300 nM primers, 200 μM each dNTP, 1.5 mM MgCl2, and 1 U Expand high-fidelity PCR enzyme mix (Roche Diagnostics) for 30 cycles of 30-second denaturation at 94°C, 30-second annealing at 55°C, and 90-second extension at 72°C.
Erythropoietin-derived proteins
Murine C2C12 myoblasts were derived from the skeletal leg muscle of an adult C3H mouse (CERDIC; Sophia Antipolis, France). Nontagged proteins were obtained from culture medium of C2C12 cells cotransfected with the transactivator-encoding plasmid, ptet-tTak (Gibco), and either ptet-hEpoM or ptet-hEpoD. Transfections were performed in 24-well plates with 2.5 μL polyethylenimine (Exgen 500; Euromedex, Souffelweyersheim, France), 100 ng ptet-tTak, and 400 ng pet-hEpo per well, in 200 μL Optimem (Gibco). Two hours after transfection, cells were cultured for 24 hours in Dulbecco modified Eagle medium containing 10% fetal calf serum and were grown in serum-free medium for another 24 hours. Secreted proteins were concentrated 100-fold with Centricon Plus 80 Centrifugal filter devices (Amicon, Beverly, MA). hEpoM-HA– and hEpoD-HA–tagged proteins were obtained as for the nontagged molecules after the transfection of C2C12 cells with the pMHhEpoM-HA and pMHhEpoD-HA plasmids, respectively.
EPO assays
Epo-derived molecules were assayed either biologically or by enzyme-linked immunosorbent assay (ELISA; R&D Systems, Oxon, United Kingdom; or Medac Diagnostika, Wedel, Germany). For the bio-assay, 2 types of cells were used—the Epo-dependent mouse DAE7 cells, derived from the nonerythroid hematopoietic DA-1(c1.14) cell line,31 and spleen cells from phenylhydrazine-treated mice.32 For the DAE7 assay, 3000 cells were seeded into wells of a microtitration plate and incubated for 3 days with several dilutions of samples or rhEpo (epoetin β; Roche Pharmaceuticals). Cell survival assays were performed 3 days later using the WST-1 reagent as indicated by the manufacturer (Roche Diagnostics). Concerning the spleen cells, Epo assays were based on3H-thymidine incorporation, as described by Krystal.32
Western blot analysis
Samples were submitted to sodium dodecyl sulfate–polyacrylamide gel electrophoresis (SDS-PAGE) and transferred to Hybond C extra membrane (Amersham Pharmacia, France) in methanol-containing buffer. Western blots were probed either with a goat anti-hEpo polyclonal antibody (N-19, Santa Cruz Biotechnology, Santa Cruz, CA, 1/1000) or with an anti-HA tag mouse monoclonal antibody (BAbCO, 1/1000). Horseradish peroxidase–conjugated anti-IgG antibodies were used as secondary antibody. The secondary antibody was either antigoat IgG-POD (1/2000; Sigma, Saint-Quentin Fallavier, France) to detect goat anti-Epo or antimouse IgG-POD (1/1000; Roche Diagnostics) to detect mouse anti-HA. Blotted antigens were detected by chemiluminescence using the Lumi-light Plus Western blotting substrate (Roche Diagnostics).
Clonogenic assay
Normal human bone marrow cells were subjected to Ficoll gradient (Seromed Biochrom KG, Berlin, Germany). Cells with densities lower than 1.077 g/cm3 were harvested and purified with the Dynal (Compiegne, France) CD34 progenitor cell selection system as specified by the manufacturer.
For BFU-e assays, CD34+ hematopoietic cells were plated in methylcellulose-based medium (Methocult H4230; Stem Cell Technologies, Meylan, France) containing 1000 U/mL rhuIL-3 (TEBU; Le Perray en Yvelines, France) and 20 ng/mL rhuSCF (TEBU) at a density of 2.5 × 103 cells/mL per 35-mm Petri dish. Cells were incubated in a fully humidified atmosphere with 5% CO2 in air at 37°C for 14 days in the presence of different amounts of monomeric or dimeric erythropoietin. At day 14, colonies were counted and cells were harvested and cytocentrifuged. Percentages of erythroid cells were ascertained after May-Grünwald-Giemsa staining. Assays were performed in triplicate, and statistical analysis was performed using the 2-tailed Student t test.
For late erythroid progenitor assays, 2.5 × 105 to 5 × 105 CD34+ cells were initially grown in 25-cm2 flasks in the presence of BIT 9500 (Stem Cell Technologies), IL-3, SCF, and IL-6 (TEBU) as described.33Six days later, cells (late erythroid progenitors) were incubated with 1 μg monoclonal CD36 IgGI antibody (clone FA6-152; Immunotech, Marseilles, France) per 106 cells, and CD36+cells were purified with Dynabeads M-450 goat antimouse IgG (Dynal) as specified by the manufacturer. Five thousand CD36+ cells were plated in semisolid medium (Methocult H4230; Stem Cell Technologies) containing rhuSCF (20 ng/mL) and incubated in a fully humidified atmosphere with 5% CO2 in air at 37°C for 7 days in the presence of different amounts of monomeric (hEpoM) or dimeric (hEpoD) erythropoietin. At day 7, colonies were counted, and cells were harvested and cytocentrifuged. Percentages of erythroid cells were ascertained after May-Grünwald-Giemsa staining. Assays were performed in triplicate, and statistical analysis was performed using the 2-tailed Student t test.
In vivo bioactivity
Three days before injection, groups of 6 C57/Bl6 mice (Iffa Credo, l'Arbresle, France) were ether-anesthetized for identification. Blood was withdrawn for hematocrit determination. Mice were injected intraperitoneally on days 1, 3, and 5 with human EpoM or EpoD. Resultant hematocrit was determined on day 8 by a standard micro-hematocrit method.
In vivo pharmacokinetics
Groups of 3 C57/Bl6 mice were injected subcutaneously, intraperitoneally, or intravenously with the same amounts of hEpoD and hEpoM. Plasma Epo levels were determined over a 24-hour period by ELISA (R&D Systems).
Long-term and controlled secretion of dimeric erythropoietin in β-thalassemic mice
β-Thalassemic mice (Hbb-thal1) were kept in pathogen-free animal facilities. A mixture of 2 μg ptet-Off (Clontech, Basel, Switzerland) and 20 μg ptet-mEpoD was injected into the leg tibial cranial muscle of 5 β-thalassemic mice. Electric pulses were delivered through external plate electrodes placed on each side of the leg as described.34 Blood samples were obtained every 2 weeks by retro-orbital puncture under ether anesthesia. Plasma Epo concentrations were measured by ELISA (R&D Systems). When specified, tetracycline (Research Organics, Cleveland, OH) was added to the drinking water at a final concentration of 1 mg/mL in 2.5% sucrose.
Statistical analysis
Hematologic data are expressed as the mean ± SD. For each mouse group, discrete variables were compared by using a 2-tailed Student t test. Results were considered significant atP < .05.
Results
Characterization and activities of Epo dimer and monomer
C2C12 myoblasts were transfected with ptet-hEpoM (monomer) or ptet-hEpoD (dimer), together with ptet-tTAk. Two days after transfection, serum-free culture medium was harvested and concentrated. Human monomer and dimer were analyzed by SDS-PAGE and characterized with a polyclonal anti-Epo antibody raised against an N-terminal human Epo fragment. As expected, 2 distinct Epo immunoreactive species could be distinguished, with molecular weights of approximately 35 kd for the monomer and 70 kd for the dimer (not shown), which correspond to the glycosylated forms of erythropoietin. Epo bioactivity of the 2 molecules was initially assayed on the Epo-responding cell line DAE7 and on mouse spleen cells and was compared to rhEpo standards. No difference was found between the 2 in vitro bioassays. Based on these results, the Epo activities were measured by ELISA using tests from 2 different manufacturers (R&D Systems; Medac). Intrinsic activities of monomer and dimer were equivalent to those observed by proliferation assay with the Medac ELISA. With the R&D ELISA, the intrinsic activity of the human dimer was 5 times greater than that observed for its monomer counterpart. The affinity of the anti-Epo antibodies might have been different for the monomer and the dimer because of the presence of 1 or 2 epitopes; hence, ELISA values might simply not have reflected the relative number of Epo domains in the 2 molecules.
To determine the concentration of human monomer and dimer in cell culture supernatants more accurately, C-terminal HA-tagged human Epo dimer and monomer were evaluated. Indeed, in these molecules, only one immunoreactive epitope was detected. Epo values were determined by DAE7 proliferation assay and by ELISA calibrated with rhEpo. As for the nontagged molecules, R&D ELISA overestimated the tagged dimer by a factor of 5. Different concentrations of HA-tagged monomer and dimer were subsequently run on SDS-PAGE, submitted to Western blot analysis, and revealed by a monoclonal anti-HA antibody. As shown in Figure2, similar intensities could be detected when 5 times more dimer than monomer (as determined by R&D ELISA) were transferred to the Western blot. These results confirmed that the R&D ELISA overestimated the dimer by a factor of 5 compared to the monomer. This means that the dimer is as effective as the monomer in inducing DAE7 and spleen cell proliferation. Because of these results, subsequent experiments (in vitro and in vivo) were performed using equal amounts of monomer and dimer, as determined by proliferation bioactivity.
ELISA overestimates dimeric erythropoietin by 5 times.
(Lane 1) 3 U, (lane 2) 2 U, and (lane 3) 1 U human HA-tagged dimeric erythropoietin and 0.6 U (lane 4), 0.4 U (lane 5), and 0.2 U (lane 6) human HA-tagged monomeric erythropoietin (as measured by R&D ELISA) were run on SDS-PAGE, blotted, and detected with an anti-HA antibody.
ELISA overestimates dimeric erythropoietin by 5 times.
(Lane 1) 3 U, (lane 2) 2 U, and (lane 3) 1 U human HA-tagged dimeric erythropoietin and 0.6 U (lane 4), 0.4 U (lane 5), and 0.2 U (lane 6) human HA-tagged monomeric erythropoietin (as measured by R&D ELISA) were run on SDS-PAGE, blotted, and detected with an anti-HA antibody.
In vivo erythropoietic activity of monomeric and dimeric hEpo
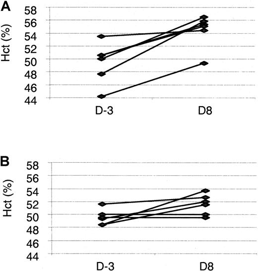
Two groups of mice were injected intraperitoneally with 300 U/kg (as determined by proliferation assays) of human Epo-derived molecules on days 1, 3, and 5. Hematocrit values measured 8 days after the first injection were compared with values obtained 3 days before injection (Figure 3A-B). Mean hematocrit values were slightly raised, from 49.6% ± 1.1% and 49.4% ± 2.9% to 51.6% ± 1.5% and 54.4% ±2.4% for the monomer and the dimer, respectively. The mean increase was significantly higher (P < .05) for the dimer (5.0% ± 2.2%) than for the monomer (2.0% ± 1.9%).
Dimeric erythropoietin induces higher hematocrit increase than monomer.
Two groups of 6 C57BL/6 mice were injected intraperitoneally with 3 × 300 U/kg (as determined by proliferation assay) of hEpoD (A) and hEpoM (B) on days 1, 3, and 5. Hematocrit values were determined 3 days before (D−3) and 8 days after (D8) the first injection. Values are given for each mouse.
Dimeric erythropoietin induces higher hematocrit increase than monomer.
Two groups of 6 C57BL/6 mice were injected intraperitoneally with 3 × 300 U/kg (as determined by proliferation assay) of hEpoD (A) and hEpoM (B) on days 1, 3, and 5. Hematocrit values were determined 3 days before (D−3) and 8 days after (D8) the first injection. Values are given for each mouse.
To compare the relative in vivo efficacy of the 2 molecules, 5 groups of mice were injected with 300, 900, and 1800 U/kg monomer or 300 and 600 U/kg dimer (Figure 4). The mean hematocrit increase was significantly higher with 300 U/kg dimer (3.6% ± 1.4%) than with 300 U/kg monomer (1.1% ± 1.4%;P = .01) and 900 U/kg monomer (1.6% ± 1.5%;P = .04) but was not significantly different between 1800 U/kg monomer and 300 U/kg dimer. The mean hematocrit increase was significantly higher with 600 U/kg dimer (5.5% ± 1.1%) than with all other groups (P = .000004 for NaCl;P = .00001 for 300 U/kg monomer; P = .0005 for 900 U/kg monomer; P = .01 for 1800 U/kg monomer;P = .03 for 300 U/kg dimer). Based on these results, it appeared that the dimeric human Epo is approximately 6 times more active than the monomer on a per mole basis and approximately 3 times more active on a per weight basis.
Dimeric erythropoietin is 6 times more efficient in vivo than monomer.
Six groups of 6 C57BL/6 mice were injected intraperitoneally, either with 3 times sodium chloride or with 3 times 300 U/kg, 900 U/kg, or 1800 U/kg monomeric hEpo (M) or with 3 times 300 U/kg or 600 U/kg dimeric hEpo (D) (as determined by proliferation assay). Hematocrit was determined 3 days before (D−3) and 8 days after (D8) the first injection. Mean hematocrit values (rectangles) and individual mouse hematocrits (lines) are given.
Dimeric erythropoietin is 6 times more efficient in vivo than monomer.
Six groups of 6 C57BL/6 mice were injected intraperitoneally, either with 3 times sodium chloride or with 3 times 300 U/kg, 900 U/kg, or 1800 U/kg monomeric hEpo (M) or with 3 times 300 U/kg or 600 U/kg dimeric hEpo (D) (as determined by proliferation assay). Hematocrit was determined 3 days before (D−3) and 8 days after (D8) the first injection. Mean hematocrit values (rectangles) and individual mouse hematocrits (lines) are given.
Pharmacokinetics of monomeric and dimeric hEpo
Six groups of mice were injected intraperitoneally, intravenously, or subcutaneously with monomeric and dimeric human Epo (200 U/kg as determined by proliferation assay). Blood samples (100 μL) were obtained either 15 minutes or 1, 2, 4, or 8 hours after intraperitoneal or intravenous injection or, alternatively, after 2, 8, and 24 hours after subcutaneous injection. Because the R&D ELISA is not sensitive to mouse erythropoietin, human erythropoietin level was determined by this assay. Noninjected control mice were included in the study to determine whether endogenous mouse erythropoietin induced by the bleedings might have interfered with the ELISA measurement. At 8 hours, endogenous mouse erythropoietin was indeed detectable in mice bled at 15 minutes and at 1, 2, 4, and 8 hours after injection. Therefore, results are given only for the first 4 hours. When mice were bled only 3 times (after 2, 8, and 24 hours), no endogenous erythropoietin was detected. Results are given in Figure 5 as the percentage of the maximal values, observed 15 minutes, 1 hour, or 2 hours after intravenous (Figure 5A), intraperitoneal (Figure 5B), or subcutaneous (Figure 5C) injection, respectively. As shown, the erythropoietin kinetics did not differ between the 2 groups and decreased to half the maximum value in approximately 50 minutes, 3 hours, and 7.5 hours after intravenous, intraperitoneal, or subcutaneous injection, respectively.
Human dimeric and monomeric forms of erythropoietin have the same pharmacokinetics in vivo.
Six groups of 3 C57BL/6 mice were injected intravenously (A), intraperitoneally (B), or subcutaneously (C) with 200 U/kg (as determined by proliferation assay) hEpoM (diamonds) or hEpoD (circles). Erythropoietin production is given as the percentage of the maximum erythropoietin level observed 15 minutes after intravenous injection, 1 hour after intraperitoneal injection, and 2 hours after subcutaneous injection.
Human dimeric and monomeric forms of erythropoietin have the same pharmacokinetics in vivo.
Six groups of 3 C57BL/6 mice were injected intravenously (A), intraperitoneally (B), or subcutaneously (C) with 200 U/kg (as determined by proliferation assay) hEpoM (diamonds) or hEpoD (circles). Erythropoietin production is given as the percentage of the maximum erythropoietin level observed 15 minutes after intravenous injection, 1 hour after intraperitoneal injection, and 2 hours after subcutaneous injection.
Erythroid activity of monomeric and dimeric hEpo
Erythropoietic activities of monomer and dimer were evaluated on human CD34+ hematopoietic progenitors. This was performed by counting the total number of erythroid cells after 2 weeks of culture in the presence of monomeric and dimeric human Epo molecules, at various concentrations. An example of such an experiment performed in triplicate is shown in Figure 6. Whereas the number of recruited BFU-e was not significantly different between monomer and dimer (Figure 6A), 0.4 to 0.6 U/mL human dimer induced a 3- to 4-fold increase (P < .02) of the total number of erythroid cells (Figure 6B). At higher Epo concentrations (greater than 1 U/mL), the maximum number of erythroid cells was reached by using both monomer and dimer (not shown).
Human dimeric erythropoietin has enhanced erythropoietic activity.
CD34+ cells were purified and grown in semisolid medium containing 0.1 to 0.6 U/mL (as determined by proliferation assay) hEpoM (black) or hEpoD (white). Experiments were performed in triplicate. Mean BFU-e numbers (A) and total erythroid cell numbers of individual experiments (B) are given.
Human dimeric erythropoietin has enhanced erythropoietic activity.
CD34+ cells were purified and grown in semisolid medium containing 0.1 to 0.6 U/mL (as determined by proliferation assay) hEpoM (black) or hEpoD (white). Experiments were performed in triplicate. Mean BFU-e numbers (A) and total erythroid cell numbers of individual experiments (B) are given.
In semisolid medium, a 5-fold increase in the number of colonies from late erythroid progenitors (CFU-e) was observed in the presence of 0.1 U/mL dimer compared to the value observed in the presence of the same concentration of monomer (Figure 7A). At a higher erythropoietin concentration (0.4 U/mL), no difference in the number of colonies could be observed in the presence of either monomer or dimer, suggesting that the Epo receptors were saturated by erythropoietin. In this assay, the increase in the total erythroid cell number (Figure 7B) was similar to the increase in the number of colonies, indicating that the increased effect of the dimer occurred mostly at the CFU-e level.
Human dimeric erythropoietin stimulates late erythroid progenitors.
CD36+ cells were purified and grown in semisolid medium containing 0.1 to 0.4 U/mL (as determined by proliferation assay) hEpoM (black) or hEpoD (white). Experiments were performed in triplicate. Mean CFU-e numbers (A) and mean erythroid cell number (B) were measured 7 days later.
Human dimeric erythropoietin stimulates late erythroid progenitors.
CD36+ cells were purified and grown in semisolid medium containing 0.1 to 0.4 U/mL (as determined by proliferation assay) hEpoM (black) or hEpoD (white). Experiments were performed in triplicate. Mean CFU-e numbers (A) and mean erythroid cell number (B) were measured 7 days later.
Epo dimer and hematocrit increase in β-thalassemic mice
To determine whether the dimeric Epo molecule could induce a hematocrit increase in β-thalassemic mice and would induce antibodies, dimeric mouse erythropoietin was produced in vivo. The mouse erythropoietin dimer encoding plasmid ptet-mEpoD and the tetracycline-controlled transactivator encoding plasmid pCMV-tTA35 were co-electrotransferred in the tibial cranial skeletal muscle of β-thalassemic mice. Erythropoietin was measured during 26 weeks by R&D ELISA, and hematocrit changes were observed for a period of 38 weeks. Tetracycline was added to the drinking water from weeks 4 to 8, 16 to 20, and 26 to 29.5. Circulating Epo immunoreactivity was high during the first 2 weeks after electrotransfer and then slightly decreased (Figure8B). This peak and then slight decrease in erythropoietin production has also been observed with a pCMV-mEpo plasmid constitutively expressing erythropoietin in β-thalassemic mice.36 As expected, tetracycline blocked erythropoietin secretion (Figure 8B) and reduced hematocrit to values similar to those for untreated β-thalassemic mice (Figure 8A). Thirty-eight weeks (9 months) after electrotransfer, tetracycline withdrawal still led to an increase in hematocrit levels. These results suggest that the partial decline of erythropoietin expression observed 1 to 3 weeks after injection was not due to the presence of antibodies raised against the mouse erythropoietin dimer but to a slight variation of expression from the injected plasmid. The long-lasting hematocrit increase observed as late as 9 months in the absence of tetracycline further confirmed the absence of an antibody response against dimeric Epo.
Controlled secretion of dimeric erythropoietin does not induce antibodies.
Four β-thalassemic mice were injected with a mix of 2 μg ptet-Off and 20 μg ptet-mEpoD. Hematocrit (A) and erythropoietin levels (B) were determined 38 and 26 weeks, respectively. Mice were given tetracycline (horizontal black rectangles) from weeks 4 to 8, 16 to 20, and 26 to 29.5.
Controlled secretion of dimeric erythropoietin does not induce antibodies.
Four β-thalassemic mice were injected with a mix of 2 μg ptet-Off and 20 μg ptet-mEpoD. Hematocrit (A) and erythropoietin levels (B) were determined 38 and 26 weeks, respectively. Mice were given tetracycline (horizontal black rectangles) from weeks 4 to 8, 16 to 20, and 26 to 29.5.
Discussion
We have designed and characterized a dimeric Epo-Epo protein obtained by recombinant DNA-mediated fusion of Epo coding regions linked by the Gly-Ser-Gly4-Ser-Gly-Ala peptide. Based on the working hypothesis that Epo-Epo fusion may trigger the conformational change of the Epo receptor to its active state, this study has investigated the intrinsic activity of the Epo-Epo dimer in vitro and in vivo after gene transfer into mice. Dimeric and monomeric forms of human and mouse recombinant Epo and their HA-tagged homologs were produced by C2C12 mouse myoblast cells, known to be efficient for transgenic Epo production both in vitro and in vivo.37 38 The activity of the monomeric and dimeric forms of Epo was compared in vitro on a mouse cell line (DAE7), on phenylhydrazine-induced mouse spleen cells, on primary human erythroid cells, and in vivo in normal mice.
Equivalent numbers of Epo molecules, as determined by Western blot analysis using the antitag antibodies, had the same proliferative activity in vitro when added to DAE7 or spleen cells. In contrast, ELISA yielded different results. Whereas Medac ELISA findings were in agreement with the activity determined by proliferation assay, R&D ELISA findings overestimated the dimeric Epo by 5-fold. Dimeric Epo most likely had a higher binding affinity for the antierythropoietin antibody than monomeric Epo. Similar differences in biologic and immunologic activities of human monomeric and dimeric Epo have already been described.39
DAE7 proliferation assay calibrated with human recombinant Epo determined that the Epo dimer induced a 6-fold-higher increase in hematocrit compared with the monomeric form when injected on days 1, 3, and 5 in normal mice at concentrations of 300 U/kg. A similar effect on hematocrit has been observed with chemically linked Epo dimer injected in rabbits22 and with an Epo-Epo fusion protein injected in mice.23 It has been postulated that this effect is mainly the result of an enhanced blood lifetime of the dimeric form. However, identical pharmacokinetics of monomeric and dimeric Epo injected through different routes—intravenously, intraperitoneally, and subcutaneously—do not support this hypothesis. To rule out any effect of the injected erythropoietin concentration on the measurements, we compared the pharmacokinetics of intraperitoneally injected proteins at low Epo concentration (40 U/kg). As with a higher Epo concentration (200 U/kg; Figure 5), no difference between monomer and dimer pharmacokinetics was observed (data not shown). Discrepancies between our data and previously published results22 23could be related to (1) the sequence or the length of the linker peptide, which was longer in previous studies (17 amino acid residues vs 9 residues in this study), (2) the producing Epo and Epo-Epo cell line, which may have modified the glycosylation pattern, or (3) the monomeric Epo used as reference for the pharmacokinetic studies. In this study, monomeric and dimeric Epo were produced under identical conditions, by the same cell line, without purification but by concentration of the culture medium using ultrafiltration.
To understand the hematocrit increase induced by the dimeric Epo when compared to its monomeric counterpart, human CD34+ cells were studied with various concentrations of dimeric and monomeric Epo forms. Although a small relative increase in the number of BFU-e induced by the Epo dimer was observed, this trend was not significant, and this contrasted with the severalfold increase in the total erythroid cell number above that was induced by monomeric Epo (Figure 6). This difference in the increase in erythroid cell number was parallel to the increase in the CFU-e (Figure 7), indicating that dimeric Epo stimulated the late progenitors or prevented their apoptosis. Stem cell factor added to the culture medium, which has a major erythropoietic-stimulating activity on the early stages of erythroid differentiation,40 41 might have masked the effect of dimeric Epo, if any, on the recruitment of late BFU-e. One important point is the parallel between the increase in the erythropoietic activity induced by the Epo dimer added in vitro and the increased hematocrit induced by the Epo dimer in normal mice.
Erythropoietin binds to the Epo receptor through 2 binding domains, one with high affinity for the receptor and the other with low affinity; the latter is required for the activation of the receptor.27,28 When the low-affinity binding moiety of Epo is mutated, the Epo receptor is no longer activated. However, when mutated Epo monomers are linked together by a peptide containing 7-glycine residues, the presence of a second high-affinity binding motif in the dimeric Epo molecule restores the erythropoietic transduction activity.39 These results suggest that the presence of 2 molecules of Epo might bring together 2 high-affinity binding sites and facilitate binding to the Epo receptor. A 5-fold increase in the number of erythroid cells was detected when erythroid progenitors were induced by the dimeric Epo form. This contrasted with the similar proliferation activity of the dimeric and monomeric Epo forms in DAE7 cells and phenylhydrazine-induced spleen cells (present results) or UT7 cell lines.39 These differences suggest that the environment of the Epo receptor at the cell surface or that the various components of the culture medium (present in fetal calf serum or added factors) might have modified the binding or the transduction activity of the dimeric Epo in comparison with the monomeric form. The Epo dimer did indeed induce a hematocrit increase in normal mouse, which was 6-fold higher than with the Epo monomer, even though there was no difference in erythropoietin pharmacokinetics. This provides further evidence that the dimer had a specific erythroid activity that was higher (approximately 6 times on a per mole basis and 3 times higher on a per weight basis) than the monomer.
Long-term expression of mouse Epo dimer in β-thalassemic mice strongly suggests that the dimeric form of Epo does not induce any neutralizing anti-Epo antibody production. Epo dimer expression under a tet-off control can be suppressed by the addition of tetracycline in the drinking water. The delay in the reduction in hematocrit with the addition of tetracycline reflects the long (10-day) half-life of erythropoietin-treated thalassemic red blood cells.36 The withdrawal of tetracycline from the drinking water was followed by a novel increase of circulating Epo and a subsequent increase in hematocrit. This would have been impossible in the presence of neutralizing antibodies or cellular immune reactions against the dimeric Epo-producing muscle cells.
In conclusion, we have observed an increase in the biologic specific activity of an Epo dimer in comparison with the activity of the Epo monomer. This increase in activity was shown in vitro on primary erythroid cells and in vivo in mice. Thus, the presently proposed Epo dimer could reduce the amount of therapeutic Epo required for the treatment of various chronic anemias. In addition, the availability of a more active Epo molecule could be useful for the development of Epo-based gene therapy approaches.
We thank E. Turpin for the sequencing reactions, L. Michel for spleen cell proliferation measurement, P. Leboulch for helpful discussion and critical reading of the manuscript, and Dr Ferrero for careful reading and correction of the manuscript.
Supported by the Institut National de la Santé et de la Recherche Médicale (INSERM). E.P. was supported by the Fondation de France and INSERM. M.B. was supported by the Ligue Nationale Contre le Cancer.
The publication costs of this article were defrayed in part by page charge payment. Therefore, and solely to indicate this fact, this article is hereby marked “advertisement” in accordance with 18 U.S.C. section 1734.
References
Author notes
Emmanuel Payen, Laboratoire de Thérapie Génique Hématopoı̈étique, Institut Universitaire d'Hématologie, Hôpital Saint Louis, 1, avenue Claude Vellefaux, 75475 Paris Cedex 10; e-mail:letg@chu-stlouis.fr.








This feature is available to Subscribers Only
Sign In or Create an Account Close Modal